4.4. A polimer szerkezete és a szeparációs tulajdonságok közötti összefüggések
Jegyzet elhelyezéséhez, kérjük, lépj be.!
Hivatkozások
Válaszd ki a számodra megfelelő hivatkozásformátumot:
Harvard
Bélafiné Bakó Katalin–Székely Katalin (szerk.) (2024): Gázelegyek membrános elválasztása. : Akadémiai Kiadó – Pannon Egyetemi Kiadó.
https://doi.org/10.1556/9789636640583 Letöltve: https://mersz.hu/dokumentum/m1212gazme__21/#m1212gazme_19_p1 (2026. 05. 22.)
Chicago
Bélafiné Bakó Katalin, Székely Katalin, szerk. 2024. Gázelegyek membrános elválasztása. : Akadémiai Kiadó – Pannon Egyetemi Kiadó. https://doi.org/10.1556/9789636640583 (Letöltve: 2026. 05. 22. https://mersz.hu/dokumentum/m1212gazme__21/#m1212gazme_19_p1)
APA
Bélafiné B. K., Székely K. (szerk.) (2024). Gázelegyek membrános elválasztása. Akadémiai Kiadó – Pannon Egyetemi Kiadó. https://doi.org/10.1556/9789636640583. (Letöltve: 2026. 05. 22. https://mersz.hu/dokumentum/m1212gazme__21/#m1212gazme_19_p1)
A polimer szerkezeti paraméterei és a permeabilitás közötti korrelációk megfigyeléséhez (Mulder, 1996) néhány példát adtunk meg a 4.5. táblázatban, ahol a nitrogénre, illetve oxigénre mért permeabilitásokat (PO2, PN2) tüntettük fel Barrer-egységben a szeparációs faktor (a két permeabilitás aránya, αideal) mellett.
Jegyzet elhelyezéséhez, kérjük, lépj be.!
Hivatkozások
Válaszd ki a számodra megfelelő hivatkozásformátumot:
Harvard
Bélafiné Bakó Katalin–Székely Katalin (szerk.) (2024): Gázelegyek membrános elválasztása. : Akadémiai Kiadó – Pannon Egyetemi Kiadó.
https://doi.org/10.1556/9789636640583 Letöltve: https://mersz.hu/dokumentum/m1212gazme__21/#m1212gazme_table_21 (2026. 05. 22.)
Chicago
Bélafiné Bakó Katalin, Székely Katalin, szerk. 2024. Gázelegyek membrános elválasztása. : Akadémiai Kiadó – Pannon Egyetemi Kiadó. https://doi.org/10.1556/9789636640583 (Letöltve: 2026. 05. 22. https://mersz.hu/dokumentum/m1212gazme__21/#m1212gazme_table_21)
APA
Bélafiné B. K., Székely K. (szerk.) (2024). Gázelegyek membrános elválasztása. Akadémiai Kiadó – Pannon Egyetemi Kiadó. https://doi.org/10.1556/9789636640583. (Letöltve: 2026. 05. 22. https://mersz.hu/dokumentum/m1212gazme__21/#m1212gazme_table_21)
4.5. táblázat. Permeabilitás- és szelektivitásértékek különféle polimerek esetén
polimer | PO2 (barrer*) |
PN2 (barrer*) |
αideal (PO2/PN2) |
(*1 barrer = 10–10 cm3(STP)·cm·cm–2·s–1·cmHg–1 = 27,4 m3(STP) ·m·m-2·h–1·bar–1) | |||
poli(3-trimetilszilil-1-propén) (PTMS) | 10040 ,0 |
6745 ,0 |
1 ,5 |
polidimetilsziloxán (PDMS) | 600 ,0 |
280 ,0 |
2 ,2 |
poli(t-butilacetilén) (PTBA) | 200 ,0 |
118 ,0 |
1 ,7 |
polimetilpentén (PMP) | 37 ,2 |
8 ,9 |
4 ,2 |
polivinil-trimetilszilán (PVTMS) | 36 ,0 |
8 ,0 |
4 ,5 |
poliizoprén (PIP) | 23 ,7 |
8 ,7 |
2 ,7 |
poli(p-fenilén-oxid) (PPO) | 16 ,8 |
3 ,8 |
4 ,4 |
etilcellulóz (EC) | 11 ,2 |
3 ,3 |
3 ,4 |
polisztirol (PS) | 7 ,5 |
2 ,5 |
2 ,9 |
polietilén (PE) | 6 ,6 |
2 ,1 |
3 ,2 |
polipropilén (PP) | 1 ,6 |
0 ,30 |
5 ,4 |
polikarbonát (PC) | 1 ,4 |
0 ,30 |
4 ,7 |
butilkaucsuk (IIR) | 1 ,3 |
0 ,30 |
4 ,3 |
politriazol (PT) | 1 ,1 |
0 ,13 |
8 ,4 |
cellulóz-acetát (CA) | 0 ,7 |
0 ,25 |
3 ,0 |
polivinilidén-fluorid (PVDF) | 0 ,24 |
0 ,055 |
4 ,4 |
poliamid (nylon 6) (PA) | 0 ,093 |
0 ,025 |
2 ,8 |
polivinil-alkohol (PVA) | 0 ,0019 |
0 ,00057 |
3 ,2 |
poliimid (kapton) (PI) | 0 ,001 |
0 ,00012 |
8 ,0 |
Jegyzet elhelyezéséhez, kérjük, lépj be.!
Hivatkozások
Válaszd ki a számodra megfelelő hivatkozásformátumot:
Harvard
Bélafiné Bakó Katalin–Székely Katalin (szerk.) (2024): Gázelegyek membrános elválasztása. : Akadémiai Kiadó – Pannon Egyetemi Kiadó.
https://doi.org/10.1556/9789636640583 Letöltve: https://mersz.hu/dokumentum/m1212gazme__21/#m1212gazme_19_p4 (2026. 05. 22.)
Chicago
Bélafiné Bakó Katalin, Székely Katalin, szerk. 2024. Gázelegyek membrános elválasztása. : Akadémiai Kiadó – Pannon Egyetemi Kiadó. https://doi.org/10.1556/9789636640583 (Letöltve: 2026. 05. 22. https://mersz.hu/dokumentum/m1212gazme__21/#m1212gazme_19_p4)
APA
Bélafiné B. K., Székely K. (szerk.) (2024). Gázelegyek membrános elválasztása. Akadémiai Kiadó – Pannon Egyetemi Kiadó. https://doi.org/10.1556/9789636640583. (Letöltve: 2026. 05. 22. https://mersz.hu/dokumentum/m1212gazme__21/#m1212gazme_19_p4)
A táblázatban az általános trend az, hogy az elasztomerek nagy permeabilitást mutatnak és a táblázat felső részében helyezkednek el, míg az üveges állapotú membránok jóval kisebb permeabilitási értékekkel a táblázat alsó részén találhatók. Vannak azonban kivételek. A listán elsőként szereplő PTMSP (poli(3-trimetilszilil-1-propén) például az üveges állapotú polimerek közé tartozik, a PPO (poli(p-fenilén-oxid, a listán a hetedik) szintén.
Jegyzet elhelyezéséhez, kérjük, lépj be.!
Hivatkozások
Válaszd ki a számodra megfelelő hivatkozásformátumot:
Harvard
Bélafiné Bakó Katalin–Székely Katalin (szerk.) (2024): Gázelegyek membrános elválasztása. : Akadémiai Kiadó – Pannon Egyetemi Kiadó.
https://doi.org/10.1556/9789636640583 Letöltve: https://mersz.hu/dokumentum/m1212gazme__21/#m1212gazme_19_p5 (2026. 05. 22.)
Chicago
Bélafiné Bakó Katalin, Székely Katalin, szerk. 2024. Gázelegyek membrános elválasztása. : Akadémiai Kiadó – Pannon Egyetemi Kiadó. https://doi.org/10.1556/9789636640583 (Letöltve: 2026. 05. 22. https://mersz.hu/dokumentum/m1212gazme__21/#m1212gazme_19_p5)
APA
Bélafiné B. K., Székely K. (szerk.) (2024). Gázelegyek membrános elválasztása. Akadémiai Kiadó – Pannon Egyetemi Kiadó. https://doi.org/10.1556/9789636640583. (Letöltve: 2026. 05. 22. https://mersz.hu/dokumentum/m1212gazme__21/#m1212gazme_19_p5)
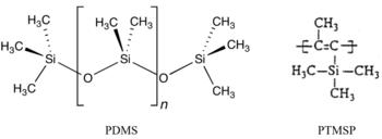
Az elasztikus PDMS-nél (polidimetilsziloxán, a listán a második) egy nagyságrenddel nagyobb permeabilitást mutató PTMSP igazi üveges állapotú polimer, a két molekula szerkezetét a 4.12. ábra szemléleti. A PTMSP főlánca igen merev a telítetlenségnek és a két oldalcsoportnak köszönhetően. Az igen magas permeabilitás azzal magyarázható, hogy a polimerszerkezeten belül nagy az ún. szabad térfogat, amit a nagyméretű oldalcsoport és a merev főlánc együttesen eredményez. Igazából a PTMSP pórusos hálózatnak tekinthető, 5 Å körüli névleges pórusmérettel, így a gázok viszonylag „szabadon” képesek átjutni rajta.
Jegyzet elhelyezéséhez, kérjük, lépj be.!
Hivatkozások
Válaszd ki a számodra megfelelő hivatkozásformátumot:
Harvard
Bélafiné Bakó Katalin–Székely Katalin (szerk.) (2024): Gázelegyek membrános elválasztása. : Akadémiai Kiadó – Pannon Egyetemi Kiadó.
https://doi.org/10.1556/9789636640583 Letöltve: https://mersz.hu/dokumentum/m1212gazme__21/#m1212gazme_fig_36 (2026. 05. 22.)
Chicago
Bélafiné Bakó Katalin, Székely Katalin, szerk. 2024. Gázelegyek membrános elválasztása. : Akadémiai Kiadó – Pannon Egyetemi Kiadó. https://doi.org/10.1556/9789636640583 (Letöltve: 2026. 05. 22. https://mersz.hu/dokumentum/m1212gazme__21/#m1212gazme_fig_36)
APA
Bélafiné B. K., Székely K. (szerk.) (2024). Gázelegyek membrános elválasztása. Akadémiai Kiadó – Pannon Egyetemi Kiadó. https://doi.org/10.1556/9789636640583. (Letöltve: 2026. 05. 22. https://mersz.hu/dokumentum/m1212gazme__21/#m1212gazme_fig_36)
4.12. ábra. A PDMS és a PTMSP szerkezeti vázlata
Jegyzet elhelyezéséhez, kérjük, lépj be.!
Hivatkozások
Válaszd ki a számodra megfelelő hivatkozásformátumot:
Harvard
Bélafiné Bakó Katalin–Székely Katalin (szerk.) (2024): Gázelegyek membrános elválasztása. : Akadémiai Kiadó – Pannon Egyetemi Kiadó.
https://doi.org/10.1556/9789636640583 Letöltve: https://mersz.hu/dokumentum/m1212gazme__21/#m1212gazme_19_p8 (2026. 05. 22.)
Chicago
Bélafiné Bakó Katalin, Székely Katalin, szerk. 2024. Gázelegyek membrános elválasztása. : Akadémiai Kiadó – Pannon Egyetemi Kiadó. https://doi.org/10.1556/9789636640583 (Letöltve: 2026. 05. 22. https://mersz.hu/dokumentum/m1212gazme__21/#m1212gazme_19_p8)
APA
Bélafiné B. K., Székely K. (szerk.) (2024). Gázelegyek membrános elválasztása. Akadémiai Kiadó – Pannon Egyetemi Kiadó. https://doi.org/10.1556/9789636640583. (Letöltve: 2026. 05. 22. https://mersz.hu/dokumentum/m1212gazme__21/#m1212gazme_19_p8)
A kristályosodási képesség hatása szintén nyomon követhető a táblázaton belül. A nylon-6 és a cellulóz-acetát üvegesedési hőfoka hasonló, a nylon-6 polimer mégis sokkal kisebb permeabilitású, mivel nagyobb a kristályosodási hajlama. A polivinil-alkoholnak hasonlóképpen kicsi a permeabilitása nagymértékű kristályosodási foka miatt.
