Mezőgazdasági növények élettana
Aromás vegyületek bioszintézise: sikiminsav-út
Tartalomjegyzék
- Mezőgazdasági növények élettana
- Impresszum
- Előszó
- Bevezetés
- Fotoszintézis
- A fotoszintézis bioenergetikai jelentősége, alapreakciói
- Fotoreceptorok
- A fotoszintetikus pigmentek fényabszorpciója
- A fényenergia koncentrálása a fotokémiai reakciócentrumban, átalakulása kémiai energiává
- A kloroplasztiszok biogenezise és felépítése
- Az 1. fotokémiai rendszer és a NADP redukciója
- A 2. fotokémiai rendszer és az oxigén keletkezése
- A két fotokémiai rendszer funkcionális kapcsolatát biztosító elektronszállító komplex
- A protonszállító ATP-áz és a fotofoszforilálás
- A fotoszintetikus membránok heterogén jellege, a fényreakció regulációja
- A szén-dioxid redukciója a Calvin-ciklusban
- A szén-dioxid redukciója a C4-dikarbonsav-úton
- A C3 és C4 típusú növények fiziológiájának összehasonlítása
- A C3 típusú növények korlátozott fotoszintézise; fotorespiráció
- A szénhidrátok keletkezése
- A környezeti tényezők hatása a fotoszintézis intenzitására, a várható termés nagyságára
- A fény mennyiségi hatása a fotoszintézisre
- A fotoszintézis intenzitásának napszaki változásai
- A szén-dioxid-koncentráció jelentősége
- A hőmérséklet hatása a fotoszintézis intenzitására, a várható termés mennyiségére
- A víz- és tápanyagellátás, valamint a levelek korának hatása a fotoszintézis intenzitására
- A fény mennyiségi hatása a fotoszintézisre
- A fotoszintézis bioenergetikai jelentősége, alapreakciói
- Légzés
- A légzés jelentősége, alapreakciói
- A légzés szubsztrátjainak bekapcsolódása a katabolizmusba
- A magasabb rendű növények glikolízise és glükoneogenezise
- A fruktóz-2,6-difoszfát szerepe a szénhidrát-anyagcsere szabályozásában
- A pirofoszfát növényélettani szerepe: alternatív energiaforrás
- A szénhidrátok lebomlásának alternatív útja: pentóz-foszfát-ciklus
- A piroszőlősav oxidatív lebomlása, a citromsav-ciklus
- Az olajok anyagcseréje, a lipid- és szénhidrát-anyagcsere kapcsolata
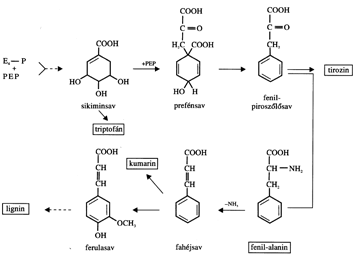
- Aromás vegyületek bioszintézise: sikiminsav-út
- A redukált piridin-nukleotidok oxidációja a mitokondriumokban, oxidatív foszforilálás
- A mitokondriumok alternatív végoxidáza, a cianidrezisztens és maradéklégzés fogalma
- A növényi sejt exomitokondriális oxidációs folyamatai
- Aktivált oxigénformák
- Az aktivált oxigénformák méregtelenítése
- A légzés sebességének szabályozása, a légzés intenzitásának változása az ontogenezis során
- A fertőzött növényi szövetek légzése, a parazitogén légzésemelkedés természete
- Fertőzött növényi szövetek fenolanyagcseréje, lehetséges szerepe a betegség-ellenállóságban
- A légzés jelentősége, alapreakciói
- A növények vízgazdálkodása
- A víz jelentősége a növény életében
- A növények vízgazdálkodása fejlődéstörténeti következmény
- A vízforgalom fizikai alapjai
- A növényben levő víz állapota, a növényi sejt vízforgalma
- A növények víztartalma, a növények által felhasznált víz mennyisége
- Víztartó képesség, a vízveszteség kritikus határa
- A talajban levő víz állapota, hozzáférhetősége, a gyökerek vízfelvétele
- A gyökerek „aktív” vízfelvétele
- A gyökér vízfelvételét befolyásoló talajtani tényezők
- A víz szállításának folyamata
- A párologtatás jelentősége, formái
- A sztómás transzspiráció
- A perisztómás transzspiráció szerepe
- A környezeti tényezők hatása a transzspiráció intenzitására
- A növények produktivitása és vízgazdálkodásának kapcsolata; az aszálykár fiziológiai alapjai
- A szárazságtűrés morfofiziológiai alapjai
- Kultúrnövényeink biokémiai, fiziológiai alkalmazkodása
- Az öntözött növények fiziológiája és produktivitása
- A víz jelentősége a növény életében
- A növények ásványianyag-asszimilációja
- Az ásványianyag-asszimiláció biológiai jelentősége
- A növények ásványianyag-összetétele, az elemek csoportosítása
- A növények tápanyagfelvétele
- Az ionfelvétel első szakasza, apoplazmás út
- Az ionok átjutása a plazmalemmán, a membrántranszport
- Az ionfelvétel kapcsolata az anyagcserével, energiaigénye
- Az anionok membrántranszportja
- A protonpumpa szerepe a szerves vegyületek membrántranszportjában
- A protonszállító ATP-ázok (protonpumpák) szerepe az energiaátalakítási folyamatokban
- A gyökerek tápanyagfelvételét befolyásoló tényezők
- Az ionfelvétel első szakasza, apoplazmás út
- Anyagszállítás a növényi szervezetben
- A foszfor jelentősége, felvétele, anyagcseréje
- A kén jelentősége, felvétele, anyagcseréje
- A kálium felvétele, jelentősége a növény életében
- A kalcium előfordulása, szerepe a növény életében
- A magnézium felvétele, jelentősége az anyagcserében
- A vas jelentősége, felvétele
- A mangán jelentősége
- A cink jelentősége
- A réz jelentősége
- A molibdén jelentősége
- A bór jelentősége
- A nátrium növényélettani szerepe; sótűrés
- A klór, a szilícium és a kobalt szerepe
- Az ásványianyag-asszimiláció biológiai jelentősége
- A növények nirtogén-anyagcseréje
- Bioregulátorok
- A bioreguláció alapjai
- Auxinok
- Az auxinok felfedezése, kémiai felépítésük
- Az auxinok biokémiája, szállítása, a szöveti auxinszintet szabályozó tényezők és folyamatok
- Az auxinok hatása a megnyúlásos növekedésre
- Az auxin hatása a nukleinsav- és fehérjeszintézisre; hormonreceptorok
- A szövetek auxintartalma, a szervek auxinérzékenysége
- Az auxinok felfedezése, kémiai felépítésük
- Gibberellinek
- Citokininek
- Abszcizinsav
- Etilén
- A poliaminok növényélettani szerepe
- Szintetikus növekedésszabályozó anyagok
- Növekedés és differenciálódás
- A magvak csírázása
- A magnyugalom fogalma
- A magnyugalom természete és formái
- A fiziológiai nyugalom hormonális alapjai
- A nyugalmi periódus során lejátszódó fiziológiai változások, a hormonok hatásmechanizmusa
- A magvak élettartama, a vetőmag biológiai értéke
- A magvak duzzadása, az embrió reaktiválódása
- A csírázás intenzív szakasza, a tartalék tápanyagok mobilizálódása
- A maghéj felnyílása, a csíranövény feljutása a talaj felszínére (kelés)
- A magnyugalom fogalma
- A környezeti tényezők hatása a vegetatív szervek növekedésére és fejlődésére
- A virágzás fiziológiája
- A generatív fázisba való átmenet endogén feltételei
- Az alacsony hőmérséklet virágzást indukáló hatása: vernalizáció
- A nappalhosszúság szerepe a virágképzésben: fotoperiódusos indukció
- A tenyészőcsúcsban a virágindukció során lejátszódó változások
- Fás növények virágzásának sajátos kérdései
- Az ivarjelleget befolyásoló tényezők
- A virágrészek kialakulásának és növekedésének tényezői
- A pollen fiziológiája
- A megtermékenyülés és az élettani önsterilitás
- A generatív fázisba való átmenet endogén feltételei
- A termésképzés és a termésérés fiziológiája
- Terméskötés; a megporzás által indukált fiziológiai változások
- A termés kialakulásának főbb szakaszai, a termésképzés hormonális szabályozása
- A termés „telítődése”, a termésnagyságot meghatározó fiziológiai folyamatok
- A növények produktivitásának fiziológiai alapjai
- A szervek közötti kölcsönhatások szerepe a termésképzésben
- A hormonális termésszabályozás alapjai
- A termésérés folyamata, az érés szabályozása
- Terméskötés; a megporzás által indukált fiziológiai változások
- Az öregedés fiziológiája
- A könyvben gyakran alkalmazott rövidítések
- Irodalom
Kiadó: Akadémiai Kiadó
Online megjelenés éve: 2016
ISBN: 978 963 059 831 6
A viszonylag bőséges külföldi és szegényes hazai növényélettani tankönyvek, kézikönyvek mellett alig találkozunk a szántóföldi növénytermesztés és kertészet elméleti megalapozását szolgáló növényélettani munkákkal. Ezt a hiányt pótolta a jelen munka 1984-es kiadása. A három évtizedes egyetemi oktatói tapasztalatokkal kialakított tematika hangsúlyozottan foglalkozott a termesztett növények szervesanyag-termelésének növényélettani alapjaival. Az új tudományos eredmények alapján átdolgozott mű hangsúlyos része az anyagcsere-élettan, a bioreguláció, a stresszfiziológia, valamint a termésképzés élettana. A kézikönyv hasznos segítséget nyújt a növényélettan hazai felsőoktatásában, ugyanúgy hasznosíthatják a korábban végzett szakemberek is.
Hivatkozás: https://mersz.hu/petho-mezogazdasagi-novenyek-elettana//
BibTeXEndNoteMendeleyZotero