Monostory Katalin

Citokróm P450 enzimekhez köthető gyógyszer-metabolizmus a gyógyszerbiztonság tükrében

Az in vitro megközelítéstől a klinikai alkalmazásig


4.1.2. Gyógyszerjelöltek metabolizmusvizsgálata primer májmodelleken (D2, D4)

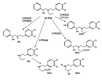
A primer hepatocita és a májmikroszóma alkalmas modellt jelenthet a gyógyszerjelöltek biotranszformációjának meghatározására és a metabolikus útvonalak feltárására a fejlesztés korai időszakában. Az in vitro megközelítés előnye, hogy az inkubálás során a szerkezetazonosításhoz elegendő mennyiségben és tisztaságban termelődnek a metabolitok. A koleszterinszint-csökkentő LK‑935 (Lek Pharmaceuticals d.d.), valamint a nem szteroid, ösztrogénreceptor-antagonista panomifen (Egis Gyógyszergyár Zrt.) példáján keresztül mutatom be a primer májmodellek alkalmasságát metabolizmusvizsgálatokra (D2, D4).
Humán májsejtekben az LK-935 meglehetősen gyors metabolizmusa során (lásd 4.1.1.) 6 metabolit képződését detektáltuk (D2). A metabolitok tömegspektrometriás szerkezetazonosítása azt jelezte, hogy az anyavegyület átalakulása elsősorban N-dealkilációval és kisebb mértékben hidroxilációval történt (12. ábra). A két fő metabolit (M1 és M2) a propilcsoport, illetve a hidroxietil-piridin-rész a molekula központi nitrogénjéről (tercier aminról) való lehasadásával jött létre, míg a két monohidroxi-metabolit a propiloldallánc (M3a), valamint a piridingyűrű (M3b) hidroxilezésével képződött. A hidroxietil-piridin lehasadásával keletkezett M2 metabolitból a propillánc hidroxilezésével két további minor metabolit (M4a és M4b) is képződött.
 
12. ábra. A koleszterinszint-csökkentő LK-935 metabolizmusa humán májsejtekben és a metabolikus lépéseket katalizáló CYP enzimek (lásd 4.1.3.)
 
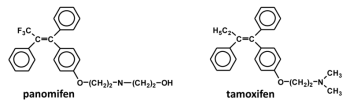
A májmikroszóma-preparátumok szintén alkalmazhatók gyógyszer-metabolizmus vizsgálatokra, azonban szem előtt kell tartani, hogy hosszú inkubálási időt nem tervezhetünk, mivel az enzimek 90 percen túl már jelentősen veszítenek aktivitásukból. A panomifen metabolikus útvonalainak feltérképezése egyike volt a legizgalmasabb preklinikai in vitro vizsgálatainknak. A tamoxifenanalóg, ösztrogénreceptor-antagonista vegyület, a panomifen mikroszómális metabolizmusa során összehasonlítottuk a patkány, egér, kutya és a humán metabolitprofilt, továbbá összevetettük a panomifen és a tamoxifen (13. ábra) humán metabolikus útvonalait (D4).
 
13. ábra. A panomifen és a tamoxifen szerkezete
 
Nyolc különböző panomifen-metabolit képződött a mikroszómális inkubálások során (14. ábra), azonban mindössze egy közös metabolitot, a teljes hidroxietil-aminoetoxi-oldallánc-vesztett metabolitot (M6) azonosítottuk mind a négy fajban. Az oldallánc-rövidüléssel létrejött köztitermékek közül a hidroxietil-amino-csoport lehasadásával keletkező metabolit (M7) patkány és egér májmikroszóma-inkubátumokban volt azonosítható, míg a hidroxietil-csoport-vesztett metabolit (M5) patkány, kutya és humán mikroszómában képződött. Mivel az alkil-aminoetoxi-oldallánc szükséges az antiösztrogén-aktivitáshoz (Murphy, 1991), az oldalláncot érintő változások a molekula inaktiválódásához vezetnek. A három, kizárólag kutya mikroszómális inkubálás során képződött metabolit (M1, M3, M4) közül az M3, a 4-hidroxi-panomifen szerkezetét azonosítottuk. A tamoxifen hasonló metabolikus útvonala emberben a 4-hidroxi-tamoxifen keletkezéséhez vezet, amely egyfelől antiösztrogén-aktivitással rendelkezik, ugyanakkor nemkívánatos DNS-addukt képződését is eredményezi (Moorthy, 1996). Tehát emberben a panomifen 4-hidroxilezési útvonal hiánya előnyösnek tekinthető. További előnyt jelenthet a tamoxifennel szemben, hogy a reaktívnak tekintett epoxidszármazék képződését nem detektáltuk a panomifen metabolizmusa során. Ugyanakkor humán mikroszómával való inkubálás egy humán specifikus metabolit, az M8 termelődéséhez vezetett, amelynek szerkezetazonosítása a hidroxietil-aminoetoxi-oldalláncon bekövetkezett kettős kötés kialakulását valószínűsítette. Az M8 metabolit kizárólag emberben való képződése nem túl előnyös, mivel a laboratóriumi állatokon (patkány, egér, kutya) végzett biztonsági vizsgálatok nem adnak tájékoztatást az M8 esetleges nemkívánatos hatásairól.
 
14. ábra. Az ösztrogénreceptor-antagonista panomifen metabolizmusában mutatkozó faji eltérések

Citokróm P450 enzimekhez köthető gyógyszer-metabolizmus a gyógyszerbiztonság tükrében

Tartalomjegyzék


Kiadó: Akadémiai Kiadó

Online megjelenés éve: 2025

ISBN: 978 963 664 152 8

A gyógyszerbiztonság megteremtésének része a gyógyszer-metabolizmusban mutatkozó egyéni eltérések és farmakokinetikai gyógyszer-kölcsönhatások feltárása, amely a gyógyszerfejlesztés korai időszakában kezdődik és végigkíséri a hatóanyagok életútját egészen a betegágyig. Monostory Katalin kutatómunkája során 1) primer májmodelleken alapuló, többszintű vizsgálati rendszert honosított meg és fejlesztett tovább, amely alkalmasnak bizonyult gyógyszer-hatóanyagok farmakokinetikai, metabolizmus és gyógyszer-interakciós sajátságainak feltérképezésére. 2) Rávilágított arra, hogy a gyógyszer-metabolizmusban kulcs-szerepet játszó citokróm P450 (CYP) enzimek variabilitása az egyes izoenzimeknél eltérő mértékben magyarázható a genetikai polimorfizmussal és a fenokonverziót kiváltó CYP-szelektív (CYP-gátlás és indukció) és nem-szelektív (pl. krónikus alkohol fogyasztás, amoxicillin+klavulánsav terápia) hatásokkal. 3) Diagnosztikai eljárást (CYPtestTM) dolgozott ki a betegek gyógyszer-metabolizáló képességének vérmintából történő meghatározására, amely a DNS analízissel megállapítható allélok kimutatásán (CYP-genotipizálás) és a leukocita CYP expresszióból történő CYP enzimaktivitás becslésen alapul. A CYP-státuszhoz igazított, személyre szabott terápia előnyei igazolódtak májátültetésen átesett betegek takrolimusz és epilepsziás gyermekek valproát kezelésében. Az új tudományos megállapítások nagyban hozzájárulnak a biztonságos és hatékony gyógyszeres terápia kialakításához.

Hivatkozás: https://mersz.hu/monostory-citokrom//

BibTeXEndNoteMendeleyZotero

Kivonat
fullscreenclose
printsave