Vacsora tálalva! Természeti erőforrások és az élelmiszer-fogyasztás

Dinner is Served. Natural Resources and Food Consumption

Jegyzet elhelyezéséhez, kérjük, lépj be.!

Dombi Mihály1, Karcagi-Kováts Andrea2, Bauerné Gáthy Andrea3

Jegyzet elhelyezéséhez, kérjük, lépj be.!

1 PhD, adjunktus, dombi.mihaly@econ.unideb.hu

Jegyzet elhelyezéséhez, kérjük, lépj be.!

2 PhD, adjunktus

Jegyzet elhelyezéséhez, kérjük, lépj be.!

3 PhD, adjunktus

Jegyzet elhelyezéséhez, kérjük, lépj be.!

Debreceni Egyetem Gazdaságtudományi Kar Közgazdaságtan Intézet Környezetgazdaságtan Tanszék, Debrecen
 

Jegyzet elhelyezéséhez, kérjük, lépj be.!

Kulcsszavak: élelmiszer, környezetterhelés, helyi termékek, fenntartható élelmiszer-gazdaság
 

Jegyzet elhelyezéséhez, kérjük, lépj be.!

Keywords: food, environmental impact, local product, sustainable food system
 

Jegyzet elhelyezéséhez, kérjük, lépj be.!

DOI: 10.1556/2065.178.2017.11.12
 
Bevezetés

Jegyzet elhelyezéséhez, kérjük, lépj be.!

Az életmódunk nélkülözhetetlen elemeként – a környezeti hatások szemszögéből – az élelmiszer-fogyasztás tekinthető a legjelentősebbnek a háztartási és közlekedési energiafelhasználás mellett. A társadalom környezetterhelésének megközelítőleg egyharmadát az élelmiszer-fogyasztás által indukált természeti erőforrás-felhasználás okozza. A világot jellemző egyenlőtlenség az élelmiszer-fogyasztásban is megfigyelhető, míg a gazdaságilag fejlett országokra a túlfogyasztás és a magas fogyasztási veszteségek jellemzők, addig a fejlődő országokban a mennyiségi és minőségi éhezés, illetve a magas termelési veszteségek az általánosak.

Jegyzet elhelyezéséhez, kérjük, lépj be.!

A fenntartható élelmiszer-fogyasztás úgy foglalható össze, mint az egészséges élethez elegendő mennyiségű és minőségű élelem biztosítása a környezetterhelés minimalizálása mellett (Auestad–Fulgoni, 2015). A problémakör megközelíthető a fenntartható étrend oldaláról is. Ez az étrend úgy jellemezhető, mint környezetkímélő, kulturálisan elfogadható, technológiailag és gazdaságilag elérhető, egészséges, biztonságos, tápláló és optimálisan hasznosítja a természeti és humán erőforrásokat (FAO, in Macdiarmid et al., 2012).

Jegyzet elhelyezéséhez, kérjük, lépj be.!

Tanulmányunk hátterét korábbi kutatásunk szolgálja az élelmiszer-fogyasztás környezeti hatásait illetően, mely az élelmiszer-szükségletek szintjét mutatja be, valamint az élelmiszerek és az egyes étrendek környezeti hatásait elemezi széles körű nemzetközi szakirodalom felhasználásával (lásd Dombi, 2016). Jelen tanulmányban egy, a tanszékünkön végzett felmérés eredményei­ből kiindulva mutatunk rá arra, hogy az élelmiszer végső felhasználása önmagánál legalább egy nagyságrenddel nagyobb természeti erőforrás-inputot igényel; végül következtetéseket vonunk le a fenntarthatóbb élelmiszer-fogyasztásra vonatkozóan.
 
Az élelmiszer-fogyasztás környezeti hatásai

Jegyzet elhelyezéséhez, kérjük, lépj be.!

Az élelmiszer-gazdaság környezeti hatásait tanulmányozva több nehézséggel is szembesülünk. Egyrészt a nagyarányú veszteség miatt nehéz olyan pontos adatbázishoz jutni, amely a ténylegesen elfogyasztott élelmiszer mennyiségét mutatja be. A makroszintű adatokból levezetett (top-down) adatok generálása viszonylag egyszerű ugyan – ilyenek például a FAO- (Food and Agriculture Organization of the United Nations) élelmiszermérlegek (Dombi, 2016), a hazai felméréseken alapuló KSH-élelmiszermérlegek (KSH, 2017) –, de ezek csak az élelmiszerként vásárolt mennyiséget képesek feltárni. Ezzel szemben a valós fogyasztást mérő felmérések meglehetősen költség- és időigényesek (lásd Sarkadi et al., 2016).

Jegyzet elhelyezéséhez, kérjük, lépj be.!

Másrészt, mint minden környezetterhelést elemző területen, itt is nehezen dönthető el, hogy mi jellemzi azt jobban: valamilyen komplex mutatórendszer (például LCA, Life Cycle Assessment) vagy egy kiemelt szennyezés (például ÜHG, üvegházhatású gáz) vagy erőforrás-felhasználás (például termőföld). Különösen nehézzé teszi a módszerválasztást, hogy az élelmiszer-ellátásnak nagyon sokszínű a kapcsolata a természeti erőforrások felhasználásával és szennyezésével. A mezőgazdaság jelentős hatást gyakorol a biodiverzitásra, a talajra, a vízkészletre, az élelmiszer-gazdaság egésze a nyersanyag- és energiafelhasználásra, ezáltal pedig szennyező kibocsátásai is igen jelentősek.

Jegyzet elhelyezéséhez, kérjük, lépj be.!

Általában elmondható, hogy az élelmiszer-előállítás során a legjelentősebb környezeti hatással a mezőgazdasági termelés jellemezhető. A világ édesvízkészletének 70 százalékát az élelmiszer-vertikumban használják fel (World Resource Institute 2006, in Teisl, 2011). Az Európai Unióban a termőterület közel 70%-a az állati takarmányok előállítását szolgálja, ami becslések szerint a mezőgazdaság által okozott biodiverzitás-csökkenés 74%-áért felel (Leip et al., 2015).

Jegyzet elhelyezéséhez, kérjük, lépj be.!

Az Európai Unióban az egy főre jutó éves élelmiszer-fogyasztás által indukált anyagfelhasználás 4000–7000 kg között van, mivel az elfogyasztott ételek előállításának anyagigénye önmaguk tömegének nyolc–tizenkétszerese. Az anyagfelhasználás 36–48%-a húsok, 11–18%-a tejtermékek és 10–19%-a gabonatermékek fogyasztásához köthető, ezzel szemben a zöldségek és gyümölcsök anyagigénye mindössze 4–6% (Manicini et al., 2012).
 

Jegyzet elhelyezéséhez, kérjük, lépj be.!

Az étrend és a környezetterhelés kapcsolata

Jegyzet elhelyezéséhez, kérjük, lépj be.!

Arnold Tukker és munkatársai (2011) LCA-módszerrel elemezték az étrendben bekövetkezett változások komplex környezeti ajándékhatásait. Vizsgálataik alapján az étrend megváltoztatásával – a táplálkozási ajánlásoknak megfelelően – kb. 25%-kal csökkenthetők a környezeti hatások.

Jegyzet elhelyezéséhez, kérjük, lépj be.!

Sibylle Frey és John Barett (2006) skót élelmiszer-fogyasztási adatok alapján kalkulálták az étrend ökológiai lábnyomát. Status quo esetén az étkezéshez kapcsolódó ökológiai lábnyom értéke az elemzés szerint 0,75 gha/fő, ami egészséges étrend esetén 15%-kal lehet kevesebb, vegetáriánus étrend esetén pedig akár 34%-os csökkenés is elérhető.

Jegyzet elhelyezéséhez, kérjük, lépj be.!

Egy hazai, ezerfős mintán végzett felmérés alapján az élelmiszer-fogyasztás ökológiai lábnyoma 1,2 globális ha (gha). Az élelmiszer-fogyasztás ökológiai lábnyomának 33%-át a húsfogyasztás okozza, ezt kibővítve egyéb állati eredetű termékkel, ez már a környezeti hatás 60%-át okozza (Vetőné Mózner–Csutora, 2013).

Jegyzet elhelyezéséhez, kérjük, lépj be.!

Michael Lettenmeier és munkatársai (2012) négy jellemző étrendet hasonlítottak össze. A szerzők más munkái alapján fontos megjegyezni, hogy a fenntartható erőforrás-használat határa a globális átlagot tekintve 8000 kg/fő körül van (Lettenmeier et al., 2014). Az uralkodó finn étrend anyagfelhasználása – melynek kb. 60%-a az állati termékekhez köthető – önmagában megközelíti ezt az értéket (közel 6000 kg/fő).
 

Jegyzet elhelyezéséhez, kérjük, lépj be.!

Környezetpolitikai kulcskérdések

Jegyzet elhelyezéséhez, kérjük, lépj be.!

Igen hangsúlyos kérdés az élelmiszerek piacának globálissá válása miatt megnövekedett környezetterhelés. Az élelmiszerek nemzetközi kereskedelme igen intenzíven növekszik, főleg a fogyasztói igényeknek és a különböző szállítási módok csökkenő költségeinek köszönhetően (Teisl, 2011). A lokális termékek előnyben részesítése kivételesen „vonzó” a fenntartható fogyasztás által megkívánt fogyasztói magatartás szempontjából, hiszen a környezeti előnyökön kívül számos pozitív hatást tulajdonítanak a helyi termékek előnyben részesítésének (például munkahelyteremtés, vidékfejlesztés).

Jegyzet elhelyezéséhez, kérjük, lépj be.!

Sok termék kifejezetten nagy távolságot tesz meg a fogyasztóig, ami valóban növeli a fogyasztás által okozott környezetterhelést. Ezen hatás azonban egyes esetekben túlértékelt. Pierre Desrochers és Hiroko Shimizu (2008) óva intenek attól, hogy kizárólag a földrajzi távolságot figyelembe véve ítéljük meg az elfogyasztott élelmiszerek környezetterhelését. Számos példa található az ökológiai szempontból előnytelenebb helyi termékre, ha a tárolást, a hűtés hosszát vagy a technológiai hőigényt (üvegház) is figyelembe vesszük (Smith et al., 2005; Edwards-Johnes et al., 2008, in Teisl, 2011). Az étrend kismértékű átalakításával el lehet érni olyan csökkenést a környezetterhelésben, mint kizárólag helyi termékek fogyasztásával, ugyanis a környezeti hatás sokkal inkább függ attól, hogy hogyan jön létre a termék, mint hogy milyen messzire szállítják (Engelhaupt, 2008). Ez az étrend átalakításának magasabb környezetpolitikai hatékonyságát húzza alá.

Jegyzet elhelyezéséhez, kérjük, lépj be.!

Nem kell tehát elvetni a helyi termékek fogyasztását, mivel annak számos társadalmi és gazdasági előnye van. Fontos megjegyezni, hogy a természeti erőforrások egyre nagyobb arányú túlhasznosítása jelentős mértékben a globalizációnak, a nemzetközi kereskedelem intenzív növekedésének tulajdonítható. Összefoglalva tehát, a távolabbról származó termék önmagában nem feltétlenül okoz magasabb környezetterhelést, de az intenzív nemzetközi kereskedelem lehetőséget biztosít a fogyasztás növekedésére, ami a természeti erőforrások fokozott túlhasznosításához vezet.

Jegyzet elhelyezéséhez, kérjük, lépj be.!

Hasonlóan ellentmondásos az intenzív és az ökológiai gazdálkodás megítélése (lásd Teisl, 2011). Az ökológiai gazdálkodás általában alacsonyabb környezetterheléssel jellemezhető (Hole et al., 2005), de emellett gyakran alacsonyabb hozamokkal is (Pimentel et al., 2005). Tekintve a termőterületek szűkösségét, globálisan nem valószínű, hogy ezen a fejlődési pályán megvalósítható a fenntartható élelmiszer-fogyasztás vertikuma. A precíziós mezőgazdaság nyújtotta lehetőségek viszont – mind a növénytermesztésben, mind az állattenyésztésben – alacsonyabb természeti erőforrás-ráfordítást követelnek meg növekvő hozamok mellett. Egy modern mezőgazdasági rendszerben adott a lehetőség a környezetterhelés csökkentésére, mivel a fejlődés ezen irányát éppen az alacsonyabb növényvédőszer-, műtrágya- és energiafelhasználás hívta életre.

Jegyzet elhelyezéséhez, kérjük, lépj be.!

A közepes és magas jövedelmű országokban az élelmiszer-veszteség legfőbb okai között említik a fogyasztói magatartás mellett az ellátási lánc különböző szereplői közötti koordináció hiányát (Gustavsson et al., 2011). Ezt a veszteséget az ellátási lánc különböző pontjain globálisan 10–40% között becsülik (Auestad –Fulgoni, 2015); Lettenmeier és munkatársai (2012) szerint ez inkább 25–50%.

Jegyzet elhelyezéséhez, kérjük, lépj be.!

Magyarországon az Agrárgazdasági Kutatóintézet szerint évente közel kétmillió tonna élelem válik hulladékká, ami közel fele az elfogyasztott mennyiségnek. Ezen hulladékok 22%-a keletkezik a háztartásokban. Hubert Klára és Szűcs István (2017) becslése alapján csak a hulladékká vált kenyérfélék 500–650 ezer gyermek közétkeztetését fedeznék Magyarországon kenyér tekintetében.

Jegyzet elhelyezéséhez, kérjük, lépj be.!

Az élelmiszer-veszteség szinte kódolva van a gazdasági rendszerben. Fontos kérdés azonban, hogy mi a veszteségek elérhető minimuma. A fogyasztói igények miatt szükségszerűen keletkeznek veszteségek az élelmiszer-vertikumban (például zöldség-gyümölcs feldolgozás), ráadásul feltételezhetjük, hogy az ajánlásoknak megfelelő, sok gyümölcsöt és zöldséget, illetve sok összetett szénhidrátot tartalmazó étrend megkívánja a széles választék tartását az egyes termékcsoportokon belül a háztartásokban. A vásárlások viszont annál nehezebben tervezhetők, minél diverzebb az étrend. Ettől függetlenül a veszteségek csökkentésének legfőbb útja a háztartásokban a tudatosság és az élelmiszer-beszerzés jobb menedzsmentje (tervezés, kivitelezés, szállítás, tárolás). Ez azért is kiemelendő, mert az Európai Unióban 2012-ben 88 millió tonna élelmiszer-hulladék keletkezett (173 kg/fő), ami az EU teljes élelmiszer-termelésének a 20%-a, és ennek 54%-a háztartásokból származik (47±4 millió tonna) (Stenmarck et al., 2016).
 
A magyar háztartások élelmiszer-fogyasztásának természeti erőforrásigénye

Jegyzet elhelyezéséhez, kérjük, lépj be.!

A Debreceni Egyetem Környezetgazdaságtan Tanszékén 2013 és 2015 között több, a háztartások természeti erőforrás-felhasználásának megismerését célzó felmérés is folyt naplóvezetés módszerével (Dombi et al., 2015; Harder et al., 2016). A felméréseket az anyagáram-elemzés (MFA, material flow accounting)43 elveinek megfelelően végeztük, és célunk az volt, hogy a háztartások anyagfelhasználásán keresztül feltárjuk a végső felhasználáshoz kötődő természeti erőforrás-felhasználást, úgy, hogy az a háztartások társadalmi, gazdasági és egyéb jellemzőihez is köthető legyen. A továbbiakban bemutatott eredmények a 2015-ben végzett felmérés adatbázisából végzett szűrésekből indulnak ki.
 

Jegyzet elhelyezéséhez, kérjük, lépj be.!

A felmérés módszere

Jegyzet elhelyezéséhez, kérjük, lépj be.!

A társadalmi metabolizmus alapegységének a háztartások tekinthetők, egyrészt a közös lakás határai képezik a legtöbb anyagáram fizikai határait, másrészt a különböző javak beszerzése felőli döntések is háztartási szinten születnek (Harder et al., 2016). A mintavétel során 126 háztartás fogyasztását követtük nyomon önbevallásos naplóvezetés segítségével átlagosan 14 napon keresztül önkéntes egyetemi hallgatók bevonásával. A naplók napi bontásban tartalmazzák az elfogyasztott termékek meghatározását, darabszámát és tömegét. A termékek és csomagolásuk anyagát az adatbázis felépítésekor a kutatásban közreműködők határozták meg a termékleírások alapján (1. táblázat). A vezetékes szolgáltatások felhasználását a mintavételi időszak rövidsége miatt becsültük. Az élelmiszer-fogyasztás szempontjából fontos, hogy a házon kívüli étkezéseket is tartalmazzák a naplók, ezek tömegét szakértői becslés alapján határoztuk meg.

Jegyzet elhelyezéséhez, kérjük, lépj be.!

1. táblázat. A háztartások anyag-inputjai és anyagállományai
na = 73
Átlagb
Szórás
Minimum
Maximum
Extrapolált éves anyag-input (kg/fő)
Biomassza
373
,80
158
,87
102
,00
1093
,00
Fémek
3
,34
13
,35
0
,00
100
,00
Műanyag
10
,19
15
,43
0
,00
104
,00
Nemfémes ásványok
564
,27
4652
,32
1
,00
39 780
,00
Összesen, fosszilis energiahordozók nélkül
951
,61
4674
,42
112
,00
40 318
,00
Fosszilis energiahordozókc
895
,29
854
,81
333
,00
4253
,00
Minden anyagkategória
2159
,69
5821
,18
590
,45
40 897
,00
Háztartási anyagállományok (kg/fő)
Fa
211
,97
104
,57
44
,00
540
,00
Biomassza
68
,67
68
,89
0
,00
493
,00
Műanyag
3
,85
4
,89
0
,00
22
,00
Fém
32
,97
38
,54
0
,00
231
,00
Nemfémes ásványok
22
,47
18
,91
0
,00
95
,00
Kevert
202
,67
121
,03
43
,00
43
,00
Teljes anyagfelhasználás
536
,98
246
,90
102
,00
1561
,00
Teljes anyagfelhasználás, járművekkel
1168
,79
664
,98
259
,00
5 033
,00
Teljes anyagfelhasználás, épített anyagállományokkald
46 450
,68
28 704
,76
5082
,74
146 560
,55
a n – a minta elemszáma
b az egyes sorok egyszerű számtani átlaga a minta alapján
c becsült (n = 47)
d Han–Xiang (2012) alapján becsült

Jegyzet elhelyezéséhez, kérjük, lépj be.!

A társadalmi metabolizmus területének fejlődésével előtérbe került az egyes társadalmi egységek anyagáramainak (input és output flow-k) elemzése mellett az anyagállományok (stocks) vizsgálata. A fenntarthatóság szempontjából igen fontos kérdéseket vet fel a társadalom által beépített anyag mennyisége és dinamikája. Ennek megfelelően a háztartások elkészítették az ún. háztartási leltárt is. Arra kértük a részt vevő önkéntes hallgatókat, hogy a háztartásuk összes használati tárgyát mérjék fel. Amennyiben a tömeg mérésére nem volt lehetőség, a fizikai kiterjedés és az anyag alapján kalkuláltuk (például bútorok) vagy egyéb módon, például interneten hozzáférhető adatokkal becsültük a tárgyak tömegét (zongora, hűtőgép).

Jegyzet elhelyezéséhez, kérjük, lépj be.!

A felmérés harmadik eleme a kérdőív volt, melyet a fenti két elem után töltettünk ki a háztartásokat képviselő hallgatókkal. Ezek alapvető demográfiai, jövedelmi és egyéb információkat szolgáltattak a háztartásokról. A naplóban és a leltárban található nyilvánvaló adathiány fellépése esetén egyes háztartásokat az adatok feldolgozásakor kizártunk a mintából, ilyen okok voltak például, ha egymás utáni napokon hiányzott a főétkezés, vagy nem volt ágy a leltárban. Végül hetvenöt háztartás adatait használtuk, ez a szakirodalomban fellelhető messze legnagyobb minta hasonló kutatásokban, aminek az az oka, hogy a résztvevőktől meglehetősen nagy erőfeszítést követel meg a naplózás. Természetesen ezek az eredmények nem tekinthetők reprezentatívnak a magyar lakosságra, de az átlagot közelíthetik.

Jegyzet elhelyezéséhez, kérjük, lépj be.!

A felmérés alapján a háztartások legjelentősebb anyagáramai a fosszilis energiahordozók; az üzemanyag és a fűtés az összes anyag-input közel felét teszik ki. A második legjelentősebb input a nemfémes ásványok, melyek mennyisége makroszinten is a legnagyobb a bevitt anyagok között, ezeknek több mint 90%-a ugyanis meglehetősen nagy sűrűséggel jellemezhető építőipari alapanyag.

Jegyzet elhelyezéséhez, kérjük, lépj be.!

Ha az eredmények szórására tekintünk, látható, hogy minél ritkábban fogyasztott egy bizonyos anyagcsoport, annál nagyobb a szórás. Egyes anyag-inputok felméréséhez ezzel a módszerrel tehát hosszabb mintavételi periódusra vagy más módszerre (például utólagos felmérés megkérdezéssel) van szükség.

Jegyzet elhelyezéséhez, kérjük, lépj be.!

Nem ez a helyzet a biomassza anyagcsoport esetében, itt a relatív szórás jóval alacsonyabb: 42%. Ennek a csoportnak a naplók alapján átlagosan 95%-a élelmiszer, melynek bevitele biológiailag determinált, és állandónak tekinthető a mennyisége, éppen ezért a naplózás módszerével pontosan mérhető.

Jegyzet elhelyezéséhez, kérjük, lépj be.!

A háztartás anyagállományai közül legjelentősebb az épületállomány, ez két nagyságrenddel haladja meg a tartós fogyasztási cikkek tömegét. Átlagosan több mint fél tonna anyag felett rendelkeznek a háztartások lakókörnyezetükben, melynek fele biomassza-eredetű, illetve közel fele kevert – ezek főleg konyhai és egyéb elektronikai eszközök.
 

Jegyzet elhelyezéséhez, kérjük, lépj be.!

Főbb eredmények

Jegyzet elhelyezéséhez, kérjük, lépj be.!

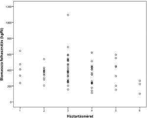
Statisztikailag szignifikáns eredmények alapján összességében megállapítható, hogy az anyagállományok függenek a háztartás méretétől és a jövedelemtől, de sem az állományok, sem az anyag-inputok nem függenek a környezeti attitűdtől, a család társadalmi státuszától vagy a lakóhely típusától. A háztartásméret csökkenése általános európai trend, melynek negatív környezeti hatásai ismertek: kisebb háztartások ellátásához fajlagosan több erőforrásra van szükség az ellátás hatékonyságának csökkenése miatt. Ez egyértelmű az anyagállomány esetében, de az input biomassza mennyisége is kismértékben függ az egy háztartásban élők számától: a korreláció gyenge-közepes (r = 0,32), 90%-os szignifikanciaszinten. Az összefüggés megfigyelhető az 1. ábrán is.

Jegyzet elhelyezéséhez, kérjük, lépj be.!

1. ábra. A háztartásméret és a biomassza-felhasználás a háztartási mintában
 

Jegyzet elhelyezéséhez, kérjük, lépj be.!

Az élelmiszer-fogyasztás természeti erőforrásigényének jellemzése

Jegyzet elhelyezéséhez, kérjük, lépj be.!

A makroszintű inputoknak mindössze 18%-a jut el a háztartásokhoz végső fogyasztás céljából. Ennek az oka az egyes anyagcsoportok vizsgálatával külön-külön magyarázható. A fémek esetén a háztartások közvetlenül alacsony arányban használnak fel ilyen eredetű természeti erőforrásokat, feltehetően ezeket inkább az ipar építi be gépek és szerkezetek formájában. A nemfémes ásványok 95%-a építőanyag-funkcióval jut be az európai gazdaságokba. Mintegy 20–30%-a szolgál magasépítési célokat, tehát épületek építését, amelyeknek csupán fele lakóépület (Schiller et al., 2016). Ezek megjelenése a háztartásokban 10% körüli.

Jegyzet elhelyezéséhez, kérjük, lépj be.!

Jelentős eltérés van a háztartási minta alapján az elfogyasztott élelmiszer és az elsődleges biomassza-produkció között. Előbbi a háztartási naplókban a biomasszacsoportnak átlagosan a 95%-át jelenti, utóbbi pedig a hazai anyagfelhasználással (DMC, domestic material consumption) mért mutató. Az adott időszak alatt keletkezett biomasszát az MFA-adatbázisokban a természeti erőforrásokból létrehozott elsődleges terméknek tekintik, a természeti erőforrások gazdaság általi felhasználását megtestesítő indikátornak a biomassza-eredetű termékek esetén, így az élelmiszereknél is.

Jegyzet elhelyezéséhez, kérjük, lépj be.!

Valójában az élelmiszercélú biomassza mennyisége a táblázatban találhatónál alacsonyabb, hiszen az évi 25–40 ezer tonna biomasszából kb. 3 ezer tonna faanyag. A tisztán élelmezési célokra szolgáló – közvetlenül, illetve közvetve, takarmányként – mennyiség nyomon követhető a 2. ábrán az elmúlt évtizedben Magyarországon, egy főre vetítve.

Jegyzet elhelyezéséhez, kérjük, lépj be.!

2. ábra. Az élelmiszercélú biomassza fajlagos hazai anyagfelhasználása (DMC), kg/fő
Saját szerkesztés Eurostat (URL1)

Jegyzet elhelyezéséhez, kérjük, lépj be.!

A trendvonal segítségével láthatóvá válik, hogy az évjárathatás kiszűrésével fajlagosan kb. 3000 kg primer biomassza termelődik egy főre vetítve hazánkban. Így a minta alapján az élelmiszer-fogyasztás a háztartásokban a teljes elsődleges produktum 12%-a. A jelentős eltérés a makroszintű élelmiszercélú anyag-input és a háztartási fogyasztás között három okra vezethető vissza:

Jegyzet elhelyezéséhez, kérjük, lépj be.!

  • metabolikus vesztségek,
  • technológiai veszteségek,
  • közösségi fogyasztás.
 

Jegyzet elhelyezéséhez, kérjük, lépj be.!

Az első két eset tulajdonképpen a bevezető fejezetekben leírtak makroszintű felismerése. A primer növényi produkció jelentős része állati termékek felépítésében vesz részt, meglehetősen alacsony hatásfokkal. Az állatok testtömeg-gyarapodása során minden kilogrammnyi többlethez állatfajtól és állati terméktől függően 2–5 kg takarmányt használnak fel. Már itt találunk példát a technológiai veszteségek kialakulására is: a takarmányok segítségével felépített állati test csak kb. 60%-ban használható fel. Természetesen a növényi termékek sem kivételek a veszteségek alól: az egyes gabonák lisztkihozatala tömegük 60–70%-a csupán. Még ha javít is a helyzeten, hogy a melléktermékek egy részét hasznosítja az élelmiszeripar, a további feldolgozás és a kereskedelem során újabb veszteségek keletkeznek. A közösségi fogyasztás a nem háztartások által szervezett erőforrás-felhasználásra utal (például közétkeztetés).

Jegyzet elhelyezéséhez, kérjük, lépj be.!

A szakirodalmi áttekintés után azt a következtetést vonhatjuk le, hogy környezetpolitikai szempontból a leghatékonyabb út az élelmiszer-fogyasztás környezetterhelésének csökkentésére az étrend igazítása az egészségügyi ajánlásokhoz, részben az állati termékek arányának csökkentése által; illetve a veszteségek csökkentése. A közel egy a tízhez arány a végső fogyasztás és az erőforrás-felhasználás között azt is jelenti, hogy a fogyasztói döntéseknek igen nagy hatásuk van az élelmiszerek előállításához szükséges természeti erőforrások mennyiségére.

Jegyzet elhelyezéséhez, kérjük, lépj be.!

A bemutatott adatok alapján a hazai anyagfelhasználás kb. 30%-a élelmiszercélú biomassza. A fogyasztói szokások átalakítása – akár a veszteségek csökkentése, akár a fogyasztás racionalizálása által – jelentős előrelépést jelentene a természeti erőforrásokra nehezedő nyomás csökkentésében. Tízszázalékos élelmiszerigény-csökkenés, amely a háztartásokba bevitt anyagmennyiségnek mindössze 1,6%-a lenne, egészségügyi szempontból is előnyökkel járna. Ez egy főre vetítve 8,2%-kal kevesebb biomassza és összességében 2,7%-kal kevesebb természeti erőforrás felhasználását eredményezné makroszinten (DMC). Az összes természeti erőforrás felhasználásában bekövetkezett csökkenéshez hozzá kell adnunk továbbá a kevesebb biomassza előállítása által okozott csökkenést egyéb erőforrások felhasználásában. Az élelmiszercélú felhasználás a többi anyagcsoportban (fosszilis energiahordozók, fémes, illetve nemfémes ásványok) 4–7%-ra tehető, legmagasabb a nemfémes ásványok esetében a növényvédőszerek és mű­trágyák felhasználása miatt (Dombi et al., 2015). Ezért összességében a fenti hatás a makroszintű erőforrások 3%-ának becsülhető, ami megközelíti az évi 400 kg egy főre jutó természeti erőforrás-felhasználást.
 
Következtetések

Jegyzet elhelyezéséhez, kérjük, lépj be.!

Jelen tanulmány célja a legújabb, fenntartható élelmiszer-fogyasztással kapcsolatos tudományos nézetek szintézise volt, törekedve a témában született tanulmányok jelentős mennyiségének feldolgozására, melyek összességét itt terjedelmi okok miatt nem mutattuk be részletesen. Ezek alapján a fenntartható élelmiszer-fogyasztással kapcsolatban az alábbi, egyes esetekben bizonytalan (iii., v., vi.), további kutatást igénylő következtetések vonhatók le.

Jegyzet elhelyezéséhez, kérjük, lépj be.!

  1. Az állati termékek fogyasztása – biológiai okokból kifolyólag – fajlagosan egy nagyságrenddel több természeti erőforrás-felhasználást okoz.
  2. A helyi termékekre korlátozódó étrend és az ökológiai vagy extenzív gazdálkodás önmagában nem feltétlenül jár alacsonyabb környezetterheléssel. A fenntartható étrend kialakításához más szempontokat is figyelembe kell venni (például élelmiszer-beszerzés jellemzői, élelmiszerek tárolása).
  3. Az étrend egészségügyi ajánlásokhoz való igazítása a nyugati kultúrában a környezetterhelés csökkenését eredményezné.
  4. Ugyanitt az étrendben bekövetkező változások és a háztartási élelmiszer-hulladékok mérséklődése környezetpolitikai értelemben a leghatékonyabbak, az ezekben rejlő környezetterhelés-csökkentési potenciál legalább 20-20%.
  5. Ezt a potenciált mindössze 10%-ig kihasználva az élelmiszer-fogyasztás egy főre vetítve 8,2%-kal kevesebb biomassza és összességében kb. 3%-kal kevesebb természeti erőforrás felhasználását eredményezné makroszinten (kb. 400 kg/fő), mivel
  6. a hazai élelmiszer-fogyasztás mennyisége a primer biomassza-input mindössze 12%-a.
 
Köszönetnyilvánítás

Jegyzet elhelyezéséhez, kérjük, lépj be.!

A tanulmány megjelenését a Bognár József Közgazdaság-kutató Alapítvány támogatta.

Jegyzet elhelyezéséhez, kérjük, lépj be.!

A kutatás a „Az élelmiszer-fogyasztás természeti erőforrásigénye a társadalmi metabolizmus szempontjából” című projekt keretében, a Nemzeti Kutatási, Fejlesztési és Innovációs Hivatal – NKFIH (K-115851) támogatásával valósult meg.
 
Irodalom

Jegyzet elhelyezéséhez, kérjük, lépj be.!

Auestad, N – Fulgoni, V. L. (2015): What Current Literature Tells Us about Sustainable Diets: Emerging Research Linking Dietary Patterns, Environmental Sustainability, and Economics. Advances in Nutrition, 6, 19–36. DOI:10.3945/an.114.005694 link

Jegyzet elhelyezéséhez, kérjük, lépj be.!

Desrochers, P. – Shimizu, H. (2008): Yes We Have No Bananas: A Critique of the ’Food Miles’ Perspective. (Mercatus Policy Series. Policy Primer Nr. 8) Arlington: Mercatus Center link

Jegyzet elhelyezéséhez, kérjük, lépj be.!

Dombi M. (2016): Természeti erőforrások az asztalon. A falu, XXXI, 4, 4, 11–25.

Jegyzet elhelyezéséhez, kérjük, lépj be.!

Dombi M. – Karcagi-Kováts A. – Bauerné Gáthy A. – Kuti I. (2015): A háztartások természeti erőforrás-felhasználása, különös tekintettel az élelmiszer-fogyasztásra. Gazdálkodás, 4, 355–371. link

Jegyzet elhelyezéséhez, kérjük, lépj be.!

Engelhaupt, E. (2008): Do Food Miles Matter? Environmental Science and Technology, 42, 3482. DOI: 10.1021/es087190e link

Jegyzet elhelyezéséhez, kérjük, lépj be.!

Frey, S. – Barrett, J. (2006): The Footprint of Scotland’s Diet. The Environmental Burden of What We Eat. A Report for Scotland’s Global Footprint Project. September 2006. link

Jegyzet elhelyezéséhez, kérjük, lépj be.!

Gustavsson, J. – Cederberg, C. – Sonesson, U. et al. (2011): Global Food Losses and Food Waste: Extent, Causes and Prevention. Rome: Food and Agriculture Organisation of the United Nations link

Jegyzet elhelyezéséhez, kérjük, lépj be.!

Han, J. – Xiang, W. N (2013): Analysis of Material Stock Accumulation in China’s Infrastructure and Its Regional Disparity. Sustainability Science, 8, 4, 553–564. DOI: 10.1007/s11625-012-0196-y link

Jegyzet elhelyezéséhez, kérjük, lépj be.!

Harder, R. – Dombi M. – Peters, G. M. (2016): Perspectives on Quantifying and Influencing Household Metabolism. Journal of Environmental Planning and Management, 60, 2, 178-203. DOI: 10.1080/09640568.2016.1142864

Jegyzet elhelyezéséhez, kérjük, lépj be.!

Hole, D. G. – Perkins, A. J. – Wilson, J. D. et al. (2005): Does Organic Farming Benefit Biodiversity? Biological Conversation, 122, 113–130. DOI:10.1016/j.biocon.2004.07.018 link

Jegyzet elhelyezéséhez, kérjük, lépj be.!

Hubert K. – Szűcs I. (2017): A hazai háztartási élelmiszer-hulladékba kerülő kenyér egyes gazdasági, társadalmi és ökológiai hatásai. Gazdálkodás, 61, 1, 54–72.

Jegyzet elhelyezéséhez, kérjük, lépj be.!

Karcagi-Kováts A. – Kuti I (2012): A készletek általános elmélete és a fenntartható fejlődés. Magyar Tudomány, 173, 2, 216–225. link

Jegyzet elhelyezéséhez, kérjük, lépj be.!

KSH (2017): Élelmiszermérlegek, a rendelkezésre álló élelmiszer mennyiségek (1970–2015). link

Jegyzet elhelyezéséhez, kérjük, lépj be.!

Leip, A. – Billen, G. – Garnier, J. et al. (2015): Impacts of European Livestock Production: Nitrogen, Sulphur, Phosphorus and Greenhouse Gas Emissions, Land-use, Water Eutrophication and Biodiversity. Environmental Research Letters, 10, DOI: 10.1088/1748-9326/10/11/115004/meta link

Jegyzet elhelyezéséhez, kérjük, lépj be.!

Lettenmeier, M. – Göbel, Ch. – Liedtke, Ch. et al. (2012): Material Footprint of a Sustainable Nutrition System in 2050 – Need for Dynamic Innovations in Production, Consumption and Politics. In: Rickert, U. – Schiefer, G. (eds.): System Dinamics and Innovation in Food Networks. 584–598. link

Jegyzet elhelyezéséhez, kérjük, lépj be.!

Lettenmeier, M. – Liedtke, C. – Rohn, H. (2014): Eight Tons of Material Footprint–Suggestion for a Resource Cap For Household Consumption in Finland. Resources, 3, 488–515. DOI: 10.3390/resources3030488 link

Jegyzet elhelyezéséhez, kérjük, lépj be.!

Macdiarmid, J. – Kyle, J. – Horgan, G. W. et al. (2012): Sustainable Diets for the Future: Can We Contribute to Reducing Greenhouse Gas Emissions by Eating a Healthy Diet? The American Journal of Clinical Nutrition, 92, 632–639. DOI: 10.3945/ajcn.112.038729 link

Jegyzet elhelyezéséhez, kérjük, lépj be.!

Mancini, L. – Lettenmeier, M. – Rohn, H. – Liedtke, C. (2012): Application of the MIPS Method for Assessing the Sustainability of Production-consumption System of Food. Journal of Economic Behavior and Organization, 81, 779–793. DOI: 10.1016/j.jebo.2010.12.023 link

Jegyzet elhelyezéséhez, kérjük, lépj be.!

Pimentel, D. – Hepperly, P. – Hanson, J. (2005): Environmental, Energetic, and Economic Comparisons of Organic and Conventional Farming Systems. BioScience, 7, 573–582. DOI: 10.1641/0006-3568(2005)055[0573:EEAECO]2.0.CO;2 link

Jegyzet elhelyezéséhez, kérjük, lépj be.!

Sarkadi Nagy E. – Bakacs M. – Illés É. et al. (2016): Az Országos Táplálkozás és Tápláltsági Állapot Vizsgálat OTÁP2014 főbb eredményei. Budapest: OGYÉI, 2016. június 2. link

Jegyzet elhelyezéséhez, kérjük, lépj be.!

Schiller, G. – Müller, F. – Ortlepp, R. (2016): Mapping the Antropogenic Stock in Germany: Meta­bolic Evidence for a Circular Economy. Resources, Conservation and Recycling, 123, 93–107. DOI: 10.1016/j.resconrec.2016.08.007 link

Jegyzet elhelyezéséhez, kérjük, lépj be.!

Smith, A. – Watkiss, P. – Tweddle, G. et al. (2005): The Validity of Food Miles as an Indicator of Sustainable Development. Report Nr. ED50254. link

Jegyzet elhelyezéséhez, kérjük, lépj be.!

Stenmarck, A. – Jensen, C. – Quested, T. – Moates, G. (2016): Estimates of European Food Waste Levels. Reducing Food Waste through Social Innovation. FUSIONS EU Project link

Jegyzet elhelyezéséhez, kérjük, lépj be.!

Teisl, M. F. (2011): Environmental Concerns in Food Consumption. In: Lusk, J. L. –Roosen, J. – Shogren, J. F. (eds.): The Oxford Handbook of the Economics of Food Consumption and Policy. Oxford DOI: 10.1093/oxfordhb/9780199569441.013.0035

Jegyzet elhelyezéséhez, kérjük, lépj be.!

Tukker, A. – Goldboom, R. A. – de Koning, A. et al. (2011): Environmental Impacts of Changes to Healthier Diets in Europe. Ecological Economics, 70. 1776–1780. DOI: 10.1016/j.ecolecon.2011.05.001 link

Jegyzet elhelyezéséhez, kérjük, lépj be.!

Vetőné Mózner Zs. – Csutora M. (2013): Designing Lifestyle-specific Food Policies Based on Nutritional Requirements and Ecological Footprints. Sustainability: Science, Practice, & Policy, 9, 2, 47–59. link
 

Jegyzet elhelyezéséhez, kérjük, lépj be.!

URL1: Eurostat, (letöltés: 2016. 11. 03.)
43 A tanulmányban az anyagáram-elemzés egy input-oldali és egy felhasználási mutatóját alkalmazzuk majd. A nemzetgazdasági szintű anyagáram-számlák egyik fő, a legátfogóbb beviteli mutatója a teljes anyagszükséglet (total material requirement, TMR) mutató, amely valamennyi beviteli áramlást tartalmazza: a hazai kitermelés, a behozatal és a fel nem használt hazai kitermelés összegeként számítható. A hazai anyagfelhasználás indikátora a DMC (domestic material consumption) a nemzetgazdaságban felhasznált összes anyagot tartalmazza a közvetett áramlások nélkül (lásd Karcagi-Kováts–Kuti, 2012).
Tartalomjegyzék navigate_next
Keresés a kiadványban navigate_next

A kereséshez, kérjük, lépj be!
Könyvjelzőim navigate_next
A könyvjelzők használatához
be kell jelentkezned.
Jegyzeteim navigate_next
Jegyzetek létrehozásához
be kell jelentkezned.
    Kiemeléseim navigate_next
    Mutasd a szövegben:
    Szűrés:

    Kiemelések létrehozásához
    MeRSZ+ előfizetés szükséges.
      Útmutató elindítása
      delete
      Kivonat
      fullscreenclose
      printsave