A szolgáltatásmarketing alapkönyve
A kapacitások tervezése
- Gyakori térbeli kapacitáselosztási probléma a férőhelyek elosztása különböző kategóriájú szegmensek között. Képzeljük el a következő vállalati döntési helyzetet:Az Air Antarktisz északi-sarki járatán közlekedő Boeing 747-es helyelosztási terve az alábbi:Fókaosztály18 helyPingvinosztály8 hely68 helyEszkimóosztály322 helyA jegyirodáktól beszerzett keresleti információ alapján 70,6% az eszkimó- és 25,7% a pingvinosztály iránti igény. Vizsgáljuk meg, hogy megfelelő-e az utastér beosztása!Az összes elosztandó férőhely 18 + 68 + 322 = 408, és a fókaszegmens várható keresletét a másik két szegmensre vonatkozó információ alapján tudjuk számítani.379Próbastatisztikánk:minden szokásos α mellett és ν = 3–1 = 2 szabadsági fok esetére.380 Ebből az következik, hogy az eredeti ülésterv módosítása megfontolandó.
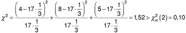
- A szolgáltatókapacitás időbeli elosztása többnyire a személyzet létszámtervezését jelenti a kapcsolódó tárgyi kapacitások elosztásával együtt. A személyzet létszámának rugalmasan kell igazodnia a forgalom várható ingadozásához. A napszakok szerinti létszámszükséglet tervezését illusztrálja a következő egyszerű példa:17 megkérdezettből négy válaszolta azt, hogy leggyakrabban reggelizni szokott a Burger Kingben, nyolc fő ebédelni, öt vacsorázni szokott. Ellenőrizzük azt a feltevésünket, hogy a három étkezési időszak látogatottsága közel egyforma lesz!Az egyforma látogatottság azt jelenti, hogy a valószínűségek megegyeznek (pi = 1/3).ν = 2 mellett feltevésünket elutasítjuk, tehát az étkezési időszakok látogatottsága várhatóan nem lesz egyforma.381
Tartalomjegyzék
- A SZOLGÁLTATÁSMARKETING ALAPKÖNYVE
- Impresszum
- A szerzőről
- Előszó
- 1. Szolgáltatásmarketing alapok
- 2. A szolgáltatásmarketing gyakorlata
- 2.1. Marketingmix a szolgáltatáspiacon
- 2.2. A szolgáltatásmarketing kulcsterületei
- 2.2.1. Sztenderdizálás vagy adaptálás?
- 2.2.2. Minőségmenedzsment
- 2.2.3. A fizetés menedzsmentje
- 2.2.4. A franchise
- 2.2.5. Kapacitásmenedzsment
- 2.2.6. A márkamenedzsment
- 2.2.7. A tárgyiasítás
- 2.2.8. Belső marketing
- 2.2.9. Az aktívügyfél-politika
- 2.2.10. Frontvonalmenedzsment
- 2.2.11. Folyamatmenedzsment
- 2.2.12. Panaszszituáció-menedzsment
- 2.3. Új tendenciák a szolgáltatások hazai és nemzetközi piacain
- 3. Piackutatás a szolgáltató szektorban
- 3.1. Elégedettségkutatás (minőségértékítélet-kutatás)
- 3.2. Forgalomkutatás
- 3.3. Telephelykutatás
- 3.4. Szegmentálás
- 3.5. Reklámkutatás
- 3.6. Médiakutatás
- Ellenőrző kérdések a 3. részhez
- 4. A szolgáltatásmarketing alkalmazási területei
- 4.1. A vevőszolgálat
- 4.2. Kereskedelmi marketing
- 4.3. Turizmusmarketing
- 4.4. Gyorskiszolgáló üzletágak marketingje
- 4.5. Projektmarketing
- 4.6. A tanácsadás
- 4.7. Nonbusiness marketing
- Mit értünk nonbusiness szervezetek alatt?
- A küldetés és a fennálló igények kielégítésének dilemmája
- A közfigyelem, a közérdeklődés
- A piacok szegmentálása, célcsoportok
- A nonbusiness szervezetek kínálata
- A szolgáltatások kínálata
- A gondolatok és ügyek kínálata
- Az árak, a bevételek és a nonbusiness szféra
- Csatornapolitika, elosztás
- Kommunikációs stratégia és menedzsment
- Publicity
- Eseménymarketing
- Ügymarketing (Cause related marketing)
- Társadalmi marketing
- Az emberi tényező biztosítása
- A nonbusiness szolgáltatási folyamatok szervezése
- A küldetés és a fennálló igények kielégítésének dilemmája
- Mit értünk nonbusiness szervezetek alatt?
- 4.8. További alkalmazások
- Záró gondolatok
- Forrásjegyzék
- Az ábrák jegyzéke
Kiadó: Akadémiai Kiadó
Online megjelenés éve: 2017
ISBN: 978 963 059 739 5
Az élesedő versenynek köszönhetően a szolgáltatótevékenység fókuszában az ügyintézés minősége, biztonsága és gyorsasága, a meglévő és a potenciális ügyfélkapcsolatok elmélyítése áll. A szolgáltatásmarketing előtt álló legnagyobb kihívás, hogy képes-e javítani az ügyfelek vásárlásélményét, és hogy hogyan tud alkalmazkodni az új technológiák által átformált játékszabályokhoz. A kihívásokra a válaszok ebben a könyvben keresendők. Veres Zoltán munkáját nemcsak a marketing- és PR-szakemberek forgathatják haszonnal, de kétségkívül minden olyan szolgáltatószektorban tevékenykedő vállalat, intézmény vezetői és munkatársai is, melyeknek eredményességét döntően meghatározza, hogy milyen kép él róluk a fogyasztók fejében. Domonkos András vezérigazgató Lombard Lízing Zrt. „A könyv legnagyobb erénye, hogy teljes képet ad a szolgáltatásmarketing fejlődéstörténetéről, beleértve a legfrissebb eredményeket is. Gazdag forrásanyaga miatt nemcsak a marketingoktatók, hanem a témakör kutatói számára is nélkülözhetetlen olvasmány." Éppen tíz éve, hogy Veres Zoltán könyvének első kiadását ezekkel a gondolatokkal ajánlottam az olvasók figyelmébe. A megújult kötetről ugyanazt tudom mondani, sőt, a bővített és átdolgozott kiadás már a bachelor- és masterképzések kurzusaihoz is külön fejezeteket tartalmaz friss esetekkel és trendkövető fogalomhasználattal. Egyszóval: alapkönyv. Dr. Rekettye Gábor tanszékvezető egyetemi tanár Pécsi Tudományegyetem
Hivatkozás: https://mersz.hu/veres-a-szolgaltatasmarketing-alapkonyve//
BibTeXEndNoteMendeleyZotero
