Statisztikai módszerek és alkalmazásuk a gazdasági és társadalmi elemzésekben - Képletek és táblázatok
4. Heterogén, részekre bontott sokaság elemzése
1. Főátlag | ||
2. Szórásnégyzet (variancia) összetevői | 3. Külső szórásnégyzet | |
4. Belső szórásnégyzet | 5. Szóráshányados | |
6. Összetett intenzitási viszonyszám | ||
7. Összetett intenzitási viszonyszámok különbsége | ||
8. A különbségek közötti összefüggés | ||
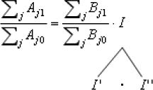
9. Összetett intenzitási viszonyszámok hányadosa | ||
Főátlagindex | ||
Részátlagindex | ||
Összetételhatás index | ||
10. Indexek közötti összefüggés | 11. Az “A” aggregátum változása | |
Tartalomjegyzék
- Képletek és táblázatok a Statisztikai módszerek és alkalmazásuk a gazdasági és társadalmi elemzésekben c. könyvhöz
- Impresszum
- Előszó
- 1. Bevezető fogalmak
- 2. Egyszerű elemzési eszközök
- 3. Empirikus eloszlások elemzése
- 4. Heterogén, részekre bontott sokaság elemzése
- 5. Ár-, volumen- és értékindex-számítás
- 6. A következtető statisztika valószínűségszámítási alapjai
- 7. Mintavétel és becslés
- 8. Hipotézisvizsgálat
- 9. Kétváltozós korreláció- és regressziószámítás
- 10. Többváltozós regresszió- és korrelációszámítás
- 11. Idősorok elemzési módszerei és az előrejelzés
- Táblázatok
Kiadó: Akadémiai Kiadó
Online megjelenés éve: 2017
ISBN: 978 963 059 901 6
BibTeXEndNoteMendeleyZotero