2.3.4. Vowel duration structure
Jegyzet elhelyezéséhez, kérjük, lépj be.!
Hivatkozások
Válaszd ki a számodra megfelelő hivatkozásformátumot:
Harvard
Tóth József (szerk.) (2025): Nyelv, kultúra, megértés: új kutatási irányok a humán tudományok területén. : Akadémiai Kiadó – Pannon Egyetemi Kiadó.
https://doi.org/10.1556/9789636641009 Letöltve: https://mersz.hu/dokumentum/m1274nykmukihtt__17/#m1274nykmukihtt_15_p1 (2026. 04. 09.)
Chicago
Tóth József, szerk. 2025. Nyelv, kultúra, megértés: új kutatási irányok a humán tudományok területén. : Akadémiai Kiadó – Pannon Egyetemi Kiadó. https://doi.org/10.1556/9789636641009 (Letöltve: 2026. 04. 09. https://mersz.hu/dokumentum/m1274nykmukihtt__17/#m1274nykmukihtt_15_p1)
APA
Tóth J. (szerk.) (2025). Nyelv, kultúra, megértés: új kutatási irányok a humán tudományok területén. Akadémiai Kiadó – Pannon Egyetemi Kiadó. https://doi.org/10.1556/9789636641009. (Letöltve: 2026. 04. 09. https://mersz.hu/dokumentum/m1274nykmukihtt__17/#m1274nykmukihtt_15_p1)
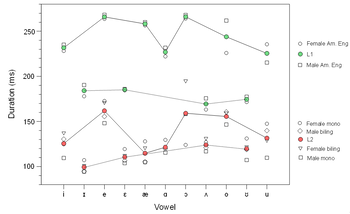
Although there would appear to be substantial lack of spectral contrast (i.e., lack of contrast in vowel quality) between the AE vowel types within the EFL clusters identified above, some vowel pairs may still be distinguishable on the basis of duration differences. The durations of the eleven AE vowels as produced by the three groups of speakers (i.e., monolingual and bilingual EFL learners as well as American L1 speakers) are presented in Figure 5, separately for male and female talkers.
Jegyzet elhelyezéséhez, kérjük, lépj be.!
Hivatkozások
Válaszd ki a számodra megfelelő hivatkozásformátumot:
Harvard
Tóth József (szerk.) (2025): Nyelv, kultúra, megértés: új kutatási irányok a humán tudományok területén. : Akadémiai Kiadó – Pannon Egyetemi Kiadó.
https://doi.org/10.1556/9789636641009 Letöltve: https://mersz.hu/dokumentum/m1274nykmukihtt__17/#m1274nykmukihtt_fig_6 (2026. 04. 09.)
Chicago
Tóth József, szerk. 2025. Nyelv, kultúra, megértés: új kutatási irányok a humán tudományok területén. : Akadémiai Kiadó – Pannon Egyetemi Kiadó. https://doi.org/10.1556/9789636641009 (Letöltve: 2026. 04. 09. https://mersz.hu/dokumentum/m1274nykmukihtt__17/#m1274nykmukihtt_fig_6)
APA
Tóth J. (szerk.) (2025). Nyelv, kultúra, megértés: új kutatási irányok a humán tudományok területén. Akadémiai Kiadó – Pannon Egyetemi Kiadó. https://doi.org/10.1556/9789636641009. (Letöltve: 2026. 04. 09. https://mersz.hu/dokumentum/m1274nykmukihtt__17/#m1274nykmukihtt_fig_6)
Figure 5. Duration (ms) of American English vowels, produced in /hVd/ words. Speakers are L1 American English (10 male, 10 female), monolingual Persian (10 male, 11 female) or early bilingual Azerbaijani/Persian (11 male, 13 female). The filled markers represent the means of the L1 or L2 speaker groups. The seven long/tense vowels are joined by a solid line, the four short/lax vowels by a dotted line.
Jegyzet elhelyezéséhez, kérjük, lépj be.!
Hivatkozások
Válaszd ki a számodra megfelelő hivatkozásformátumot:
Harvard
Tóth József (szerk.) (2025): Nyelv, kultúra, megértés: új kutatási irányok a humán tudományok területén. : Akadémiai Kiadó – Pannon Egyetemi Kiadó.
https://doi.org/10.1556/9789636641009 Letöltve: https://mersz.hu/dokumentum/m1274nykmukihtt__17/#m1274nykmukihtt_15_p4 (2026. 04. 09.)
Chicago
Tóth József, szerk. 2025. Nyelv, kultúra, megértés: új kutatási irányok a humán tudományok területén. : Akadémiai Kiadó – Pannon Egyetemi Kiadó. https://doi.org/10.1556/9789636641009 (Letöltve: 2026. 04. 09. https://mersz.hu/dokumentum/m1274nykmukihtt__17/#m1274nykmukihtt_15_p4)
APA
Tóth J. (szerk.) (2025). Nyelv, kultúra, megértés: új kutatási irányok a humán tudományok területén. Akadémiai Kiadó – Pannon Egyetemi Kiadó. https://doi.org/10.1556/9789636641009. (Letöltve: 2026. 04. 09. https://mersz.hu/dokumentum/m1274nykmukihtt__17/#m1274nykmukihtt_15_p4)
Figure 5 shows, first of all, that the L1 speakers have much longer vowel durations overall (170-270 ms) than the L2 EFL speakers (100-170 ms). This is most likely caused by the fact that the L2 speakers fail to apply the English vowel lengthening rule before voiced coda consonants as is done by the L1 native speaker group. If the coda consonant had been /t/ instead of /d/, the L1 vowel durations would have been in the same range as those of the EFL speakers (see Van Heuven, Farran (2022) for a more detailed argumentation). The second observation is that the male and female L1 speakers do not differ systematically in their vowel durations, nor do the four groups of Iranian EFL speakers. Therefore, we will base our remaining observations on the mean vowel durations found for the L1 and L2 groups as a whole. It is clear, then, that the American native speakers have seven long vowels (230-270 ms), which are completely separate from the four short vowels (175-190 ms). This division mirrors what has been reported in the literature on American English (e.g., House, 1961: 1175). The EFL speakers generally produce a clear difference in duration between the long/tense vowels and the short/lax vowels, with approximately the same proportional difference as is seen for the American native speakers. The correlation between the vowel durations in the native and nonnative realizations is r = .690 (p = .009, one-tailed). The reason why the correlation is not better is that the EFL speakers treat two of the AE long/tense vowels as short. These are the open vowels /æ, ɑ/, which are in the same duration range as the four lax vowels (as they are in British English).