Irányítási rendszerek elmélete és tervezése II.
Korszerű szabályozási rendszerek
4.7.2. A tranziensekre vonatkozó korlátozások
- A kimenő jelnek egy előírt sávban kell maradnia. Ez az eset programszabályozás esetén tipikus, amikor az előírt sávot yL(t) és yH(t) határozza meg. Legyen YL: =(yL(t + 1)T, ···, yL(t + N)T)T és YH: = (yH(t + 1)T, ···, yH(t + N)T)T, akkor a sávban maradás feltételei a következők:
- Túllövés-mentes tranziens szükséges (a kimenő jelnek alapjelváltás után aperiodikusnak kell maradnia). Ez az eset pl. robotikai alkalmazások esetén tipikus, amikor el kell kerülni az ütközést a munkaasztallal vagy az azon lévő tárggyal. Legyen a tartomány N1, N2, ahol a feltételt biztosítani kell, akkor pozitív alapjelugrást és utána tartósan konstans alapjelet feltételezve teljesülnie kell, hogy y(t + k) ≤ r(t), ahonnan következik
- Monoton tranziens szükséges (a kimenő jelnek pozitív alapjelugrás után monoton növekednie, negatív alapjelugrás után pedig monoton csökkennie kell). Ez a követelmény az oszcilláció elleni védekezés eszköze lehet, ha a szakasz modelljének perturbációja várható. Ekkor pozitív alapjelugrást és utána tartósan konstans alapjelet feltételezve teljesülnie kell, hogy y(t + k + 1) ≥ y(t + k), ha y(t) < r(t), ami részletesebben azt jelenti, hogyEzért a monotonitási korlátozás a következőképp adható meg vektor-egyenlőtlenség alakjában (pozitív alapjelugrás esetén):
- Nem-minimumfázisú jelleg elleni védekezés. Ha egy rendszer kimenő jele pozitív alapjelugrás esetén előbb csökkenni kezd, és csak később kezd el növekedni, akkor a rendszer viselkedése nem-minimumfázisú jellegű. Ezt úgy lehet megakadályozni, ha pl. pozitív alapjelugrást, azaz y(t) < r(t) esetet feltételezve megköveteljük, hogy y(t + k + 1) > y(t), ahonnan következik
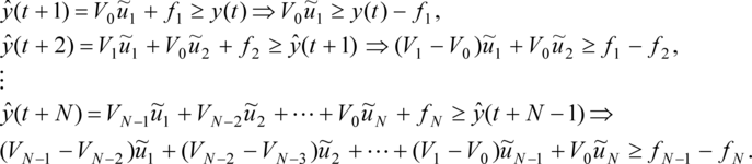
- Beavatkozó szerv holtjátékának kompenzálása. A holtjáték (dead zone) tartományában a beavatkozó szerv nulla kimenő jelet ad. Ha a holtjátékot a sebességre és a kimenetre is vonatkoztatjuk, és tartományaikat rendre ΔudL, ΔudH, udL, udH definiálja, akkor a holtjáték kiküszöbölésére a következő feltételek teljesülését kell garantálni:Ezeknek a feltételeknek a kiértékelése azonban bonyolult a megkülönböztetendő esetek miatt. Az optimalizálási feladat elveszíti konvex jellegét, ezért az optimum meghatározására ebben az esetben elsősorban az evolúciós technikák (genetikus algoritmus stb.) javasolhatók. A továbbiakban ezzel a korlátozási típussal nem foglalkozunk.
- A végállapot feltétel biztosítása. Ebben az esetben megköveteljük, hogy az Ny költséghorizont után még n ütemig a kimenet jósolt értéke kövesse a referencia jel jósolt étékét. Legyen yn = (y(t + Ny + 1)T, …, y(t + Ny + n)T)T, akkor a cél yn = Vũ + fn ≔ rn. Ekkor az eddigiekkel szemben egyenlőség típusú korlátozást kapunk:
Tartalomjegyzék
- IRÁNYÍTÁSI RENDSZEREK ELMÉLETE ÉS TERVEZÉSE II. KORSZERŰ SZABÁLYOZÁSI RENDSZEREK
- Impresszum
- Előszó
- JELÖLÉSEK
- KORSZERŰ SZABÁLYOZÁSI RENDSZEREK
- 1. BEVEZETÉS
- 2. DINAMIKUS MODELL FELÁLLÍTÁSA FIZIKAI ELVEK ALAPJÁN
- 3. SZTOCHASZTIKUS IRÁNYÍTÁSOK FREKVENCIATARTOMÁNYBAN
- 4. PREDIKTÍV IRÁNYÍTÁS FREKVENCIATARTOMÁNYBAN
- 5. TÖBBVÁLTOZÓS RENDSZEREK IRÁNYÍTÁSA ÁLLAPOTTÉRBEN
- 6. TÖBBVÁLTOZÓS RENDSZEREK SZÉTCSATOLÁSA
- 6.1. A szétcsatolhatóság feltétele
- 6.2. Integrátor értelemben szétcsatolt rendszer
- 6.3. Kanonikusan szétcsatolt rendszer
- 6.4. Kanonikusan szétcsatolt rendszer kompenzálása
- 6.5. A szétcsatolási feltételek biztosítása soros kompenzálással
- 6.6. Párhuzamos dinamikus kompenzálás instabil szétcsatolási zérusok esetén
- 6.1. A szétcsatolhatóság feltétele
- 7. MIMO DISZKRÉTIDEJŰ OPTIMÁLIS LQ ÉS LQG IRÁNYÍTÁS
- 7.1. Időben változó rendszer LQ optimális irányítása
- 7.2. Időinvariáns rendszer LQ optimális irányítása
- 7.3. Az optimalizálási kritérium diszkretizálása
- 7.4. Aktuális Kalman-szűrő időben változó rendszer esetén
- 7.5. Aktuális Kalman-szűrő időinvariáns rendszer esetén
- 7.6. Optimális LQG irányítás
- 7.7. A Kalman-szűrő általánosítási lehetőségei
- 7.1. Időben változó rendszer LQ optimális irányítása
- 8. PREDIKTÍV IRÁNYÍTÁS ÁLLAPOTTÉRBEN
- 9. ADAPTÍV IRÁNYÍTÁSOK
- 10. OPTIMÁLIS IRÁNYÍTÁSOK ELMÉLETE
- 11. NEMLINEÁRIS IRÁNYÍTÁSOK ELMÉLETE
- 12. NEMLINEÁRIS IRÁNYÍTÁSOK TERVEZÉSE
- FÜGGELÉK
- A F1. FIZIKAI RENDSZEREK KINEMATIKAI ÉS DINAMIKAI ALAPJAI
- B F2. POLINOM - ÉS RACIONÁLIS MÁTRIXOK FAKTORIZÁCIÓJA
- C F3. KVADRATIKUS PROGRAMOZÁSI ALGORITMUSOK
- F3.1 Aktív halmaz módszerek
- F3.1.1 Egyenlőség alakjában adott korlátozások
- F3.1.2 Egyenlőtlenség alakjában adott korlátozások
- F3.1.3 Kezdeti megvalósítható pont meghatározása
- F3.1.4 Az aktív halmaz módszeren és a megvalósítható irányokon alapuló QP algoritmus.
- F3.1.5 Általános nemlineáris programozási feladat (NLP)
- F3.1.6 Az Optimization Toolbox főbb szolgáltatásai
- F3.1.1 Egyenlőség alakjában adott korlátozások
- F3.2 A kvadratikus programozási feladat visszavezetése lineáris komplementer problémára (LCP)
- F3.1 Aktív halmaz módszerek
- D F4. A FUNKCIONÁLANALÍZIS ALAPJAI
- IRODALOMJEGYZÉK
Kiadó: Akadémiai Kiadó
Online megjelenés éve: 2016
ISBN: 978 963 059 849 1
Az irányítástechnika (az automatikus szabályozások és vezérlések tudománya) rohamosan fejlődik, eredményei nélkül ma már nem hozhatók létre biztonságos erőművi rendszerek, robotizált gyártórendszereknek, repülőgépek és űrtechnikai berendezések. A három kötetre tervezett sorozat eme második kötete az irányítástechnika korszerű irányzatait mutatja be. Szerves folytatása az első kötetnek, amely általános rendszertechnikai ismereteket adott és bemutatta az egyváltozós szabályozások tervezési módszereit. Segítséget nyújt a tervezői rendszerek használatához, amelyek korszerű ismereteket igényelnek a szakembertől. A kötet többváltozós (MIMO) rendszerek irányítási módszereit vizsgálja. Először az irányítástechnikai gyakorlatban fontos szerepet játszó robotok, repülők és helikopterek modelljeinek felállítását mutatja be egységes elvek alapján. Algoritmusokat ad a sztochasztikus (MVC, LQG) optimális irányítások tervezésére frekvenciatartományban. A prediktív irányítások tervezésére frekvenciatartománybeli és állapottérbeli módszereket mutat be, különös figyelmet fordítva a numerikus kérdésekre. Bemutatja a MIMO rendszerek Luenberger-féle normálalakjait. Módszert ad a pólusáthelyezésre, a minimálisrendű állapotmegfigyelő tervezésére, az állapot-visszacsatolás különféle közelítéseire (kimeneti visszacsatolás, projektív irányítás, általánosított PID szabályozás) és a többváltozós rendszer stabil szétcsatolására. Bemutatja az LQ optimális irányítást, a sztochasztikus állapotbecslést Kalman-szűrővel és az LQG optimális irányítás szeparációs elvét. Külön fejezet foglalkozik az adaptív irányítások elméleti alapjaival (bemenet-kimenet stabilitás, passzivitás), a különféle adaptív irányítási módszerekkel (MRAC, STAC), a robotok identifikációjával és a MIMO implicit adaptív irányítással. A kötet részletesen tárgyalja az optimális irányítások elméletének legfontosabb eredményeit skalárkritérium és nem skalárértékű kritérium esetén általános függvényterekben. Az eredményeket példák illusztrálják az optimális irányítás, állapotbecslés és halmazkritériumú optimalizálás területéről. A kötet egyik súlyponti része a nemlineáris rendszerek differenciálgeometriai (Lie-algebrai) elven történő irányításának vizsgálata. A differenciálgeometriai alapozás után először megadja az elérhetőség és a megfigyelhetőség általánosítását nemlineáris rendszerekre, majd az állapot-visszacsatolás elvén és a bemenet-kimenet visszacsatolás elvén alapuló linearizálási módszereket. Külön vizsgálja a differenciálisan sima rendszerek irányítását (flatness control), a visszalépéses (backstepping) technikát és az időinvariáns nemlineáris irányítást, amelyek alkalmazását hajódaru, helikopter és mobilis robot irányítása példáján mutatja be. A kötet jól hasznosítható az egyetemi szabályozástechnikai szakirányú és PhD képzésben, és rendszertechnikailag megalapozza a sorozat további kötetét (III. Robusztus, LPV és Soft Computing módszerek).
Hivatkozás: https://mersz.hu/lantos-iranyitasi-rendszerek-elmelete-es-tervezese-ii//
BibTeXEndNoteMendeleyZotero