Farkas Richárd

Bevezetés a térökonometriába


A globális Moran-féle I mutató

A globális Moran-féle I mutató (Global Moran’s I) a leggyakrabban használt globális térbeli kapcsolat indikátor,1 mely ezt a sztochasztikus összefüggést a következő formulával igyekszik megragadni:
 
(3.4.)
 
ahol a térbeli megfigyelési egységek száma, és a megfigyelt ismérv változatai a különböző területi egységeken, pedig a térbeli súlymátrix -edik és -edik területi egységet összekötő megfelelő eleme. Amennyiben a térbeli súlymátrix sorstandardizált, akkor . Ebből kiindulva, a (3.4.) jobb oldali szorzatának első törtjét a szakirodalom olykor normalizáló faktornak is szokta nevezni, hiszen akkor hivatott korrigálni a szorzat második törtjének értékét, ha az alkalmazott súlymátrix nem sorstandardizált.
Jól látható, hogy a képlet nagyon hasonló a térbeliséget nem tartalmazó tapasztalati korrelációs együttható számításának módjához. Tulajdonképpen kis túlzással kezelhetjük a tapasztalati korrelációs együttható térbeli kiterjesztésének azzal, hogy ebben az esetben nem két változó megfigyelt értékeinek együtt mozgását mérjük, hanem egy változó értékeiben észlelhető térbeli koncentrálódásnak vagy éppen nem koncentrálódásnak a jelenlétét. A kapott érték értelmezése is hasonlónak tűnik a korrelációs együtthatóéhoz, mivel tulajdonságaik több szempontból is hasonlók, továbbá a globális Moran-féle I mutató értékei is és közé esnek, azonban a szélsőértékek abszolút értékei a gyakorlatban jellemzően kisebbek egynél. Természetszerűleg különbségek is adódnak a két mutató között. Példának okáért talán a legfontosabb különbség, hogy bár értelmezésük hasonló, annak határa különböző. A korrelációs együttható esetén pozitív korrelációról akkor beszélhetünk, ha a korrelációs együttható értéke szignifikánsan nagyobb nullánál. Negatív korrelációról pedig akkor, ha értéke szignifikánsan kisebb nullánál. Értelemszerűen, hiszen a nullhipotézis alatt a vizsgált változók között nincs sztochasztikus kapcsolat, így . Ettől különbözően, azonban természetszerűleg azonos elven, pozitív térbeli autokorrelációról beszélhetünk, ha a globális Moran-féle I mutató értéke szignifikánsan magasabb a (3.5.) hipotézisrendszer nullhipotézise alatti várható értékénél, melyet (3.6.) egyenlet ad meg, és negatívról, ha szignifikánsan alacsonyabb annál. A differencia a korrelációs együtthatóval kapcsolatban abból adódik, hogy a globális Moran-féle I mutató várható értéke különbözik nullától, ahogy azt a következő bekezdésekben látni fogjuk.
A globális Moran-féle I mutató segítségével tesztelhetjük is a térbeli autokorreláció jelenlétét. A tesztelendő hipotézis ekkor:
 
(3.5.)
 
A hipotézisrendszer szerint a nullhipotézis alatt értékek független azonos eloszlást követnek, és nincs jelen térbeli autokorreláció. Ekkor aszimptotikusan normális eloszlást követ
 
(3.6.)
 
várható értékkel és
 
(3.7)
 
varianciával. Nyilvánvalóan, a hipotézis elutasítása esetén térbeli autokorreláció jelenlétére következtethetünk. A nullhipotézis alatti várható értéknél szignifikánsan magasabb Moran-féle I érték pozitív, míg szignifikánsan alacsonyabb negatív térbeli autokorrelációt jelez.
Amennyiben a megfigyelési egységek száma elég magas, a centrális határeloszlás tételének értelmében jó közelítéssel normál eloszlást fog követni, így a (3.5.) hipotézisrendszer tesztelhető a következő próbafüggvénnyel:
 
(3.8)
 
Sok esetben sajnálatosan valamilyen oknál fogva a normál, illetve a (3.8.) próbafüggvény előállítása utáni standard normális eloszlás alkalmazhatósági feltételei sérülnek. Ekkor alternatív lehetőségként a hipotézis-ellenőrzés elvégzésére permutációs eljáráshoz folyamodhatunk. Ez esetben tulajdonképpen a megfigyelési értékeket véletlenszerűen rendeljük a különböző területi egységekhez, majd kiszámítjuk e hozzárendelés után a globális Moran-féle I mutatót, melyet egy permutációnak tekintünk. E permutációt egymás után sokszor megismételve rendelkezésünkre fog állni egy tapasztalati eloszlása I-nek a nullhipotézis alatti térbeli függetlenséghez, hiszen random módon rendeljük a különböző megfigyelt értékeket a különböző térbeli egységekhez. Ezen eloszlást fogjuk a referenciaeloszlásnak tekinteni. Természetszerűleg adódik, hogy ekkor a szokásos p értéket nem tudjuk kiszámítani elméleti eloszlás hiányában. Így egy úgynevezett pszeudo p értéket kalkulálhatunk a következő összefüggés segítségével:
 
(3.9.)
 
ahol annak a száma, ahány esetben a permutációk során vagy a megfigyelt I értékkel megegyező vagy annál extrémebb értéket kapunk (várható értéknél nagyobb megfigyelt I esetén -hez közelebbit, várható értéknél kisebb megfigyelt I esetén -hez közelebbit), míg M a permutációk száma. Kiemelten fontos, hogy ez esetben a pszeudo p érték egy összegző mutató a referenciaeloszláshoz képest, és nem értelmezhető p értékként, csupán egy informális indikátorként a térbeli autokorreláció jelenlétével kapcsolatban.
Fontos továbbá megjegyezni, hogy a globális Moran-féle I mutató jól detektálja ugyan a térbeli kapcsolatokat, arra azonban alkalmatlan, hogy meghatározza azt, hogy térbeli függőség vagy térbeli heterogenitás figyelhető-e meg az adatokban. Hasonlóan, a térbeli heterogenitás lehetőségének elvetése mellett arra is alkalmatlan, hogy a térbeli függőség esetén indukálja azt, hogy az vajon a függő változó vagy a mérési hiba oldaláról származik-e. Már itt fontos megjegyeznünk, hogy ez az állítás minden, a későbbiekben bemutatott térstatisztikára is igaz.
A 3.3. ábra Magyarországon az egy pedagógusra jutó tanulók számát mutatja be az alapfokú oktatásban, megyei szinten Budapestet is ideértve, tercilisek szerint osztályozva. Jól látható, hogy ránézésre valamilyen térbeli koncentrálódást érzékelhetünk. Az ország északabbra fekvő megyéiben magasabbnak tűnik az egy pedagógusra jutó tanulók száma, mint a keleti és déli megyékben. Egy kivétel mellett persze, de még ebben is tudunk disztingválni, mert a középső harmadba eső megyék jellemzően keleten, míg az alsó harmadba esők délen vannak.
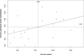
Amennyiben kiszámítjuk a globális Moran-féle I mutatót erre az ismérvre királynő típusú térbeli súlymátrixot alkalmazva, az eredmény lesz. Behelyettesítve szintén az analitikusan levezetett várható érték és variancia képletbe, , míg értékeket veszik fel ebben az esetben. Ezekből a mutatókból könnyen kalkulálható a (3.5.) hipotézisrendszer teszteléséhez szükséges próbafüggvény értéke, mely , és az ehhez tartozó p érték pedig . Ennek alapján 5%-os szignifikanciaszint mellett az adatok pozitívan autokorreláltak térben. Megjegyzendő, hogy a példa illusztratív, hiszen a húsz darab megfigyelés nem elegendő ahhoz, hogy a standard normális eloszlás bátran alkalmazható legyen. A globális Moran-féle I mutató esetén, főként szemléltetés céljából, szokás egy Moran-féle pontdiagramot is készíteni, melyet a 3.4. ábra mutat be. Az egyes pontok helyzete e pontdiagramon úgy határozódik meg, hogy a vízszintes tengelyen az egyes megfigyelt értékeket, míg a függőlegesen a hozzájuk tartozó térben késleltetett értéket mérjük.
 
3.3. ábra. Az egy pedagógusra jutó tanulók száma az alapfokú oktatásban, megyei bontásban, tercilisek szerint.
Forrás: Saját szerkesztés KSH-adatok alapján
 
A szaggatott vízszintes és függőleges vonalak az értékek átlagát jelzik, míg a diagram tartalmaz egy egyszerű lineáris regressziós egyenest is, indikálva a kapcsolat milyenségét a változó és annak térbeli késleltetése között. Látható, hogy a pontok a diagram bal alsó és jobb felső sarkában koncentrálódnak. Eszerint többnyire a megfigyelt értékeket az átlaghoz viszonyítva hasonló értékek veszik körül. A bal alsó szegmens reprezentálja azt az esetet, amikor az átlag alatti értékhez tartozó térben késleltetett érték sem éri el az átlagot. A jobb felső pedig azt, amikor az átlag feletti értékhez tartozó térben késleltetett érték is átlag feletti. Mivel e kettő téglalapban koncentrálódnak a pontok, ez alapján is pozitív térbeli autokorrelációt vélelmezhetünk. Amennyiben negatív térbeli autokorrelációt figyelhetnénk meg, pont a másik két, a bal felső és jobb alsó síknegyedben sűrűsödnének a diagram pontjai. A bal felső téglalap tartalmazza ugyanis azokat az eseteket, amikor a megfigyelt érték átlag alatti, miközben a hozzá tartozó térben késleltetett érték átlag feletti. A jobb alsó téglalap pedig azokat, amelyek esetén a megfigyelt érték átlag feletti, azonban a hozzá tartozó térben késleltetett érték átlag alatti.
 
3.4. ábra. A 3.3. ábra adataihoz tartozó Moran-féle pontdiagram
Forrás: Saját szerkesztés
 
1 A mutatót Moran (1950) fejlesztette ki, és ebben az alfejezetben Moraga (2024) gondolatmenetét követve mutatom be.

Bevezetés a térökonometriába

Tartalomjegyzék


Kiadó: Akadémiai Kiadó

Online megjelenés éve: 2026

ISBN: 978 963 664 187 0

Napjaink egyik legdinamikusabban fejlődő tudományterülete az empirikus modellezés ökonometriai-módszertani fejlesztése.  E kérdéskörön belül is újnak számító terület a térökonometria, mely célja a megfigyelt adatok között tapasztalható területi kapcsolatok standard modellekbe való beillesztése, ezzel javítva a becslések pontosságát, hatékonyságát. A térbeli kapcsolatok fontosságának felismerése, és azok modellkörbe vonásának igénye egyre erőteljesebben jelenik meg szinte minden tudományterületen, túlmutatva a közgazdasági kutatásokon, mely módszertan alkalmazása hazánkban is egyre szélesebb körben érzékelhető. Ennek megfelelően, jelen monográfia célja kitölteni azt az űrt, melyet e részdiszciplína magyar nyelvű szakirodalmának szinte teljes hiánya teremt. Így e mű igyekszik áttekintést nyújtani a térökonometriai modellezés alapjairól: a térbeli kapcsolatok típusairól, matematikai interpretálhatóságáról és azok ökonometriai modellkörbe vonásának lehetőségeiről. A térbeli kapcsolatok alaptípusainak, az alapvető térökonometriai modelleknek, valamint modellszelekciós mechanizmusoknak, melyek amellett, hogy önmagukban is kiválóan alkalmasak elemzésekre, továbbá a haladó térökonometria bázisát is nyújtják, elméleti bemutatása mellett a szerző minden esetben igyekezett empirikus példákkal illusztrálni az elméleti modellek gyakorlati interpretálhatóságát.

Hivatkozás: https://mersz.hu/farkas-bevezetes-a-terokonometriaba//

BibTeXEndNoteMendeleyZotero

Kivonat
fullscreenclose
printsave