Michelberger Pál (szerk.)

Bizonytalanság és biztonság

Fejezetek a mérnöki kockázatmenedzsmentből


6. Javítható rendszer üzemeltetési folyamatának elemzése

A mérnöki gyakorlat egyik fő része a különböző technikai berendezések és rendszerek üzemeltetése, karbantartása. Az üzemeltetés tágabb értelemben az adott technikai eszköz vagy eszközpark használatának, különböző szintű kiszolgálásának és javításának összetett folyamata. Az üzemeltetés során az üzembentartók (az alkalmazó szervezeti egységek) használják (üzemben tartják) tárolják, az üzemfenntartás keretében kiszolgálják, karbantartják, javítják a technikai eszközöket. Más megfogalmazásban egy technikai eszköz üzemeltetése az eszközzel vagy annak valamely rendszerével, berendezésével a gyártás és a kiselejtezés között történtek összessége. Ez a folyamat matematikai szempontból utóhatásmentes sztochasztikus, azaz Markov-folyamatnak tekinthető. Egy technikai rendszer üzemeltetési folyamatának sztochasztikus matematikai modellje felhasználható a vizsgált üzemeltetési rendszer szimulációs elemzésére (Pokorádi, 2008).
Úgynevezett beállt üzemeltetési folyamatot tapasztalhatunk a bejáratási és a kiöregedési szakaszok között, amikor nem lép fel jelentős változás az üzemeltetési körülményekben. Az ilyen folyamatokat stacioner Markov-folyamattal tudjuk matematikailag modellezni (Pokorádi, 2016).
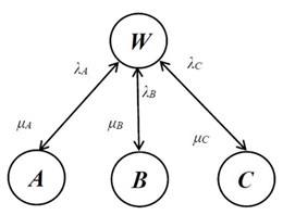
Esettanulmányunkban egy nagy méretű technikai rendszeren belül tömegesen alkalmazott berendezések üzemeltetése során három (A; B; C) eltérő típusú – egy-egy részegységhez kötődő – meghibásodást tapasztaltak. Mivel a vizsgálat alapvetően a végfelhasználó szempontjából történik, a javítás időigényét az úgynevezett átlagos javítási-megfordulási idővel (Mean Repair-Turnaround Time – MRTT) jellemeztem.
 
V.14. ábra. Az üzemeltetési folyamat gráfmodellje (W – rendelkezésre állás; A – A típusú meghibásodás javítása; B – B típusú meghibásodás javítása; C – C típusú meghibásodás javítása)
 
A meghibásodások és a javításaik főbb statisztikai adatait az V.6. táblázat tartalmazza. A folyamatot az V.14. ábra súlyozott élű, irányított gráffal szemlélteti, ahol az élek súlyát az állapotváltási valószínűségsűrűségek (meghibásodási, illetve javítási-megfordulási ráták) adják meg.
 
V.6. táblázat. Mérési adatok statisztikai elemzésének eredményei
Meghibásodás
A
B
C
Esetszám
39
49
50
Meghibásodások közti átlagidő MTTF [óra]
38710,3
37014,7
28265,7
Min. meghibásodási idő [óra]
33397,50
31459,09
25274,76
Max. meghibásodási idő [óra]
44023,03
42570,04
31261,46
Meghibásodási idők szórása [óra]
1770,9
163,70
1081,80
Javítási-megfordulási átlagidő MTTR [óra]
1092,20
163,70
1081,80
Min. javítási-megfordulási idő [óra]
1033,94
100,61
1028,46
Max. javítási-megfordulási idő [óra]
1150,46
226,79
1135,14
Javítási-megfordulási idők szórása [óra]
19,42
20,03
17,78
 
A folyamatot leíró differenciál-egyenletrendszer – mely az állapotokban való tartózkodások valószínűségeinek időbeni változását írja le – az alábbi módon adható meg:
 
(V.6.1.)
 
Mivel a vizsgált folyamatot beálltnak – azaz időben változatlannak – tekinthetjük, így az állapotokban való tartózkodási valószínűségek idő szerinti deriváltjainak zérusnak kell lenniük, azaz:
 
(V.6.2.)
 
A megoldás további feltétele az is, hogy
 
(V.6.3.)
 
amely azt fejezi ki, hogy az üzemeltetés tárgya csak a fenti öt állapot (melyek esetünkben a teljes eseményteret alkotják) valamelyikében tartózkodhat. Ekkor az (V.6.1)–(V.6.3) egyenletek alapján a vizsgált állandósult üzemeltetései folyamat sztochasztikus (úgynevezett mag-) modellje az alábbi mátrixalakban írható fel:
 
(V.6.4.)
 
ami bármely lineáris egyenletrendszer-megoldó módszerrel az alapmodell triviálistól eltérő megoldását adja.
A rendelkezésre álló adatok viszonylag kis száma miatt az illeszkedés jóságának vizsgálatát mellőzzük, és az általános mérnöki gyakorlatot követve feltételezzük, hogy a mért paraméterek normál (Gauss) valószínűségi eloszlásúak. A statisztikai adatokat alkalmazva futtatjuk le a fentiekben leírt sztochasztikus modellt, azaz oldjuk meg a (V.6.4) mátrixegyenletet. Tapasztalatunk szerint (lásd még az 5. fejezetet) a választott 1 000 000-s gerjesztésszám megfelelő pontosságú adatot szolgáltat, így korrekt szakmai következtetéseket vonhatunk le a kapott futtatási eredményekből. A szimulációs eredmények hisztogramjai az V.15. ábrán, az állapotokban való tartózkodási valószínűségek várható értékei és szórásai az V.7. táblázatban láthatók.
 
V.15. ábra. Az állapotokban való tartózkodási valószínűségek hisztogramjai
 
V.7. táblázat. A szimuláció elsődleges eredményei (gerjesztésszám: 1 000 000)
gÁllapot i
W
A
B
C
Várható érték mi
9,9844 10–1
4,9016 10–3
4,3981 10–3
6,299544 10–3
Szórás si
1,0282 10–3
5,4188 10–4
5,994 10–4
6,5563 10–4
 
Vizsgálatunkat alapvetően az üzemeltető szempontjából végeztük el. Így az egyik legfontosabb kérdés a tartalék berendezések szükséges számának (RNSP – Required Number of Spare Part) ismerete. Egy berendezés adott PRNS-előírt rendelkezésre állási valószínűségének ismeretében az NRNS-szükséges tartalék berendezések számának meghatározását az alábbi felső egészrész függvény (Celiling Function) segítségével tudjuk elvégezni:
 
(V.6.5.)
 
ahol:
– a rendszerben működő berendezések száma (a vizsgálat során: N = 5000).
Az előírt rendelkezésre állási valószínűség meghatározása az úgynevezett becslési kockázat ismeretében történik. Ez a becslési kockázat az üzemeltetési, karbantartási folyamat megbízhatóságának elemzésekor azt jelenti, hogy mekkora valószínűséggel engedhető meg, hogy a tartalék berendezés hiánya miatt az adott technikai rendszer rendelkezésre állása nem biztosítható.
Például normál eloszlás alapján 10%-os becslési kockázat (90% üzemeltetési biztonság) esetén:
 
(V.6.6.)
 
Karbantartás-szervezés szempontjából a másik fontos információt nyújtó feladat az adott időszakra várható meghibásodások számának elvárt megbízhatóságú meghatározása. Az elvárt megbízhatóságon azt a valószínűséget értem, hogy a rendelkezésre álló javítási kapacitás a karbantartók rendelkezésére áll a vizsgált időszakban.
 
V.16. ábra. A szükséges tartalék berendezésszámok 5000 működő berendezésszám és különböző becslési kockázat esetén
 
A bekövetkező meghibásodások (javítási állapotban való tartózkodások) NFi száma az:
 
(V.6.7.)
 
felső egészrész függvénnyel (Celiling Function) határozható meg, ahol:
T – a vizsgálati idő hossza (a vizsgálatunk során: 1 naptári év, azaz 8760 óra).
 
V.8. táblázat. A szükséges tartalék berendezés és meghibásodások száma különböző becslési kockázat esetén
 
0,01
0,02
0,05
1
2
5
10
NRNS
24
23
22
20
19
17
15
NFA
263
259
252
247
241
232
224
NFB
1673
1638
1590
1552
1507
1441
1383
NFC
337
331
323
317
309
298
289
 
V.17. ábra. Egy évre tervezhető meghibásodások száma a becslési kockázat függvényében
 
A kapott eredmények alapján kijelenthető, hogy az eljárás alkalmas a karbantartási rendszerek hatékonyságának biztosításához vagy a növeléséhez szükséges döntések támogatására. A szimulációs eredmények felhasználhatók:
  • egy technikai rendszer üzemeltetéséhez szükséges tartalék berendezések,
  • a vizsgálati, tervezési időszak alatt fellépő javítások számának – megfelelő becslési kockázattal, azaz üzemeltetési biztonsággal történő – meghatározására.
 

Bizonytalanság és biztonság

Tartalomjegyzék


Kiadó: Akadémiai Kiadó

Online megjelenés éve: 2026

ISBN: 978 963 664 195 5

A Bizonytalanság és biztonság című tanulmánykötet 6 mérnökvégzettségű, Óbudai Egyetem Bánki Donát Gépész és Biztonságtechnikai Mérnöki Karán dolgozó oktató közös munkája. Karunk gépész-, mechatronikai- és biztonságtechnikai képzésre járó hallgatói képzésük során megismerkednek a kockázatmenedzsment alapjaival, módszertani hátterével, és elsajátítják a kockázatértékeléshez és -kezeléshez szükséges elméleti hátteret. A könyv nem egyetemi tankönyvnek készült, de ott is használható. Fontos célunk volt a 8 tanulmányt tartalmazó kötet közreadásával, hogy a különböző szakterületek képviselői lássák a műszaki beruházási és fejlesztési projektek, az információbiztonság, a minőségbiztosítás, a karbantartás, a munka- és tűzvédelem kockázatmenedzsmentjének néha eltérő, de integrálható sajátosságait.

A gazdálkodó szervezetek életében szükség van egységesen alkalmazott kockázatmenedzsment szabályokra, hiszen a kockázati eseménynek több, eltérő eredetű kiváltó oka és több következménye is lehet. Eltérő skálákon történő értékelésük zavart okozhat kockázatok felismerésében és kezelésében is. A mérnöki kockázatok mellett a szervezeteknél többek között megjelennek stratégiai, piaci és pénzügyi vagy akár biztosítási kockázatok is. A könyv terjedelme nem teszi lehetővé, hogy ezekkel is foglalkozzunk, de fontos felhívni a figyelmet, hogy a kockázatmenedzsment nemcsak a mérnöki feladat…

Hivatkozás: https://mersz.hu/michelberger-bizonytalansag-es-biztonsag//

BibTeXEndNoteMendeleyZotero

Kivonat
fullscreenclose
printsave