Fizika
23.6. A Gibbs-eloszlás
Tartalomjegyzék
- FIZIKA
- Impresszum
- Előszó
- I. Mechanika
- 1. A mozgások leírása (kinematika)
- 2. Dinamika
- 2.1. A dinamika anyagi pontra vonatkozó törvényei
- 2.1.1. A dinamika alapfogalmai. A Newton-törvények
- 2.1.2. Erőtörvények, erőfajták
- 2.1.3. A perdület (impulzusmomentum)
- 2.1.4. A munka
- 2.1.5. A teljesítmény
- 2.1.6. Mechanikai energiák
- 2.1.7. Mozgások dinamikai leírása inerciarendszerhez képest gyorsuló vonatkoztatási rendszerekben. A tehetetlenségi erők
- 2.1.7.1. Az inerciarendszerhez képest egyenes vonalú, egyenletes, tiszta haladó mozgást végző vonatkoztatási rendszer
- 2.1.7.2. Az inerciarendszerhez képest egyenes vonalú, egyenletesen gyorsuló, nem forgó vonatkoztatási rendszer
- 2.1.7.3. Az egy helyben forgó, állandó szögsebességű vonatkoztatási rendszer
- 2.1.7.1. Az inerciarendszerhez képest egyenes vonalú, egyenletes, tiszta haladó mozgást végző vonatkoztatási rendszer
- 2.2. Pontrendszerek dinamikája
- 2.2.1. A pontrendszerek mozgásának leírása mozgásegyenletekkel
- 2.2.2. A pontrendszer impulzusa (lendülete)
- 2.2.3. A tömegközéppont. A tömegközéppont mozgásának tétele
- 2.2.4. Pontrendszer perdülete
- 2.2.5. Pontrendszerekre vonatkozó energetikai tételek
- 2.2.6. A kiterjedt testre ható erők jellemzői. Az erő támadáspontja és hatásvonala. Pontba koncentrált, felületen eloszló és térfogati erők
- 2.2.1. A pontrendszerek mozgásának leírása mozgásegyenletekkel
- 2.3. Merev test mozgásának dinamikája
- 2.4. Speciális problémák a tömegpont és a pontrendszerek mechanikájából
- 2.4.1. A bolygók mozgása. Mozgás pontszerű test gravitációs erőterében
- 2.4.2. Mesterséges holdak és bolygók; rakéták
- 2.4.3. Esés ellenálló közegben
- 2.4.4. Tehetetlenségi erők a forgó Földön
- 2.4.5. A harmonikus rezgőmozgás
- 2.4.6. A matematikai inga
- 2.4.7. A fizikai inga
- 2.4.8. Csavarási vagy torziós inga
- 2.4.9. A csillapodó rezgőmozgás
- 2.4.10. Kényszerrezgés; rezonancia
- 2.4.11. Csatolt rezgések
- 2.4.12. Az egyenletes körmozgás dinamikája
- 2.4.13. Példák kényszermozgásokra
- 2.4.14. Ütközések
- 2.4.15. A pörgettyű
- 2.4.1. A bolygók mozgása. Mozgás pontszerű test gravitációs erőterében
- 2.5. Statika. Egyszerű gépek
- 2.6. A szilárdságtan elemei
- 2.7. Folyadékok és gázok mechanikája
- 2.7.1. Folyadékok és gázok sztatikája (hidro- és aerosztatika)
- 2.7.1.1. Nyugvó folyadék szabad felszíne
- 2.7.1.2. A nyomás. A nyomás terjedése folyadékokban és gázokban. Pascal törvénye
- 2.7.1.3. A hidrosztatikai nyomás
- 2.7.1.4. A közlekedőedények
- 2.7.1.5. A légnyomás
- 2.7.1.6. A Boyle–Mariotte-törvény
- 2.7.1.7. A felhajtóerő. Arkhimédész törvénye
- 2.7.1.8. Alkalmazások
- 2.7.1.1. Nyugvó folyadék szabad felszíne
- 2.7.2. Ideális folyadékok és gázok áramlása
- 2.7.3. Reális folyadékok és gázok
- 2.7.1. Folyadékok és gázok sztatikája (hidro- és aerosztatika)
- 2.8. Hullámmozgás és hangtan
- 2.1. A dinamika anyagi pontra vonatkozó törvényei
- II. Termodinamika
- 3. Alapfogalmak. Az energiamegmaradás törvénye
- 4. Állapotváltozások
- 5. A természeti folyamatok iránya. A termodinamika II. főtétele
- 6. A hő terjedése
- III. Elektrodinamika és optika
- 7. Az időben állandó elektromos mező
- 7.1. Elektrosztatikus mező vákuumban. A forráserősség. Gauss tétele
- 7.2. Potenciál, örvényerősség (cirkuláció)
- 7.3. Vezetők az elektrosztatikus mezőben
- 7.4. Az elektromos mező energiája vákuumban
- 7.5. Az elektromos áram. Ohm törvénye
- 7.6. Egyenáramú hálózatok. Egyszerű és összetett áramkörök
- 8. Az időben állandó mágneses mező
- 9. Az időben változó mágneses mező
- 10. Az időben változó elektromos mező. Az elektromágneses hullámok és a fény
- 10.1. Az eltolási áram. Maxwell törvényeinek rendszere
- 10.2. Gyorsan változó mezők. Elektromágneses hullámok
- 10.3. Az elektromágneses hullámok terjedési tulajdonságai
- 10.4. Az elektromágneses hullámok dinamikai tulajdonságai. A sugárzó anyag
- 10.5. Hullámoptikai jelenségek
- 10.6. Fotometriai alapfogalmak
- 10.7. Gyakorlati alkalmazások
- 10.1. Az eltolási áram. Maxwell törvényeinek rendszere
- 7. Az időben állandó elektromos mező
- IV. Relativitáselmélet
- 11. Előzmények
- 12. A téridő
- 12.1. Térkép a városról, téridő-térkép a mozgásokról
- 12.2. Időmérés
- 12.3. Távolságmérés, koordináta-rendszer
- 12.4. Idődilatáció
- 12.5. A Lorentz-transzformáció
- 12.6. Egyidejűség, egyhelyűség, oksági viszonyok
- 12.7. Lorentz-kontrakció
- 12.8. Relativisztikus sebesség-összetevés
- 12.9. Relativisztikus Doppler-effektus
- 12.10. Ikerparadoxon
- 12.1. Térkép a városról, téridő-térkép a mozgásokról
- 13. Relativisztikus kinematika
- 14. Relativisztikus dinamika
- 14.1. Négyesimpulzus. Relativisztikus ütközések
- 14.2. Relativisztikus impulzus. Nyugalmi tömeg, relativisztikus tömegnövekedés
- 14.3. Relativisztikus energia. Nyugalmi energia, mozgási energia, teljes energia
- 14.4. Az energia-impulzus vektor hossza. Nulla nyugalmi tömegű részecskék
- 14.1. Négyesimpulzus. Relativisztikus ütközések
- 15. Az általános relativitáselmélet alapgondolata
- V. Atomfizika és kvantummechanika
- 16. Az anyag atomos szerkezete
- 17. Atommodellek
- 18. A fény részecsketermészete
- 19. Az anyaghullámok
- 20. Az atomok kvantummechanikai jellemzése
- 21. Kémiai kötések
- VI. Sokrészecske-rendszerek valószínűségi leírása
- 22. A kinetikus gázelmélet
- 22.1. A kinetikus gázmodell
- 22.1.1. A gázok sebességeloszlása
- 22.1.2. Az ideális gáz kinetikus modellje
- 22.1.2.1. Az ideális gáz nyomása
- 22.1.2.2. Az ideális gáz hőmérséklete
- 22.1.2.3. Az ekvipartíciótétel
- 22.1.2.4. A kétatomos molekula szabadsági fokainak száma
- 22.1.2.5. A szabadsági fokok megszámlálása általános esetben
- 22.1.2.6. Az ideális gáz belső energiája és fajhője
- 22.1.2.7. Az ideális gáz belső energiájának kifejezése a nyomás és a térfogat segítségével
- 22.1.2.8. A gáz energiájának megváltozása munkavégzés hatására
- 22.1.2.1. Az ideális gáz nyomása
- 22.1.3. A reális gázok állapotegyenlete
- 22.1.1. A gázok sebességeloszlása
- 22.2. A gázok diffúziója
- 22.3. A gázmolekulák véletlenszerű mozgásának valószínűségi leírása
- 22.1. A kinetikus gázmodell
- 23. Statisztikus fizika
- 23.1. Alapfogalmak
- 23.2. A folyamatok iránya
- 23.3. A termodinamika II. főtétele. Az entrópia
- 23.4. A hőmérséklet statisztikus fizikai értelmezése
- 23.5. Az energia eloszlása állandó hőmérsékletű rendszerben
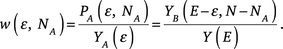
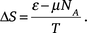
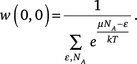
- 23.6. A Gibbs-eloszlás
- 23.7. Az eloszlásfüggvények közötti kapcsolat
- 22. A kinetikus gázelmélet
- VII. Az anyagok szerkezete
- 24. Kristályok
- 25. A kristályos anyagok fizikai tulajdonságainak értelmezése az ideális kristályszerkezet alapján
- 25.1. A kristályok rugalmas tulajdonságai
- 25.2. A kristályok belső energiája
- 25.3. A szilárdtestek hőtágulása
- 25.4. A szilárdtestek elektromos tulajdonságai. A sávszerkezet
- 25.5. Félvezetők
- 25.6. Dielektrikumok
- 25.1. A kristályok rugalmas tulajdonságai
- 26. Az anyagok mágneses tulajdonsága
- 27. A lézer
- 28. Eltérések az ideális kristályszerkezettől. A kristályhibák
- 28.1. Ponthibák
- 28.2. Vonalhiba a kristályban; diszlokáció
- 28.3. Felületi hibák a kristályban
- 28.4. A törés
- 29. A folyadékok szerkezete
- 30. Az óriásmolekulájú anyagok (műanyagok) tulajdonságai
- VIII. Magfizika
- 31. Az atommagok összetétele. A radioaktivitás
- 31.1. A radioaktív sugárzások tulajdonságai és érzékelésük
- 31.2. Az atommag jellemzői
- 31.3. Az atommagok kötési energiája
- 31.4. Az atommagmodellek
- 31.5. A radioaktivitás értelmezése
- 32. Az atomenergia felszabadítása
- 31. Az atommagok összetétele. A radioaktivitás
- IX. Elemi részek és az univerzum
- Melléklet
Kiadó: Akadémiai Kiadó
Online megjelenés éve: 2017
Nyomtatott megjelenés éve: 2009
ISBN: 978 963 454 046 5
A könyv alapmű, az érettségire, felvételire készülő középiskolások, a felsőoktatásban fizikát hallgatók, illetve tanáraik, oktatóik kipróbált segédeszköze. Sikerének titka a legváltozatosabb olvasói rétegek igényeihez szabott letisztult tárgyalásmódja, áttekinthető, arányos szerkezete és bőséges szemléltető ábraanyaga. A szerzők világosan bemutatott axiómákból és alapfogalmakból indulva lépésről lépésre vezetik le a fizikai törvényeket és összefüggéseket.
Az első három főfejezet a klasszikus fizikát (mechanika, termodinamika, elektrodinamika és optika), a továbbiak a modern fizikát (relativitáselmélet, atomfizika és kvantummechanika, sokrészecske-rendszerek leírása, anyagszerkezettan, magfizika, elemi részek és az univerzum) tárgyalják; a tájékozódást név- és tárgymutató segíti. A mostani kiadást a modern gyakorlati alkalmazásokkal foglalkozó, új fejezetek és a teljesen felújított, közel 900 ábrából álló képanyag teszi valóban korszerűvé.
A fizika története egyidős az emberi gondolkodáséval. Az emberiséggel együtt fejlődő tudományág mindennapjainkba régóta beépült eredményeit és izgalmas új felfedezéseit összefoglaló kézikönyvet jó szívvel ajánljuk vizsgára készülőknek, egykori vizsgázóknak, a fizika barátainak és minden természettudományos érdeklődésű olvasónak.
Hivatkozás: https://mersz.hu/holics-fizika//
BibTeXEndNoteMendeleyZotero