Szántay Csaba

Elméleti szerves kémia


Példa

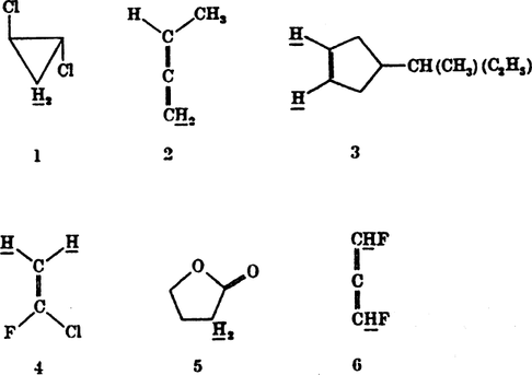
3.1. Állapítsa meg, hogy vajon a következő vegyületek megjelölt hidrogénjei homotóp, enantiotóp vagy diasztereotóp viszonyban vannak-e egymással?

Elméleti szerves kémia

Tartalomjegyzék


Kiadó: Akadémiai Kiadó

Online megjelenés éve: 2016

ISBN: 978 963 059 813 2

A negyedik kiadás néhány alfejezettel bővült, ennek megfelelően a tárgymutató harminc új szakszóval lett gazdagabb. A könyv több új ábrát is tartalmaz. Ugyancsak újdonság a reakciómechanizmusok jelölésére az IUPAC által ajánlott néhány rövidítés ismertetése. A leglényegesebb változást a sztereokémiai terminológiát tartalmazó függelék csatolása jelenti, amely nagymértékben megkönnyíti a gyors tájékozódást ezen a területen.

Hivatkozás: https://mersz.hu/szantay-elmeleti-szerves-kemia//

BibTeXEndNoteMendeleyZotero

Kivonat
fullscreenclose
printsave