Gyógyszeripari technológiák
(Királis vegyületek technológiái)
Tartalomjegyzék
- Gyógyszeripari technológiák (királis vegyületek technológiái) Példatár
- Impresszum
- Bevezető
- Amlodipin
- Amoxicillin
- Ampicillin
- Apremilast
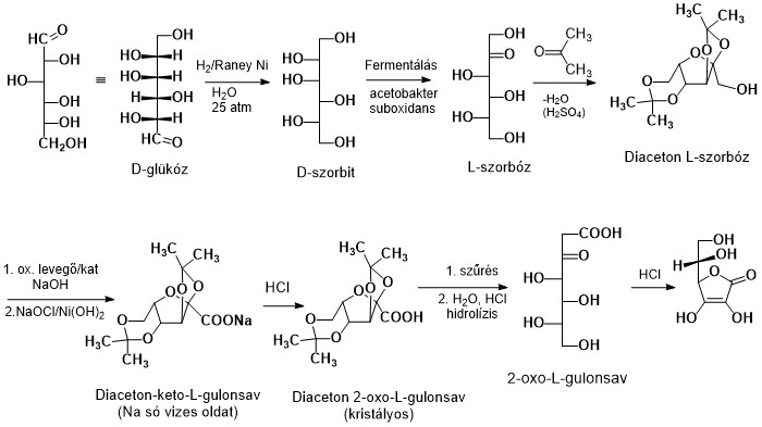
- Aszkorbinsav (C-vitamin)
- Aszpartam
- Bedaquiline
- Bencyclan fumarate (Halidor)
- B6 vitamin (Piridoxin)
- Captopril
- Centedrin
- Cetirizin
- Chloramphenicol (Chlorocid)
- Chlorpromazine (Hibernal)
- Cikloszerin
- Cimetidin
- Citalopram
- (S)-citalopram
- Clopidogrel
- Corontin (Prenylamin)
- Daraprim
- Deseptil
- Dihidroklorotiazid
- Diltiazem
- Diltiazem intermedier
- L-Dopa
- Drotaverin (No-Spa)
- Duloxetin
- Enalapril
- Ethambutol
- Fenilglicinek
- Fluoxetin
- Gabapentin
- Grandaxin (Tofizopam)
- Ibuprofen
- (S)-Ibuprofen
- Indometacin
- INH
- Imipramin (Melipramin)
- Ipriflavon (Osteochin)
- Irbesartan
- Kalcium pantotenát (B5 vitamin)
- Klorocid (Chlorocid) intermedier
- Klorotiazid (Chlorotiazid)
- Levamisol (Tetramisol)
- Levomepromazine maleate (Tizercin)
- Mebendazol
- Metaqualon
- Metildopa
- Nalidixsav
- Naproxen, (S)-Naproxen
- Nitrofurantoin
- Norfloxacin
- Noxiron
- Omeprazol
- (S)-Omeprazol (Esomeprazol)
- Oxazolin-származék
- Papaverin
- PAS
- Pepulsan
- Perindopril
- Pregabalin
- Probon
- Propranolol
- Prosztaglandin intermedier
- Quinoseptil
- Rigecoccin
- Rigenicid
- Risperidone
- Seduxen (Diazepam, Válium)
- Selegilin (Jumex)
- Silodozin
- Sildenafil
- Spironolakton
- Szulfatiazol
- T22 -sav intermedierjének a reszolválása
- Tamsulozin
- Tavegyl (Clemastin)
- Terbinafin
- Tofacitinib
- Tolbutamid
- Tolperizon és származékai
- Trimethoquinol
- Trimetoprim
- Ultraseptyl
- Verapamil
Kiadó: Akadémiai Kiadó
Online megjelenés éve: 2019
ISBN: 978 963 454 409 8
Hivatkozás: https://mersz.hu/gyogyszeripari-technologiak//
BibTeXEndNoteMendeleyZotero
