Matematika
A tangensfüggvény tulajdonságai
- Értékkészlet: a valós számok halmaza.
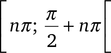
- Zérushelyek: A sin x = 0 trigonometrikus egyenlet megoldásai: x = kπ, ahol k ∈ Z.
- Y-tengelymetszet: y = 0.
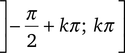
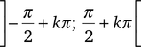
- Paritás: Páratlan, tehát tükrös az origóra, és tg(–x) = –tg x.
- Periodicitás: periodikus, egy periódus hossza π.
- Korlátosság: nem korlátos, nincs sem alsó, sem felső korlátja.
- Szélsőértékek: nincs sem maximuma, sem minimuma.
Tartalomjegyzék
- MATEMATIKA
- Impresszum
- Előszó
- A kötetben használt jelölések
- 1. Halmazok
- 2. Logikai alapok
- 3. Számtan, elemi algebra
- 3.1. Elemi számtan (a számok írásának kialakulása, műveletek különböző számokkal, negatív számok, törtek, tizedes törtek), kerekítés, százalékszámítás
- 3.2. Arányok (egyenes és fordított arányosság, az aranymetszés, a π), nevezetes közepek
- 3.3. Algebrai kifejezések és műveletek, hatványozás, összevonás, szorzás, kiemelés, nevezetes azonosságok
- 3.4. Gyökvonás, hatványozás, logaritmus és műveleteik
- 3.5. Számrendszerek
- 3.6. Egyenletek, egyenletrendszerek (fogalom, mérlegelv, osztályozás fokszám és egyenletek száma szerint, első- és másodfokú egyenletek, exponenciális és logaritmikus egyenletek)
- 3.7. Harmad- és negyedfokú egyenletek (speciális magasabb fokú egyenletek)
- 4. Polinomok és komplex számok algebrája
- 5. A sík elemi geometriája
- 5.1. A geometria rövid története
- 5.2. Geometriai alapfogalmak
- 5.3. Geometriai transzformációk
- 5.4. Háromszögek, nevezetes vonalak, pontok, körök, egyéb nevezetes objektumok
- 5.5. Négyszögek
- 5.6. Sokszögek, szabályos sokszögek, aranymetszés
- 5.7. A kör és részei, kerületi és középponti szögek, húr- és érintőnégyszögek
- 5.8. Geometriai szerkesztések, speciális szerkesztések
- 5.1. A geometria rövid története
- 6. A tér elemi geometriája
- 7. Ábrázoló geometria
- 8. Vektorok
- 9. Szögfüggvények
- 10. Analitikus geometria
- 10.1. A sík analitikus geometriája (alapfogalmak, szakasz osztópontjai, két pont távolsága, a háromszög területe)
- 10.2. Az egyenes egyenletei (két egyenes metszéspontja, hajlásszöge, pont és egyenes távolsága)
- 10.3. A kör egyenlete
- 10.4. Koordinátatranszformációk
- 10.5. Kúpszeletek egyenletei, másodrendű görbék
- 10.6. Polárkoordináták
- 10.7. A tér analitikus geometriája (sík és egyenes, másodrendű felületek, térbeli polárkoordináták)
- 11. Lineáris algebra
- 12. Absztrakt algebra
- 13. Számelmélet
- 14. Számsorozatok
- 15. Elemi függvények és tulajdonságaik
- 15.1. Függvény
- 15.2. Polinomfüggvények
- 15.3. Racionális törtfüggvények
- 15.4. Exponenciális és logaritmusfüggvények
- 15.5. Trigonometrikus függvények
- A szinuszfüggvény tulajdonságai
- A koszinuszfüggvény tulajdonságai
- A tangensfüggvény tulajdonságai
- A kotangensfüggvény tulajdonságai
- Árkuszfüggvények
- Az árkusz szinusz függvény és tulajdonságai
- Az árkusz koszinusz függvény és tulajdonságai
- Az árkusz tangens függvény és tulajdonságai
- Az árkusz kotangens függvény és tulajdonságai
- A szinuszfüggvény tulajdonságai
- 15.6. Hiperbolikus függvények
- A szinusz hiperbolikusz függvény tulajdonságai
- A koszinusz hiperbolikusz függvény tulajdonságai
- A tangens hiperbolikusz függvény tulajdonságai
- A kotangens hiperbolikusz függvény tulajdonságai
- Áreafüggvények
- Az área szinusz hiperbolikusz függvény és tulajdonságai
- Az área koszinusz hiperbolikusz függvény és tulajdonságai
- Az área tangens hiperbolikusz függvény és tulajdonságai
- Az área kotangens hiperbolikusz függvény és tulajdonságai
- A szinusz hiperbolikusz függvény tulajdonságai
- 16. A valós analízis elemei
- 17. Differenciálszámítás és alkalmazásai
- 17.1. Differenciálható függvények
- 17.2. Nevezetes függvények deriváltja
- 17.3. Függvényműveletek és a deriválás kapcsolata
- 17.4. Differenciálható függvények tulajdonságai
- 17.5. Differenciálszámítás alkalmazása függvények viselkedésének leírására
- 17.6. Többváltozós függvények differenciálása
- 17.7. Fizikai alkalmazások
- 18. Integrálszámításéés alkalmazásai
- 19. Közönséges differenciálegyenletek
- 20. Parciális differenciálegyenletek
- 21. Komplex függvénytan
- 21.1. Bevezető
- 21.2. Reguláris függvények
- 21.3. Integráltételek
- 21.4. Hatványsorba és Laurent-sorba fejtés
- 21.5. A reziduumtétel és alkalmazásai
- 21.6. Konform leképezések
- 21.7. Harmonikus függvények
- 21.1. Bevezető
- 22. Fraktálgeometria
- 22.1. Bevezető példák
- 22.2. Mátrixok és geometriai transzformációk
- 22.3. Hasonlósági és kontraktív leképezések, halmazfüggvények
- 22.4. Az IFS-modell
- 22.5. Olvasmány a halmazok távolságáról
- 22.6. Az IFS-modell tulajdonságai
- 22.7. IFS-modell és önhasonlóság
- 22.8. Önhasonló halmazok szerkezete és a „valóság”
- 22.9. A fraktáldimenziók
- 22.10. A hatványszabály (power law)
- 22.11. A boxdimenzió
- 22.12. Mit mér a boxdimenzió?
- 22.13. Tetszőleges halmaz boxdimenziója
- 22.14. Fraktáldimenzió a geodéziában
- 22.1. Bevezető példák
- 23. Kombinatorika
- 24. Gráfok
- 25. Kódelmélet
- 26. Valószínűség-számítás
- 26.1. Alapfogalmak, bevezetés
- 26.2. Valószínűségi mező, események, eseményalgebra
- 26.3. Feltételes valószínűség, függetlenség
- 26.4. Valószínűségi változók
- 26.5. Nevezetes diszkrét eloszlások
- 26.6. Nevezetes folytonos eloszlások
- 26.7. Az eloszlások legfontosabb jellemzői: a várható érték és a szórás
- 26.8. A nagy számok törvényei
- 26.9. Nevezetes határeloszlás-tételek
- 26.10. Korreláció, regresszió
- 26.11. Egyszerű véletlen folyamatok matematikai leírása
- 26.1. Alapfogalmak, bevezetés
- 27. Matematikai statisztika
- 27.1. Leíró statisztika, alapfogalmak, mintavétel, adatsokaság
- 27.2. Adatok szemléltetése, ábrázolása
- 27.3. Átlag és szórás
- 27.4. Idősorok
- 27.5. Összefüggések két ismérv között
- 27.6. Összetett intenzitási viszonyszámok és indexálás
- 27.7. A matematikai statisztika alapelvei, hipotézisvizsgálat
- 27.8. A Bayes-statisztika elemei
- 27.1. Leíró statisztika, alapfogalmak, mintavétel, adatsokaság
Kiadó: Akadémiai Kiadó
Online megjelenés éve: 2016
Nyomtatott megjelenés éve: 2010
ISBN: 978 963 059 767 8
Az Akadémiai kézikönyvek sorozat Matematika kötete a XXI. század kihívásainak megfelelően a hagyományos alapismeretek mellett a kor néhány újabb matematikai területét is tárgyalja, és ezek alapvető fogalmaival igyekszik megismertetni az érdeklődőket. Ennek megfelelően a kötetben a hagyományosan tanultak (a felsőoktatási intézmények BSc fokozatáig bezárólag): a legfontosabb fogalmak, tételek, eljárások és módszerek kapják a nagyobb hangsúlyt, de ezek mellett olyan (már inkább az MSc fokozatba tartozó) ismeretek is szerepelnek, amelyek nagyobb rálátást, mélyebb betekintést kínálnak az olvasónak. Fontos szempont volt az is, hogy bekerüljenek a kötetbe középiskolai szinten is azok a témakörök, melyek az új típusú érettségi követelményrendszerben is megjelentek (például a statisztika vagy a gráfelmélet). Mindezek mellett - bár érintőlegesen - a matematikai kutatások néhány újabb területe (kódoláselmélet, fraktálelmélet stb.) is teret kap. Néhány felsőoktatási intézményben alapvetően fontos témakör az ábrázoló geometria, amit a forgalomban levő matematikai kézikönyvek általában nem vagy csak nagyon érintőlegesen tárgyalnak, ezért kötetünkben részletesebben szerepel, ami elsősorban a műszaki jellegű felsőoktatási intézményekben tanulóknak kíván segítséget nyújtani. Az egyes fejezeteken belül részletesen kidolgozott mintapéldák vannak a tárgyalt elméleti anyag alkalmazására, melyek áttanulmányozása nagyban hozzájárulhat az elméleti problémák mélyebb megértéséhez. A könyv a szokásosnál bővebben fejti ki az egyes témák matematikai tartalmát, és a sok példával az alkalmazásokat támogatja, ami a mai matematikaoktatás egyik fontos, korábban kissé elhanyagolt területe.
Hivatkozás: https://mersz.hu/gerocs-vancso-matematika//
BibTeXEndNoteMendeleyZotero