Gerőcs László, Vancsó Ödön (szerk.)

Matematika


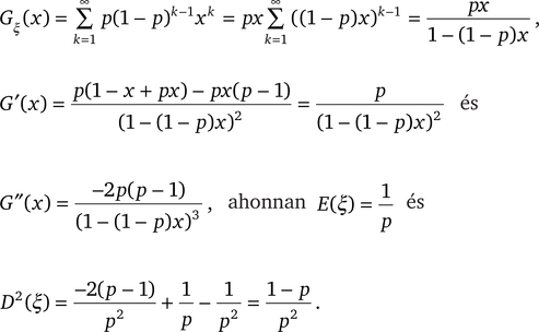
Geometriai eloszlás


Matematika

Tartalomjegyzék


Kiadó: Akadémiai Kiadó

Online megjelenés éve: 2016

Nyomtatott megjelenés éve: 2010

ISBN: 978 963 059 767 8

Az Akadémiai kézikönyvek sorozat Matematika kötete a XXI. század kihívásainak megfelelően a hagyományos alapismeretek mellett a kor néhány újabb matematikai területét is tárgyalja, és ezek alapvető fogalmaival igyekszik megismertetni az érdeklődőket. Ennek megfelelően a kötetben a hagyományosan tanultak (a felsőoktatási intézmények BSc fokozatáig bezárólag): a legfontosabb fogalmak, tételek, eljárások és módszerek kapják a nagyobb hangsúlyt, de ezek mellett olyan (már inkább az MSc fokozatba tartozó) ismeretek is szerepelnek, amelyek nagyobb rálátást, mélyebb betekintést kínálnak az olvasónak. Fontos szempont volt az is, hogy bekerüljenek a kötetbe középiskolai szinten is azok a témakörök, melyek az új típusú érettségi követelményrendszerben is megjelentek (például a statisztika vagy a gráfelmélet). Mindezek mellett - bár érintőlegesen - a matematikai kutatások néhány újabb területe (kódoláselmélet, fraktálelmélet stb.) is teret kap.

Néhány felsőoktatási intézményben alapvetően fontos témakör az ábrázoló geometria, amit a forgalomban levő matematikai kézikönyvek általában nem vagy csak nagyon érintőlegesen tárgyalnak, ezért kötetünkben részletesebben szerepel, ami elsősorban a műszaki jellegű felsőoktatási intézményekben tanulóknak kíván segítséget nyújtani.

Az egyes fejezeteken belül részletesen kidolgozott mintapéldák vannak a tárgyalt elméleti anyag alkalmazására, melyek áttanulmányozása nagyban hozzájárulhat az elméleti problémák mélyebb megértéséhez. A könyv a szokásosnál bővebben fejti ki az egyes témák matematikai tartalmát, és a sok példával az alkalmazásokat támogatja, ami a mai matematikaoktatás egyik fontos, korábban kissé elhanyagolt területe.

Hivatkozás: https://mersz.hu/gerocs-vancso-matematika//

BibTeXEndNoteMendeleyZotero

Kivonat
fullscreenclose
printsave