7.5.1. Csoportok összehasonlítása a három affektív dimenzión képcsoportonként
Jegyzet elhelyezéséhez, kérjük, lépj be.!
Hivatkozások
Válaszd ki a számodra megfelelő hivatkozásformátumot:
Harvard
Deák Anita (2024): Képi ingerek alkalmazása érzelemkutatásokban. : Akadémiai Kiadó.
https://doi.org/10.1556/9789636640422Letöltve: https://mersz.hu/hivatkozas/m1250kiaek_480/#m1250kiaek_480 (2026. 01. 18.)
Chicago
Deák Anita. 2024. Képi ingerek alkalmazása érzelemkutatásokban. : Akadémiai Kiadó.
https://doi.org/10.1556/9789636640422
(Letöltve: 2026. 01. 18.https://mersz.hu/hivatkozas/m1250kiaek_480/#m1250kiaek_480)
APA
Deák A. (2024). Képi ingerek alkalmazása érzelemkutatásokban. Akadémiai Kiadó.
https://doi.org/10.1556/9789636640422.
(Letöltve: 2026. 01. 18.https://mersz.hu/hivatkozas/m1250kiaek_480/#m1250kiaek_480)
Kevert mintás varianciaanalízissel elemeztük a négy csoport válaszait a három affektív dimenzió mentén. Két változóval dolgoztunk: 1. csoportosító változónak tekintettük azt, hogy a gyermek az SDQ-pontszámok alapján melyik csoportba került (egészséges kontroll, problémás kontroll, Vadaskerti nem problémás, Vadaskerti problémás); 2. arra a kutatói kérdésre kerestük a választ, hogy a kellemes, a kellemetlen, a semleges szociális és a semleges tárgyú képcsoportokra adott reakciók mentén a csoportok különböznek-e?
Jegyzet elhelyezéséhez, kérjük, lépj be.!
Hivatkozások
Válaszd ki a számodra megfelelő hivatkozásformátumot:
Harvard
Deák Anita (2024): Képi ingerek alkalmazása érzelemkutatásokban. : Akadémiai Kiadó.
https://doi.org/10.1556/9789636640422Letöltve: https://mersz.hu/hivatkozas/m1250kiaek_481/#m1250kiaek_481 (2026. 01. 18.)
Chicago
Deák Anita. 2024. Képi ingerek alkalmazása érzelemkutatásokban. : Akadémiai Kiadó.
https://doi.org/10.1556/9789636640422
(Letöltve: 2026. 01. 18.https://mersz.hu/hivatkozas/m1250kiaek_481/#m1250kiaek_481)
APA
Deák A. (2024). Képi ingerek alkalmazása érzelemkutatásokban. Akadémiai Kiadó.
https://doi.org/10.1556/9789636640422.
(Letöltve: 2026. 01. 18.https://mersz.hu/hivatkozas/m1250kiaek_481/#m1250kiaek_481)
A képek kellemességének megítélésében szignifikáns különbség mutatkozott, F = 195,81; p < 0,001. A csoportosító változó tekintetében elmondható, hogy a négy csoport eltérően ítélte meg a képeket, F = 5,86; p < 0,01. Továbbá, interakciót találtunk a képekre adott értékelés és a csoportosító változó között, F = 2,64, p < 0,05 (28. ábra).
Hivatkozások
Válaszd ki a számodra megfelelő hivatkozásformátumot:
Harvard
Deák Anita (2024): Képi ingerek alkalmazása érzelemkutatásokban. : Akadémiai Kiadó.
https://doi.org/10.1556/9789636640422Letöltve: https://mersz.hu/hivatkozas/m1250kiaek_482/#m1250kiaek_482 (2026. 01. 18.)
Chicago
Deák Anita. 2024. Képi ingerek alkalmazása érzelemkutatásokban. : Akadémiai Kiadó.
https://doi.org/10.1556/9789636640422
(Letöltve: 2026. 01. 18.https://mersz.hu/hivatkozas/m1250kiaek_482/#m1250kiaek_482)
APA
Deák A. (2024). Képi ingerek alkalmazása érzelemkutatásokban. Akadémiai Kiadó.
https://doi.org/10.1556/9789636640422.
(Letöltve: 2026. 01. 18.https://mersz.hu/hivatkozas/m1250kiaek_482/#m1250kiaek_482)
28. ábra. A négy gyermekcsoport valencia dimenzióra adott válaszai
Jegyzet elhelyezéséhez, kérjük, lépj be.!
Hivatkozások
Válaszd ki a számodra megfelelő hivatkozásformátumot:
Harvard
Deák Anita (2024): Képi ingerek alkalmazása érzelemkutatásokban. : Akadémiai Kiadó.
https://doi.org/10.1556/9789636640422Letöltve: https://mersz.hu/hivatkozas/m1250kiaek_484/#m1250kiaek_484 (2026. 01. 18.)
Chicago
Deák Anita. 2024. Képi ingerek alkalmazása érzelemkutatásokban. : Akadémiai Kiadó.
https://doi.org/10.1556/9789636640422
(Letöltve: 2026. 01. 18.https://mersz.hu/hivatkozas/m1250kiaek_484/#m1250kiaek_484)
APA
Deák A. (2024). Képi ingerek alkalmazása érzelemkutatásokban. Akadémiai Kiadó.
https://doi.org/10.1556/9789636640422.
(Letöltve: 2026. 01. 18.https://mersz.hu/hivatkozas/m1250kiaek_484/#m1250kiaek_484)
A páronkénti összehasonlításhoz használt Bonferroni post-hoc próbával kimutattuk, hogy különbözik egymástól a két Vadaskerti csoport, a két kontrollcsoport, valamint a két problémás csoport. A problémás kontrollcsoport átlaga volt a legmagasabb (5,61). Ennek oka az, hogy a negatív tartalmú képeket kellemesebbnek (kevésbé negatívnak), voltaképpen semlegesebbnek ítélték. Hasonló átlageltolódás történt a Vadaskerti nem problémás csoport esetén is (5,53). Azonban ők nem a kellemetlen (negatív), hanem a semleges tartalmú tárgyakat minősítették kellemesebbnek. Az egészséges és a Vadaskerti problémás gyermekeknél az átlag a skála középértékét, az 5-ös értéket vette fel. Ez nem meglepő, hiszen a kellemetlen képekre adott alacsony pontok, valamint a kellemes képekre adott magas pontok kiegyenlítették egymást, míg a másik két csoportnál az átlagok eltolódtak.
Jegyzet elhelyezéséhez, kérjük, lépj be.!
Hivatkozások
Válaszd ki a számodra megfelelő hivatkozásformátumot:
Harvard
Deák Anita (2024): Képi ingerek alkalmazása érzelemkutatásokban. : Akadémiai Kiadó.
https://doi.org/10.1556/9789636640422Letöltve: https://mersz.hu/hivatkozas/m1250kiaek_485/#m1250kiaek_485 (2026. 01. 18.)
Chicago
Deák Anita. 2024. Képi ingerek alkalmazása érzelemkutatásokban. : Akadémiai Kiadó.
https://doi.org/10.1556/9789636640422
(Letöltve: 2026. 01. 18.https://mersz.hu/hivatkozas/m1250kiaek_485/#m1250kiaek_485)
APA
Deák A. (2024). Képi ingerek alkalmazása érzelemkutatásokban. Akadémiai Kiadó.
https://doi.org/10.1556/9789636640422.
(Letöltve: 2026. 01. 18.https://mersz.hu/hivatkozas/m1250kiaek_485/#m1250kiaek_485)
Ugyancsak Bonferroni post-hoc tesztet végezve a képcsoportonkénti elemzés rávilágított arra, hogy mind a négy képcsoport átlagai különböznek egymástól. A pozitív képek valenciája bizonyult a legmagasabbnak (8,13), majd ezt a semleges tárgyak átlaga követte (5,12). A kevésbé egyértelmű, inkább negatív felszólító jelleggel bíró társas helyzeteket ábrázoló képekre 4,36-os átlagot kaptunk, végül a kellemetlen képek következtek (3,72). Ez azért fontos eredmény, mert ezzel igazolható, hogy a képcsoportok különböző érzelmi állapotokat váltanak ki a kellemesség dimenzió mentén, és sajátos mintázat fedezhető fel a gyermekek értékeléseiben.
Jegyzet elhelyezéséhez, kérjük, lépj be.!
Hivatkozások
Válaszd ki a számodra megfelelő hivatkozásformátumot:
Harvard
Deák Anita (2024): Képi ingerek alkalmazása érzelemkutatásokban. : Akadémiai Kiadó.
https://doi.org/10.1556/9789636640422Letöltve: https://mersz.hu/hivatkozas/m1250kiaek_486/#m1250kiaek_486 (2026. 01. 18.)
Chicago
Deák Anita. 2024. Képi ingerek alkalmazása érzelemkutatásokban. : Akadémiai Kiadó.
https://doi.org/10.1556/9789636640422
(Letöltve: 2026. 01. 18.https://mersz.hu/hivatkozas/m1250kiaek_486/#m1250kiaek_486)
APA
Deák A. (2024). Képi ingerek alkalmazása érzelemkutatásokban. Akadémiai Kiadó.
https://doi.org/10.1556/9789636640422.
(Letöltve: 2026. 01. 18.https://mersz.hu/hivatkozas/m1250kiaek_486/#m1250kiaek_486)
Az interakció származhatott abból, hogy a problémás kontrollcsoport tagjai a negatív ingereket felülértékelték, inkább semlegesnek tartották. A negatív képcsoportra adott 4,82-es érték, a semleges szociális képcsoportra adott 4,89-es átlag, és a semleges tárgyakra adott 4,79-es érték nagyon közel helyezkedtek el egymáshoz. Egyedül a 7,95-ös értéket mutató pozitív képcsoport emelkedett ki a sorból. Úgy tűnt, mintha az „ingerek kusza halmazából” egyedül a pozitív ingerekről tudnák egyértelműen eldönteni, hogy „milyenek”. Ezzel szemben az egészséges kontrollcsoport és a két Vadaskerti csoport grafikonja hasonló lefutást mutatott: a kellemetlen képcsoport megítélése alacsony volt, a kellemesé magas, a semleges szociális ingerek középen helyezkedtek el, kissé nagyobb szórást mutatva, mint a tárgyak, amelyek átlaga szintén az 5-ös körüli értéket vette fel.
Jegyzet elhelyezéséhez, kérjük, lépj be.!
Hivatkozások
Válaszd ki a számodra megfelelő hivatkozásformátumot:
Harvard
Deák Anita (2024): Képi ingerek alkalmazása érzelemkutatásokban. : Akadémiai Kiadó.
https://doi.org/10.1556/9789636640422Letöltve: https://mersz.hu/hivatkozas/m1250kiaek_487/#m1250kiaek_487 (2026. 01. 18.)
Chicago
Deák Anita. 2024. Képi ingerek alkalmazása érzelemkutatásokban. : Akadémiai Kiadó.
https://doi.org/10.1556/9789636640422
(Letöltve: 2026. 01. 18.https://mersz.hu/hivatkozas/m1250kiaek_487/#m1250kiaek_487)
APA
Deák A. (2024). Képi ingerek alkalmazása érzelemkutatásokban. Akadémiai Kiadó.
https://doi.org/10.1556/9789636640422.
(Letöltve: 2026. 01. 18.https://mersz.hu/hivatkozas/m1250kiaek_487/#m1250kiaek_487)
Az intenzitás összesített megítélésében is szignifikáns különbséget találtunk a négy képcsoport között, F = 143,24; p < 0,001. A négy csoport tagjai által adott átlagok 5,32 és 5,64 között mozogtak, azaz a gyermekek látszólag hasonló módon ítélték meg a képeket, az értékek nem különböztek egymástól statisztikailag, F = 0,82; p>0,05. Ugyanakkor, szignifikáns interakciót állapítottunk meg a képekre adott értékelés és a csoportosító változó között, F = 5,65, p < 0,001 (29. ábra).
Hivatkozások
Válaszd ki a számodra megfelelő hivatkozásformátumot:
Harvard
Deák Anita (2024): Képi ingerek alkalmazása érzelemkutatásokban. : Akadémiai Kiadó.
https://doi.org/10.1556/9789636640422Letöltve: https://mersz.hu/hivatkozas/m1250kiaek_488/#m1250kiaek_488 (2026. 01. 18.)
Chicago
Deák Anita. 2024. Képi ingerek alkalmazása érzelemkutatásokban. : Akadémiai Kiadó.
https://doi.org/10.1556/9789636640422
(Letöltve: 2026. 01. 18.https://mersz.hu/hivatkozas/m1250kiaek_488/#m1250kiaek_488)
APA
Deák A. (2024). Képi ingerek alkalmazása érzelemkutatásokban. Akadémiai Kiadó.
https://doi.org/10.1556/9789636640422.
(Letöltve: 2026. 01. 18.https://mersz.hu/hivatkozas/m1250kiaek_488/#m1250kiaek_488)
29. ábra. A négy gyermekcsoport arousaldimenzióra adott válaszai
Jegyzet elhelyezéséhez, kérjük, lépj be.!
Hivatkozások
Válaszd ki a számodra megfelelő hivatkozásformátumot:
Harvard
Deák Anita (2024): Képi ingerek alkalmazása érzelemkutatásokban. : Akadémiai Kiadó.
https://doi.org/10.1556/9789636640422Letöltve: https://mersz.hu/hivatkozas/m1250kiaek_490/#m1250kiaek_490 (2026. 01. 18.)
Chicago
Deák Anita. 2024. Képi ingerek alkalmazása érzelemkutatásokban. : Akadémiai Kiadó.
https://doi.org/10.1556/9789636640422
(Letöltve: 2026. 01. 18.https://mersz.hu/hivatkozas/m1250kiaek_490/#m1250kiaek_490)
APA
Deák A. (2024). Képi ingerek alkalmazása érzelemkutatásokban. Akadémiai Kiadó.
https://doi.org/10.1556/9789636640422.
(Letöltve: 2026. 01. 18.https://mersz.hu/hivatkozas/m1250kiaek_490/#m1250kiaek_490)
A képcsoportokat tekintve elmondható, hogy a pozitív és a negatív fotók intenzív érzelmi választ váltottak ki a gyermekekből: 6,8-as érték feletti átlagot kaptunk mindkét képcsoport esetében. A társas ingerek közepes (4,77), míg a tárgyak alacsony feszültséget indukáltak (3,72). A Bonferroni post-hoc próba alapján a képcsoportok intenzitása eltért egymástól (a pozitív és negatív képcsoport kivételével).
Jegyzet elhelyezéséhez, kérjük, lépj be.!
Hivatkozások
Válaszd ki a számodra megfelelő hivatkozásformátumot:
Harvard
Deák Anita (2024): Képi ingerek alkalmazása érzelemkutatásokban. : Akadémiai Kiadó.
https://doi.org/10.1556/9789636640422Letöltve: https://mersz.hu/hivatkozas/m1250kiaek_491/#m1250kiaek_491 (2026. 01. 18.)
Chicago
Deák Anita. 2024. Képi ingerek alkalmazása érzelemkutatásokban. : Akadémiai Kiadó.
https://doi.org/10.1556/9789636640422
(Letöltve: 2026. 01. 18.https://mersz.hu/hivatkozas/m1250kiaek_491/#m1250kiaek_491)
APA
Deák A. (2024). Képi ingerek alkalmazása érzelemkutatásokban. Akadémiai Kiadó.
https://doi.org/10.1556/9789636640422.
(Letöltve: 2026. 01. 18.https://mersz.hu/hivatkozas/m1250kiaek_491/#m1250kiaek_491)
Az interakció vélhetően a negatív és pozitív ingerek eltérő megítéléséből fakadt. A két problémás csoport lefutási görbéje nagyon hasonlított egymáshoz, ugyanúgy, ahogy a két nem problémás (egészséges kontroll- és Vadaskerti nem problémás) csoporté is. A két problémás csoportnál a negatív ingerek váltották ki a legmagasabb – 7-es érték feletti – feszültséget, míg a nem problémás csoportok „fogékonyabbak voltak” a kellemes ingerekre, azaz úgy ítélték meg, hogy a pozitív képek váltják ki belőlük a legnagyobb fokú figyelmet, éberséget és aktivitást.
Jegyzet elhelyezéséhez, kérjük, lépj be.!
Hivatkozások
Válaszd ki a számodra megfelelő hivatkozásformátumot:
Harvard
Deák Anita (2024): Képi ingerek alkalmazása érzelemkutatásokban. : Akadémiai Kiadó.
https://doi.org/10.1556/9789636640422Letöltve: https://mersz.hu/hivatkozas/m1250kiaek_492/#m1250kiaek_492 (2026. 01. 18.)
Chicago
Deák Anita. 2024. Képi ingerek alkalmazása érzelemkutatásokban. : Akadémiai Kiadó.
https://doi.org/10.1556/9789636640422
(Letöltve: 2026. 01. 18.https://mersz.hu/hivatkozas/m1250kiaek_492/#m1250kiaek_492)
APA
Deák A. (2024). Képi ingerek alkalmazása érzelemkutatásokban. Akadémiai Kiadó.
https://doi.org/10.1556/9789636640422.
(Letöltve: 2026. 01. 18.https://mersz.hu/hivatkozas/m1250kiaek_492/#m1250kiaek_492)
Az arousaldimenzión kapott eredmények megerősítették azt a feltevést, hogy a négy képcsoport eltérő intenzitású érzéseket váltott ki a megfigyelőkből, és a gyermekek eltérő értékeléseket adtak a nagy intenzitású ingerekre.
Jegyzet elhelyezéséhez, kérjük, lépj be.!
Hivatkozások
Válaszd ki a számodra megfelelő hivatkozásformátumot:
Harvard
Deák Anita (2024): Képi ingerek alkalmazása érzelemkutatásokban. : Akadémiai Kiadó.
https://doi.org/10.1556/9789636640422Letöltve: https://mersz.hu/hivatkozas/m1250kiaek_493/#m1250kiaek_493 (2026. 01. 18.)
Chicago
Deák Anita. 2024. Képi ingerek alkalmazása érzelemkutatásokban. : Akadémiai Kiadó.
https://doi.org/10.1556/9789636640422
(Letöltve: 2026. 01. 18.https://mersz.hu/hivatkozas/m1250kiaek_493/#m1250kiaek_493)
APA
Deák A. (2024). Képi ingerek alkalmazása érzelemkutatásokban. Akadémiai Kiadó.
https://doi.org/10.1556/9789636640422.
(Letöltve: 2026. 01. 18.https://mersz.hu/hivatkozas/m1250kiaek_493/#m1250kiaek_493)
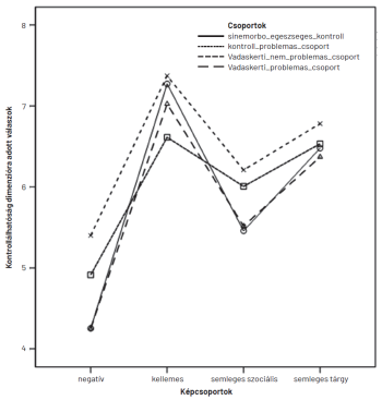
Az egyes képcsoportok által kiváltott érzések feletti kontroll tekintetében is szignifikáns különbséget találtunk, F = 56,46; p < 0,001. Ugyanakkor a négy gyermekcsoport válaszai nem különböztek egymástól: az 5,79 és 6,44 közti övezetbe estek, F = 1,81; p>0,05. Interakció nem volt kimutatható a vizsgált változók között, F = 1,16; p>0,05 (30. ábra).
Hivatkozások
Válaszd ki a számodra megfelelő hivatkozásformátumot:
Harvard
Deák Anita (2024): Képi ingerek alkalmazása érzelemkutatásokban. : Akadémiai Kiadó.
https://doi.org/10.1556/9789636640422Letöltve: https://mersz.hu/hivatkozas/m1250kiaek_494/#m1250kiaek_494 (2026. 01. 18.)
Chicago
Deák Anita. 2024. Képi ingerek alkalmazása érzelemkutatásokban. : Akadémiai Kiadó.
https://doi.org/10.1556/9789636640422
(Letöltve: 2026. 01. 18.https://mersz.hu/hivatkozas/m1250kiaek_494/#m1250kiaek_494)
APA
Deák A. (2024). Képi ingerek alkalmazása érzelemkutatásokban. Akadémiai Kiadó.
https://doi.org/10.1556/9789636640422.
(Letöltve: 2026. 01. 18.https://mersz.hu/hivatkozas/m1250kiaek_494/#m1250kiaek_494)
30. ábra. A négy gyermekcsoport kontrollálás dimenzióra adott válaszai
Jegyzet elhelyezéséhez, kérjük, lépj be.!
Hivatkozások
Válaszd ki a számodra megfelelő hivatkozásformátumot:
Harvard
Deák Anita (2024): Képi ingerek alkalmazása érzelemkutatásokban. : Akadémiai Kiadó.
https://doi.org/10.1556/9789636640422Letöltve: https://mersz.hu/hivatkozas/m1250kiaek_496/#m1250kiaek_496 (2026. 01. 18.)
Chicago
Deák Anita. 2024. Képi ingerek alkalmazása érzelemkutatásokban. : Akadémiai Kiadó.
https://doi.org/10.1556/9789636640422
(Letöltve: 2026. 01. 18.https://mersz.hu/hivatkozas/m1250kiaek_496/#m1250kiaek_496)
APA
Deák A. (2024). Képi ingerek alkalmazása érzelemkutatásokban. Akadémiai Kiadó.
https://doi.org/10.1556/9789636640422.
(Letöltve: 2026. 01. 18.https://mersz.hu/hivatkozas/m1250kiaek_496/#m1250kiaek_496)
A Bonferroni post-hoc teszt alapján azt láttuk, hogy a képcsoportok szignifikánsan különböztek egymástól: a legkevésbé kontrollálhatónak tartották a negatív képek által kiváltott érzéseket (4,7), majd a semleges szociális képeket (5,79), amelyek szintén előhívhattak negatív érzéseket a megfigyelőből. A semleges tárgyak esetében azért kaphattunk viszonylag magas átlagot (6,54), mert ezek a képek különösebb érzelmeket nem hívtak elő. (Ezt megerősítik az arousaldimenzión kapott alacsony átlagok is.) A legkönnyebben kontrollálható helyzeteket pedig a pozitív képek hívták elő (átlaguk: 7,07).