6.4 Structure and constituent models of the Political Bias Screener
Jegyzet elhelyezéséhez, kérjük, lépj be.!
Hivatkozások
Válaszd ki a számodra megfelelő hivatkozásformátumot:
Harvard
Bánhegyi Mátyás (2025): The Effects of Politics and Ideology on the Translation of Argumentative Political Newspaper Articles . : Akadémiai Kiadó.
https://doi.org/10.1556/9789636641160Letöltve: https://mersz.hu/hivatkozas/m1295teopai_496/#m1295teopai_496 (2026. 03. 11.)
Chicago
Bánhegyi Mátyás. 2025. The Effects of Politics and Ideology on the Translation of Argumentative Political Newspaper Articles . : Akadémiai Kiadó.
https://doi.org/10.1556/9789636641160
(Letöltve: 2026. 03. 11.https://mersz.hu/hivatkozas/m1295teopai_496/#m1295teopai_496)
APA
Bánhegyi M. (2025). The Effects of Politics and Ideology on the Translation of Argumentative Political Newspaper Articles . Akadémiai Kiadó.
https://doi.org/10.1556/9789636641160.
(Letöltve: 2026. 03. 11.https://mersz.hu/hivatkozas/m1295teopai_496/#m1295teopai_496)
The Political Bias Screener has been designed with a view to the nature of political persuasion described in Section 6.2. Functionally, the Screener operates in the following way. The gists and political messages (the macrostructure influenced by the superstructure) of the source and target language texts are identified with the help of Tirkkonen-Condit’s (1985) Macrostructure Model (cf. Chapter 3) complemented by Hoey’s (2001) Problem-Solution Model (cf. Chapter 2). The latter model provides the superstructure constituent. In line with the work of Tirkkonen-Condit (1985), this analysis is effected on a sentence level. As the other two domains of political persuasion – feelings and sentiments evoked and psychological persuasion – are realised on the level of individual propositions, Kintsch and van Dijk’s (1978) notion of proposition, as defined in their Model of Text Comprehension and Production, will be used to identify such propositions.
Jegyzet elhelyezéséhez, kérjük, lépj be.!
Hivatkozások
Válaszd ki a számodra megfelelő hivatkozásformátumot:
Harvard
Bánhegyi Mátyás (2025): The Effects of Politics and Ideology on the Translation of Argumentative Political Newspaper Articles . : Akadémiai Kiadó.
https://doi.org/10.1556/9789636641160Letöltve: https://mersz.hu/hivatkozas/m1295teopai_497/#m1295teopai_497 (2026. 03. 11.)
Chicago
Bánhegyi Mátyás. 2025. The Effects of Politics and Ideology on the Translation of Argumentative Political Newspaper Articles . : Akadémiai Kiadó.
https://doi.org/10.1556/9789636641160
(Letöltve: 2026. 03. 11.https://mersz.hu/hivatkozas/m1295teopai_497/#m1295teopai_497)
APA
Bánhegyi M. (2025). The Effects of Politics and Ideology on the Translation of Argumentative Political Newspaper Articles . Akadémiai Kiadó.
https://doi.org/10.1556/9789636641160.
(Letöltve: 2026. 03. 11.https://mersz.hu/hivatkozas/m1295teopai_497/#m1295teopai_497)
The analytical results obtained with the help of Tirkkonen-Condit’s (1985) Macrostructure Model complemented by Hoey’s (2001) Problem-Solution Model (i.e. gist and political message) and the full source and target texts serve as input for the CDA analysis effected through the TDSI Model, an adaptation of van Dijk’s (1993, 1997, 2001, 2003) Discourse–Society Interface (cf. Chapter 4). As the aim of the CDA analysis is to interpret and compare the textual realisations of the full texts as well as the gists and political messages of the source and target texts in their relevant social, cultural, historical, ideological and political contexts, a further analysis will be carried out along the four components of Action, Context, Power and Ideology of the TDSI Model. The CDA analysis will highlight the following: what political aims and perspectives the texts reflect, in what ways the properties of the texts reflect their audience, what roles the texts assume in their immediate and longer-term political contexts, what power journalists and translators are given through producing texts for the public and in what kind of textual realisations ideology surfaces in source and target texts (for the components of the TDSI Model, see Section 4.6.4). By comparing the properties of source and target texts and establishing textual differences surfacing as translation shifts, and consequently interpreting such shifts with the help of the above four components of the TDSI Model, the potential political and ideological bias of the source and target texts will be revealed and analysed.
Jegyzet elhelyezéséhez, kérjük, lépj be.!
Hivatkozások
Válaszd ki a számodra megfelelő hivatkozásformátumot:
Harvard
Bánhegyi Mátyás (2025): The Effects of Politics and Ideology on the Translation of Argumentative Political Newspaper Articles . : Akadémiai Kiadó.
https://doi.org/10.1556/9789636641160Letöltve: https://mersz.hu/hivatkozas/m1295teopai_498/#m1295teopai_498 (2026. 03. 11.)
Chicago
Bánhegyi Mátyás. 2025. The Effects of Politics and Ideology on the Translation of Argumentative Political Newspaper Articles . : Akadémiai Kiadó.
https://doi.org/10.1556/9789636641160
(Letöltve: 2026. 03. 11.https://mersz.hu/hivatkozas/m1295teopai_498/#m1295teopai_498)
APA
Bánhegyi M. (2025). The Effects of Politics and Ideology on the Translation of Argumentative Political Newspaper Articles . Akadémiai Kiadó.
https://doi.org/10.1556/9789636641160.
(Letöltve: 2026. 03. 11.https://mersz.hu/hivatkozas/m1295teopai_498/#m1295teopai_498)
As the texts under scrutiny in the scope of the present undertaking are argumentative newspaper articles, i.e. mediatised political texts, the results obtained with the help of the TDSI Model need to be interpreted in the political mass communication context of the analysed texts so that all relevant contextual features (including political mass communication related ones) can be considered. As the TDSI Model does not incorporate discursive political and media communication related theories that could account for and explain journalists’ and translators’ potential political bias in mediated political texts, a specific political mass communication theory-based model, the TPMC Model has been developed. With the TPMC Model, the research results obtained with the help of the TDSI Model will be interpreted with reference to the following two issues: the presentation of political reality and bias (cf. Chapter 5). It will be explored how and why journalism and translation contribute to the presentation of political reality and to the production of politically biased texts. The TPMC model provides a political mass communication related explanation as to the behaviour of journalists and translators with traceable signs in source and target texts.
Jegyzet elhelyezéséhez, kérjük, lépj be.!
Hivatkozások
Válaszd ki a számodra megfelelő hivatkozásformátumot:
Harvard
Bánhegyi Mátyás (2025): The Effects of Politics and Ideology on the Translation of Argumentative Political Newspaper Articles . : Akadémiai Kiadó.
https://doi.org/10.1556/9789636641160Letöltve: https://mersz.hu/hivatkozas/m1295teopai_499/#m1295teopai_499 (2026. 03. 11.)
Chicago
Bánhegyi Mátyás. 2025. The Effects of Politics and Ideology on the Translation of Argumentative Political Newspaper Articles . : Akadémiai Kiadó.
https://doi.org/10.1556/9789636641160
(Letöltve: 2026. 03. 11.https://mersz.hu/hivatkozas/m1295teopai_499/#m1295teopai_499)
APA
Bánhegyi M. (2025). The Effects of Politics and Ideology on the Translation of Argumentative Political Newspaper Articles . Akadémiai Kiadó.
https://doi.org/10.1556/9789636641160.
(Letöltve: 2026. 03. 11.https://mersz.hu/hivatkozas/m1295teopai_499/#m1295teopai_499)
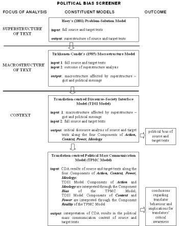
Figure 6.1 below contains the visual representation of the Political Bias Screener. The four constituent models of the analytical tool are in a hierarchical relationship: the output of a given constituent serves as the input of the following constituent. The first constituent is the superstructure constituent, the next is the macrostructure constituent to be followed by the CDA constituent and finally by the political mass communication constituent. The output of the superstructure constituent, i.e. Hoey’s (2001) Problem-Solution Model, and the full source and target texts are the input of the macrostructure constituent, that is Tirkkonen-Condit’s (1985) Macrostructure Model. The output of the macrostructure constituent and the full source and target texts are the input of the TDSI Model. The output of the TDSI Model is generated along four Components: Action, Context, Power and Ideology. The output of the TDSI Model is the input of the TPMC Model. More precisely, the TDSI Model components of Action and Ideology serve as input for the component of Bias of the TPMC Model, and the TDSI Model components of Context and Power are the input for the component of Reality of the TPMC Model. In Figure 6.1, the inputs and the outputs are shown with reference to each analytical tool constituent.
Jegyzet elhelyezéséhez, kérjük, lépj be.!
Hivatkozások
Válaszd ki a számodra megfelelő hivatkozásformátumot:
Harvard
Bánhegyi Mátyás (2025): The Effects of Politics and Ideology on the Translation of Argumentative Political Newspaper Articles . : Akadémiai Kiadó.
https://doi.org/10.1556/9789636641160Letöltve: https://mersz.hu/hivatkozas/m1295teopai_500/#m1295teopai_500 (2026. 03. 11.)
Chicago
Bánhegyi Mátyás. 2025. The Effects of Politics and Ideology on the Translation of Argumentative Political Newspaper Articles . : Akadémiai Kiadó.
https://doi.org/10.1556/9789636641160
(Letöltve: 2026. 03. 11.https://mersz.hu/hivatkozas/m1295teopai_500/#m1295teopai_500)
APA
Bánhegyi M. (2025). The Effects of Politics and Ideology on the Translation of Argumentative Political Newspaper Articles . Akadémiai Kiadó.
https://doi.org/10.1556/9789636641160.
(Letöltve: 2026. 03. 11.https://mersz.hu/hivatkozas/m1295teopai_500/#m1295teopai_500)
Furthermore, Figure 6.1 also shows the focus of analysis with reference to each constituent model: Hoey’s (2001) Problem-Solution Model operates on the level of superstructure, Tirkkonen-Condit’s (1985) Macrostructure Model operates on the level of macrostructure, the Translation-centred Discourse–Society Interface Model operates on the level of context including social, cultural, historical, ideological and political contexts, whereas the Translation-centred Political Mass Communication Model also works on the level of context taking account of political reality and bias.
Jegyzet elhelyezéséhez, kérjük, lépj be.!
Hivatkozások
Válaszd ki a számodra megfelelő hivatkozásformátumot:
Harvard
Bánhegyi Mátyás (2025): The Effects of Politics and Ideology on the Translation of Argumentative Political Newspaper Articles . : Akadémiai Kiadó.
https://doi.org/10.1556/9789636641160Letöltve: https://mersz.hu/hivatkozas/m1295teopai_501/#m1295teopai_501 (2026. 03. 11.)
Chicago
Bánhegyi Mátyás. 2025. The Effects of Politics and Ideology on the Translation of Argumentative Political Newspaper Articles . : Akadémiai Kiadó.
https://doi.org/10.1556/9789636641160
(Letöltve: 2026. 03. 11.https://mersz.hu/hivatkozas/m1295teopai_501/#m1295teopai_501)
APA
Bánhegyi M. (2025). The Effects of Politics and Ideology on the Translation of Argumentative Political Newspaper Articles . Akadémiai Kiadó.
https://doi.org/10.1556/9789636641160.
(Letöltve: 2026. 03. 11.https://mersz.hu/hivatkozas/m1295teopai_501/#m1295teopai_501)
On the right hand side of Figure 6.1, the outcomes of the TDSI and TPMC Models are shown. The outcomes of the TDSI Model show potential political bias of source and target texts, whereas the outcomes of the TPMC Model yield conclusions regarding translator behaviour and implications for translators’ critical awareness.
Hivatkozások
Válaszd ki a számodra megfelelő hivatkozásformátumot:
Harvard
Bánhegyi Mátyás (2025): The Effects of Politics and Ideology on the Translation of Argumentative Political Newspaper Articles . : Akadémiai Kiadó.
https://doi.org/10.1556/9789636641160Letöltve: https://mersz.hu/hivatkozas/m1295teopai_502/#m1295teopai_502 (2026. 03. 11.)
Chicago
Bánhegyi Mátyás. 2025. The Effects of Politics and Ideology on the Translation of Argumentative Political Newspaper Articles . : Akadémiai Kiadó.
https://doi.org/10.1556/9789636641160
(Letöltve: 2026. 03. 11.https://mersz.hu/hivatkozas/m1295teopai_502/#m1295teopai_502)
APA
Bánhegyi M. (2025). The Effects of Politics and Ideology on the Translation of Argumentative Political Newspaper Articles . Akadémiai Kiadó.
https://doi.org/10.1556/9789636641160.
(Letöltve: 2026. 03. 11.https://mersz.hu/hivatkozas/m1295teopai_502/#m1295teopai_502)
Figure 6.1: Visual representation of the Political Bias Screener
Jegyzet elhelyezéséhez, kérjük, lépj be.!
Hivatkozások
Válaszd ki a számodra megfelelő hivatkozásformátumot:
Harvard
Bánhegyi Mátyás (2025): The Effects of Politics and Ideology on the Translation of Argumentative Political Newspaper Articles . : Akadémiai Kiadó.
https://doi.org/10.1556/9789636641160Letöltve: https://mersz.hu/hivatkozas/m1295teopai_504/#m1295teopai_504 (2026. 03. 11.)
Chicago
Bánhegyi Mátyás. 2025. The Effects of Politics and Ideology on the Translation of Argumentative Political Newspaper Articles . : Akadémiai Kiadó.
https://doi.org/10.1556/9789636641160
(Letöltve: 2026. 03. 11.https://mersz.hu/hivatkozas/m1295teopai_504/#m1295teopai_504)
APA
Bánhegyi M. (2025). The Effects of Politics and Ideology on the Translation of Argumentative Political Newspaper Articles . Akadémiai Kiadó.
https://doi.org/10.1556/9789636641160.
(Letöltve: 2026. 03. 11.https://mersz.hu/hivatkozas/m1295teopai_504/#m1295teopai_504)
This analytical tool is a truly interdisciplinary one, and incorporates super- and macrostructure, critical discourse analytical and political mass communication theories as suited to the complexity of the current research. The uniqueness of the present analytical tool lies in its comprehensive nature and novelties: so far no attempt has been made to connect Translation Studies and political mass communication through text linguistic means relying on the most current findings of these research fields for the purpose of analysing argumentative newspaper articles.