Keserű György Miklós (szerk.)

Gyógyszerkémia


4.5.3.3. Kombinatorikus stratégiák

Az oligonukleotidok és a fehérjék szintézisével foglalkozó kémikusokat már a hetvenes évektől foglalkoztatta az a gondolat, hogy miképp lehetne a közös építőelemekből (nukleotidekből, aminosavakból) gyors és hatékony módon olyan keverékeket előállítani, amelyekben utána meg lehet találni a biológiai szempontból érdekes molekulát.
Houghten 1985-ben ismertette „teazacskó” módszerét: eszerint előre megjelölt porózus polipropilén zacskókba gyantához kötött védett aminosavakat helyezett (egy zacskóba egyfajta aminosavat). Ezután a zacskókat az aminosav-szintézis szokványos körülményeinek tette ki: egy nagyobb edénybe helyezve őket mindegyikről eltávolította a védőcsoportokat, mosta és semlegesítette a gyantát. Ezután a zacskókat egyenként áthelyezte olyan edényekbe, amelyekben különböző védett aminosavak oldata volt (tetszés szerint több zacskó is mehetett egy lombikba). Az egyórás reakció után a zacskókat kiemelte az oldatokból és újra elvégezte egyszerre a közös lépéseket (védőcsoport-eltávolítás, mosás, semlegesítés). Az immár dipeptideket tartalmazó zacskókat tetszés szerint további aminosavakkal reagáltatta. A rendszer lényeges eleme, hogy pontosan feljegyezzék a zacskóba helyezett, valamint a szintézis során felhasznált aminosavakat (ez adja meg a gyantán szintetizált peptid aminosav-sorrendjét). A Houghten által szintetizált vegyületkönyvtár tekinthető a célzott vegyületkönyvtárak első példájának, hiszen 248 tridekapeptidet készített az influenzát okozó hemagglutinin protein (HA) antigén–antitest interakciójának tanulmányozásához úgy, hogy a protein 13 aminosavból álló peptidlánc-szakaszának aminosavait kombinálta egymással (Houghten, 1985).
Újszerű megoldást jelentett a Furka Árpád és munkatársai által kidolgozott osztásos-keveréses (split-and-mix) peptidszintézis. A módszer lényege, hogy a gyantához kötött különféle aminosavakból azonos mennyiséget kevernek össze (pl. mindegyikből 100 mg-ot), közös edényben elvégzik a védőcsoport lehasításával kapcsolatos műveleteket (védőcsoport-eltávolítás, mosás, semlegesítés), majd egyenlő mennyiségben szétosztják annyifelé, ahány aminosavat a következő lépéshez fel akarnak használni és külön edényekben elvégzik a kapcsolást. Az így kapott dipeptidekből azonos mennyiségeket újra összekevernek és a szintézis tetszés szerint folytatható (Furka és mtsai, 1991). Könnyen belátható, hogy az eredmény azonos lesz a teazacskós módszerrel kapottal. A két módszer között az a lényeges különbség, hogy míg Houghten a zacskó alkalmazásával egyedi vegyületeket állított elő (1 „teazacskóban” 1 vegyület), addig Furkáék eljárásánál a vegyületek egyenlő arányú keverékben keletkeznek. Elmondhatjuk, hogy ez a megközelítés volt az alapja a kombinatorikus kémia robbanásszerű elterjedésének a gyógyszerkémiában.
A szilárd fázisú kombinatorikus és az oldatfázisú párhuzamos szintézis közti különbséget a következőképpen illusztrálhatjuk: egy 3 milliós tagszámú vegyületkönyvtár oldatfázisú párhuzamos szintéziséhez legalább 3 millió reakcióra lenne szükség (ha egylépéses a reakció). Ezzel szemben osztásos-keveréses szilárd fázisú technikával 20 aminosav felhasználásával, 6 reakciólépésben, mindössze 120 reakcióval előállíthatunk egy 3,2 millió tagú pentapeptid-tárat, igaz, „csak” keverékként. A számítást az alábbiak alapján végezhetjük el:
 
Ennél az elméleti számításnál ugyanakkor azt is figyelembe kell venni, hogy ha az átlagos 1 mmol/g kapacitású szilárd hordozóval dolgozunk, akkor összesen 3,2 kg gyantát kellene felhasználnunk ahhoz, hogy optimális esetben a reakciósor végén egyes peptidek mennyisége elérje az 1 μM-nyi mennyiséget (ez peptidenként átlagosan 3 mg terméket jelent).
A gyógyszeripari gyakorlat szempontjából érdemes a két megközelítést egy kisebb vegyületkönyvtárnál összehasonlítani: állítsunk elő egy 27 tagú, 3-féle aminosavat tartalmazó tripeptidet szilárd hordozón osztásos-keveréses technikával, valamint párhuzamos oldatfázisú szintézissel. Az első esetben a gyantához történő felkötéssel és a lehasítással együtt 12 reakcióra van szükségünk, a második esetben 36 reakciót kell elvégeznünk (4.5.12. ábra).
 
4.5.12. ábra. 27 tagú, 3-féle aminosavból szintetizált tripeptidtár előállítása párhozamos és osztásos-keveréses módszerrel
Forrás: saját szerkesztés
 
Amennyiben a 3 aminosavval egy újabb lépésben tetrapeptidet állítanánk elő, akkor a szilárd fázisú módszerrel újabb 3 reakcióra lenne szükség, és az eredmény 81 vegyület lenne három keverékben, melyek 27 vegyületet tartalmaznak keverékekként. Ugyanakkor a párhuzamos oldatfázisú szintézisnél további 81 (3×27) reakcióra lenne szükség, cserében a 81 vegyületet egyenként lehet tesztelni.
Természetesen nemcsak peptideket, hanem kismolekulákat is elő lehet állítani osztásos-keveréses technikával szilárd hordozón. A kombinatorikus kémia létrejötte éppen a kismolekulák szilárd hordozón történő szintézisének adott hatalmas lendületet. Az egyik első hazai példában dihidropirimidin-vegyületkönyvtár szilárd fázisú, osztásos-keveréses szintézisét mutatjuk be (Bata és mtsai, 1999). A Biginelli-reakció első lépésében Wang-típusú gyantához kapcsoltak karbamido-alkánsavakat, majd aromás aldehiddel létrehoztak egy Schiff-bázist. Ezt reagáltatva acetecetsav-etilészterrel kialakult a dihidropirimidin-gyűrű. A terméket trifluorecetsavval távolították el a gyantáról, a reakciók lefutását IR-spektroszkópiásan kitűnően lehetett követni (4.5.13. ábra).
 
4.5.13. ábra. Biginelli-féle dihidropirimidin-szintézis szilárd hordozón
Forrás: saját szerkesztés
 
3 karbamido-alkánsav, 2 acetecetsav észter és 20 aromás aldehid felhasználásával, osztásos-keveréses technikával 120 tagú vegyületkönyvtárat állítottak elő (4.5.14. ábra).
 
4.5.14. ábra. Egy 120 tagú dihidropirimidin-tár szintézise
Forrás: saját szerkesztés
 
A vegyületek együttes lehasítása a szilárd hordozóról a termékek közel azonos arányú keverékét szolgáltatta. Így például 8 párhuzamosan végzett hasításból 15 tagú dihidropirimidin-vegyületkönyvtárakat kaptak immár oldatban: az LC–MS felvételen mind a 15 csúcs jól látszik (4.5.15. ábra; t = 19,79 perc retenciós időnél 3 vegyület ad egy csúcsot).
 
4.5.15. ábra. Egy 15 tagú dihidropirimidin-vegyületkönyvtár LC–MS felvétele
 
A szintézist követően az alapvető kérdés, hogy egy osztásos-keveréses kombinatorikus eljárás után kapott keverékből hogyan lehet megtalálni a vezérmolekulát. A visszafejtős (dekonvolúciós) eljárás alapja, hogy minden egyes kémiai lépés után – még az összekeverés előtt – félreraknak egy kis mintát, hogy később a reakciót a legjobb komponenssel meg tudják ismételni. Amennyiben a molekula háromlépéses előállításánál sorrendben X, Y és Z helyen változtatják a szerkezetet, akkor a biokémiai mérés során először a legjobb Z komponenst fogják megtalálni: Zopt. Utána a félrerakott XY keverékeket a Zopt reagenssel kell reagáltatni, és az így kapott XYZopt keverékeket lemérni. Ekkor megkapják a legjobb Y komponenst (Yopt), majd utolsó lépésként elő kell állítani és egyenként le kell mérni az összes XYoptZopt molekulát, hogy megtalálják a legjobb XoptYoptZopt vegyületet. Az alábbiakban éppen egy ilyen példát mutatunk be.
A Merck kutatói osztásos-keveréses technikával szilárd hordozón egy 128 000 tagú indol-vegyületkönyvtárat készítettek (Willoughby és mtsai, 2002). A Fischer-féle indolszintézist szulfonamid-gyantán végezték. Első lépésben 20 különböző ketosavat (X építőelem) kapcsoltak a hordozóhoz a szokásos amidképzési technikával (DIC, DMAP). Ezek mindegyikéből félreraktak egy adagot a dekonvolúciós eljáráshoz, majd a többit összekeverték, 20 egyenlő részre osztották és 20 különböző arilhidrazin (Y építőelem) mindegyikével reagáltatták cink-klorid jelenlétében, ecetsavban. Az indolgyűrű képződése után újra félreraktak mindegyik mintából, majd egyenlő arányban összekeverték a polimer gyöngyöket (amely keverék most már 400 vegyületet tartalmazott). Ezt 80 egyenlő részre osztották és Mitsunobu-reakcióban pentafluor-benzilalkohollal alkilezték (Ph3P, DEAD), ily módon aktiválva a szulfonamidokat. A termékeket ezután kétféleképpen hasították le a gyantáról: egyrészt 80 különféle aminnal (Z építőelem) reagáltatva amid-vegyületkönyvtárakat kaptak, másrészt a megismételt eljárással kapott amidokat in situ borán-dimetilszulfid komplex segítségével aminná alakították, így állítva elő újabb 80, egyenként 400 amint tartalmazó vegyületkönyvtárat. Az egész eljárást másféle ketosavval (20), arilhidrazinnal (20) és aminnal (20) megismételve a kutatók 320 csoportban összesen 128 000 indolt állítottak elő, a csoportok egyenként 400 vegyületet tartalmaztak (4.5.16. ábra).
 
4.5.16. ábra. Fischer-féle indolszintézis szilárd hordozón
Forrás: saját szerkesztés
 
Elsőként a 320 csoport közül legaktívabb Z komponenseket tartalmazó vegyületkönyvtárakat határozták meg (4.5.1. táblázat.), majd visszafejtős módszerrel megkeresték a legjobb Y, végül a legjobb X építőelemet.
 
4.5.1. táblázat. Gátlási eredmények a legjobb Z csoportokra (400 vegyület/csoport)
 
Z1
Z2
Z3
Z4
Z5
Z6
Teszt (μM)
NK1 (1)
7
23
17
-
2
92
NK2 (1)
0
0
10
-
0
21
NK3 (1)
15
9
8
-
20
0
5-HT1a (1)
53
21
70
-
30
0
5-HT2a (0,1)
81
14
82
54
45
0
5-HT2c (0,1)
66
21
66
12
0
0
5-HT5a (5)
50
6
34
-
23
52
5-HT6 (5)
97
76
95
44
87
42
NPY1 (2)
12
8
12
8
24
0
NPY5 (2)
82
89
85
-
98
23
GnRH (1)
4
7
7
66
6
-
MCR-4 (2)
10
62
17
-
5
-
 
Látható, hogy a 2-metoxifenilpiperazin (Z6) csoportot tartalmazó vegyületek közt kell keresni a legjobb neurokinin-1-antagonistát. A visszafejtés után azonosították a legjobb vegyületet (1), mely 0,8 nM koncentrációban gátolta az NK-1 receptort (4.5.17. ábra). A táblázat adataiból az is látszik, hogy a vegyület szelektív, hiszen a többi receptoron sokkal gyengébb volt a hatása. Ezen túlmenően a kutatók további 5 vezérmolekulát találtak, melyek aktivitás és szelektivitás szempontjából további optimalizálásra alkalmasak. Volt köztük szelektív szerotonin-2a (5-HT2a), szerotonin-6 (5-HT6), neuropeptid Y5 (NPY5), gonadotropin-felszabadító hormon (GnRH) és melanokortin-4- (MCR-4) receptorantagonista (a 4.5.17. ábrán a 2, 3, 4, 5 és 6 vegyületek).
 
4.5.17. ábra. Indolvázas vezérmolekulák különféle receptorokon
Forrás: saját szerkesztés
 
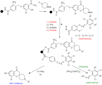
A keverékek biokémiai vizsgálatának egy kevésbé munkaigényes, de annál mutatósabb eljárását fejlesztették ki a Pharmacopeia kutatói (Burbaum és mtsai, 1995): itt minden egyes kémiai lépést egy jelzőmolekula beépítése követett. Az eljárás újszerűsége az volt, hogy a célmolekulát egy fotolitikusan hasítható kapcsolóelemen keresztül szintetizálták a szilárd hordozón, míg a kémiai lépéseket kódoló jelzőmolekulát oxidációs úton lehetett a gyantáról eltávolítani. A keverékek biokémiai vizsgálatánál egy bizonyos számú gyöngyöt fotolitikusan besugároztak, majd a több ezer lehasadó molekula közül az, amelyik aktív volt a teszten, fluoreszkálva világított. Ezeket a gyöngyöket kiemelték és lehasították róluk a jelzőmolekulát (jelen esetben egy polihalogénfenol-származékot), melynek GC-vizsgálata egyértelműen megmutatta, hogy mely reagenseket használták fel a molekula előállításához (kódolásos technika, 4.5.18. ábra).
 
4.5.18. ábra. Vezérmolekula azonosítása kódolásos technikával benzopiránkeverék-vegyületkönyvtárból
Forrás: saját szerkesztés
 
Ezzel a módszerrel azonosították az 1143 molekulát tartalmazó keverékből azt a vezérmolekulát, mely 15 nanomolos koncentrációban kötődött a glaukóma kialakulásában szerepet játszó a szénsavanhidráz (CA) II-izoenzimhez (4.5.19. ábra).
 
4.5.19. ábra. Vezérmolekula a benzopirán-vegyületkönyvtárból
Forrás: saját szerkesztés
 
Bár a kombinatorikus kémia több mint két évtizede indult hódító útjára, eddig csak egy olyan molekula került gyógyszertári forgalomba, amelyet kombinatorikus módszerrel szintetizált vegyületkönyvtárban találtak. A Bayer több mint 200 000 bisz-aril-karbamid tesztelése után azonosított egy Raf-kináz-inhibitort (Bay-43-9006, Sorbera és mtsai, 2002), melyet szorafenib néven vesedaganatok kezelésére alkalmaznak (4.5.20. ábra).
 
4.5.20. ábra. Szorafenib (korábban Bay-43-9006)
Forrás: saját szerkesztés
 
A kombinatorikus stratégiák alacsony hatékonyságát úgy magyarázzák, hogy az ily módon szintetizált molekulák két alapvető dologban különböznek a természetben található vegyületektől és a bevezetett gyógyszerektől: ritkán tartalmaznak királis centrumot és túl flexibilisek (nagy a szabad rotációk száma) (Fehér és Schmidt, 2003).

Gyógyszerkémia

Tartalomjegyzék


Kiadó: Akadémiai Kiadó

Online megjelenés éve: 2026

ISBN: 978 963 664 145 0

A kötet az Akadémiai Kiadónál 2011-ben Gyógyszerkutatás kémiája címen megjelent kézikönyv hagyományaira alapozva a kismolekulás gyógyszerkutatás eszköztárára és módszertanára fókuszál. Újdonságot jelent a magyar nyelvű szakirodalomban, hogy a modern gyógyszerkémiai felfogásnak megfelelően nem pusztán a meglévő gyógyszerkincs kémiáját mutatja be, hanem betekintést enged a kismolekulás gyógyszerek felfedezésének stratégiájába is.

Hivatkozás: https://mersz.hu/keseru-gyogyszerkemia//

BibTeXEndNoteMendeleyZotero

Kivonat
fullscreenclose
printsave