Keserű György Miklós (szerk.)

Gyógyszerkémia


4.5.4. Célzott vegyületkönyvtárak alkalmazása vezérmolekula-keresésben

Ebben a részben két olyan példát mutatunk be, ahol olyan jól sikerült a célzott vegyületkönyvtár összeállítása, hogy a kapott vezérmolekula csaknem elérte a fejlesztési jelölt státuszt.
Az eddig felfedezett ötféle neuropeptid-receptor közül az 5-ös alfaj receptora (NPY-5) számos fiziológiai folyamatot befolyásol. Több cég próbált NPY-5-receptorgátlókat kifejleszteni például az elhízás ellen, de az eddigi klinikai vizsgálatok nem hoztak átütő sikert. A GlaxoSmithKline (GSK) saját vegyületkönyvtárát szűrve jutott egy aminotiazol-származékhoz (1), mely az NPY-5 aktivitása, orális biohasznosíthatósága és az agyba történő bejutása miatt kitűnő HTS-találatnak volt tekinthető (Biagetti és mtsai, 2010). A megvásárolható aminotiazol-intermedierből (2) kiindulva számos vegyületet állítottak elő, melyek között a legerősebb affinitást egy azabiciklo[3.1.0]hexán-származék mutatta (endo-3, 4.5.26. ábra). Miután a meglehetősen merev gyűrű ellenére mindkét térszerkezetű molekula aktív volt, sztereoszelektív eljárást fejlesztettek ki mind az endo-, mind az exo-vegyület előállítására.
 
4.5.26. ábra. HTS-találat és továbbfejlesztett találat az NPY-5 teszten
Forrás: saját szerkesztés
 
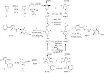
A kereskedelmi forgalomban kapható 3-pirrolint (4) terc-butiloxi-karbonil- (Boc) védőcsoporttal látták el, majd ródiumkatalizátor jelenlétében etil-diazoacetáttal (EDA) alakították ki a ciklopropilgyűrűt. A kapott két izomer (exo-6 és endo-6) ~ 3:1 arányban keletkezett, ezt kromatográfiásan szétválasztották. Utána mindkettőből aldehidszármazékot készítettek úgy, hogy az észtercsoportot előbb lítium-aluminium-hidriddel alkohollá redukálták, majd Dess-Martin- reagenssel szelektíven oxidálták exo-7 és endo-7 aldehidekké (4.5.27. ábra). Amennyiben a cilklopropilezést N-benzilmaleimidből (8) kiindulva egy difenilszulfónium-származék (9) segítségével végezték erős nukleofil (BEMP) jelenlétében, inverzió játszódott le és a kapott exo-10 és endo-10 aránya 1:3,5-re változott. Ezután az karbonilcsoportokat lítium-alumínium-hidriddel redukálták, a benzil-védőcsoportot Boc-védőcsoportra cserélték, majd az így más arányban izolált 6 észterekből a fent ismertetett módon jutottak az exo-7 és endo-7 aldehidekhez. Ezek az aldehideket aminotiazollal (2) reagáltatva egy reduktív alkilezési lépés után a tiszta endo-3 és exo-3 vegyületeket szolgáltatták.
 
4.5.27. ábra. Azabiciklo[3.1.0]hexán-intermedierek sztereoszelektív szintézise
Forrás: saját szerkesztés
 
A védőcsoport-eltávolítás után két kisebb vegyületkönyvtárat állítottak elő: egy acilezett és egy alkilezett könyvtárat (4.5.28. ábra).
 
4.5.28. ábra. Alkil- és acil-azabiciklo[3.1.0]hexán-vegyületkönyvtárak előállítása
Forrás: saját szerkesztés
 
Az N-acetil-származék kivételével (endo-15) az ily módon előállított összes alifás és aromás amid erősen kötődött az NPY-5 receptorhoz (4.5.3. táblázat). Az egyik legígéretesebb az izopropil-amid volt (endo-16; Ki = 2,5 nM), amely 22 receptorral és ioncsatornával szemben szelektívebbnek bizonyult. Vezérmolekulának már megfelelt a vegyület, de volt három farmakokinetikai paramétere, mely nem tette lehetővé továbbfejlesztését: patkányban túl gyors volt az elimináció (Clint = 137 ml/min/kg), alacsony volt az biohasznosíthatóság (F = 6%), és kicsinek bizonyult a vér/agy gáton való átjutás is (B/B = 0,7). (Ezek az értékek az 1 vegyület esetében mind jobbak voltak, 4.5.26. ábra). A paraméterek további javítása már a vezérmolekula-optimalizálás feladatkörébe tartozik.
 
4.5.3. táblázat. Azabiciklo[3.1.0]hexán-vegyületek aktivitása az NPY-5 receptoron
 
R1
vegyület
R2
hNPY-5
(Ki; nM)
 
-
endo-15
Me
2500
 
-
endo-16
i-Pr
2,5
 
 
exo-17
Ph
12,6
 
 
endo-17
Ph
2,5
endo- 36
1-Feniletil
4
 
A rákellenes gyógyszerek kutatásában különösen fontos szerephez jutnak a kismolekulájú kinázgátlók. Az inzulinszerű növekedési faktor 1-es receptorának (IGF-1R) nagy szerepe van a rákos sejtek növekedésében és ellenálló képességében. A Bristol-Myers Squibb (BMS) kutatói egy célzott kináz-vegyületkönyvtárat vizsgálva találtak egy közepesen aktív pirazolopirimidin-családot (Wittman és mtsai, 2009). Ugyanakkor a HTS-ben néhány egyéb család is mutatott némi aktivitást, amelyekben a közös elem az aminopirazol-rész volt (4.5.29. ábra). A vegyületek célfehérjével képzett komplexeit egykristály-röntgendiffrakcióval vizsgálva bizonyították, hogy ez a szerkezeti elem ténylegesen jól illeszkedik a receptorhoz. Mivel a pirazolo-pirimidin-váz számos kináz inhibitorra jellemző, a vegyészek úgy döntöttek, hogy azt a kevésbé ismert – így könnyebben szabadalmaztatható – pirrolotriazin-vázra cserélik. Néhány, elsőnek szintetizált molekula méréséből kiderült, hogy az aminopirazol 4-es szénatomján rendkívül előnyös a ciklopropil-helyettesítés.
 
4.5.29. ábra. HTS-találat és tervezés az IGF-1R-gátlók körében
Forrás: saját szerkesztés
 
Ezek után nekiláttak egy célzott vegyületkönyvtár létrehozásának. Az eljárás kiindulási anyaga a 3,5-dikloro-pirrolo[1,2-f][1,2,4]triazin (4) volt, ezt 5-ciklopropil-3-aminopirazollal reagáltatva jutottak az 5 intermedierhez. A szintézis kulcslépése a 3-as helyzetű klóratom lecserélése volt különböző aminokkal, amit magas hőmérsékleten (170 oC), mikrohullámú reaktorban végeztek. A legjobb helyettesítő az (S)-prolin, illetve az (S)-2-metilprolin volt (6 és 7 vegyületek), ezekből amidálással rendkívül aktív vegyületekhez (8 és 9) jutottak (4.5.30. ábra).
 
4.5.30. ábra. A pirrolo[1,2-f][1,2,4]triazin-vegyületkönyvtár előállítása
Forrás: saját szerkesztés
 
A biokémiai adatokból kitűnik, hogy az (S)-prolinból képzett 8a ötször aktívabb, mint az (R)-változat (8b). Az aromás és heteroaromás helyettesítők erőteljesen megnövelték az affinitást a szabad NH2-csoporthoz képest (8c, 8f), az R1 helyzetben metilt tartalmazó molekulák nagyobb szelektivitást mutattak a CDK2E kinázokkal szemben (4.5.4. táblázat).
 
4.5.4. táblázat. Azabiciklo[3.1.0]hexánok hatása az IGF-1R- és CDK2E-teszten
 
R1
R2
IGF-1R
(IC50, nM)
CDK2E
(IC50, nM)
LHDa
(mg/kg)
8a
H (S)
NH2
41
2
 
8b
H (R)
NH2
199
24
 
8c
H (S)
NHPh
13
322
 
8d
H (S)
NH(4-Me-Ph)
40
1422
 
8e
H (S)
NMePh
717
200
 
8f
H (S)
2-NH-tiazol
2
40
 
8g
H (S)
3-NH-piridin
9
577
 
9a
Me (S)
2-NH-tiazol
4
329
12,5
9b
Me (S)
3-NH-piridin
6
1423
25
9c
Me (S)
2-pirazin
3
897
6,25
9d
Me (S)
3-NH-6-F-piridin
2
1035
6,25
Megjegyzés: a LHD = Legkisebb hatékony dózis az IGF-SAL modellen
 
Az IGF1R- és CDK2E-gátlási adatok alapján a négy utolsó vegyület (9a–d) került további vizsgálatra. Hatékonyságukat egy gyors, transzgénalapú IGF-Sal egérmodellben mérték (ebben a tesztben a rákos sejt a kétszeresére növekszik mindössze két nap alatt). Kiderült, hogy a kiválasztott négy legjobb vegyületből a 9c és 9d már 6,25 mg/kg dózisban is teljesen megállítja a rákos sejtek növekedését, míg a 9a csak 12,5 mg/kg, a 9b pedig 25 mg/kg dózisban mutatta ugyanezt a hatást. Ugyanakkor a 9c nagyobb dózisban toxikusnak bizonyult. Ezek alapján a legjobb molekula a 9d, melynek optimalizált, méretnövelt szintézisét a 7 vegyületből a 10 gyűrűs amid köztiterméken keresztül valósították meg (4.5.30. ábra).
A 9d molekula nemcsak az IGF-1R-t gátolta, de a szabályozófolyamat következő lépcsőjében szereplő Akt és MAPK receptorokat is (IC50 = 13 nM, ill. 22 nM). Természetesen elvégezték a molekula teljes ADME- és farmakokinetikai jellemzését is: a 9d vegyület kitűnő felszívódási adattal (Caco-2: 141×10–7 cm/s) és közepestől jó értékig terjedő biohasznosulással rendelkezett. Bár a vizsgált négyféle állatmodellben a leggyorsabb kiürülés éppen az egérben volt, az IGF-SAL eredmények azt mutatták, hogy a plazmakoncentráció elegendő a biológiai hatás elérésére (4.5.5. táblázat).
 
4.5.5. táblázat. A 9d átlagos kiürülése és biohasznosíthatósága néhány állatmodellben
 
Cltot (mL/min/kg)
F (%)
Egér
113
6
Patkány
20
30
Kutya
3,5
59
Majom
41
8
 
A molekulát gyógyszerbiztonsági szempontból is vizsgálták: a CyP450 enzimeket legfeljebb több mikromolos koncentrációban gátolta, a különböző ioncsatornákon (K, Ca, Na) nem mutatott aktivitást (4.5.6. táblázat), se genotoxikus (AMES-teszt negatív), se hepatotoxikus tulajdonsága (> 50 μM koncentrációig) nem volt.
 
4.5.6. táblázat. A 9d hatása az ioncsatornákon és a CyP450 enzimeken
Ioncsatornák gátlása
IC50 (μM)
CyP450 enzimek gátlása
IC50 (μM)
hERG (K+) > 10
3A4 (BzR) > 40
L-típusú Ca2+ > 10
3A4 (BCF) 7
Na+ > 10
2C19 11
 
2C9 23
 
2D6 > 40
 
1A2 > 40
 
Ennek alapján a molekula BMS-754807 vállalati kódszámmal került fázis I vizsgálatra, ahol az első humán adatok szerint alacsony a kiürülés és magas a biohasznosulás, ami nagyon biztató a további fejlesztés szempontjából. Tehát a kutatóknak egy jól megválasztott célzott vegyületkönyvtárból nemcsak egy vezérmolekulát, hanem rövid idő alatt egy gyógyszerjelöltet is sikerült azonosítaniuk.

Gyógyszerkémia

Tartalomjegyzék


Kiadó: Akadémiai Kiadó

Online megjelenés éve: 2026

ISBN: 978 963 664 145 0

A kötet az Akadémiai Kiadónál 2011-ben Gyógyszerkutatás kémiája címen megjelent kézikönyv hagyományaira alapozva a kismolekulás gyógyszerkutatás eszköztárára és módszertanára fókuszál. Újdonságot jelent a magyar nyelvű szakirodalomban, hogy a modern gyógyszerkémiai felfogásnak megfelelően nem pusztán a meglévő gyógyszerkincs kémiáját mutatja be, hanem betekintést enged a kismolekulás gyógyszerek felfedezésének stratégiájába is.

Hivatkozás: https://mersz.hu/keseru-gyogyszerkemia//

BibTeXEndNoteMendeleyZotero

Kivonat
fullscreenclose
printsave