Keserű György Miklós (szerk.)

Gyógyszerkémia


4.9.3. Vezérmolekula választás a gyakorlatban

Az előző részben összefoglaltuk a vezérmolekula választás szempontjait és megmutattuk, hogy a kiválasztás kritériumai az egyes vállalatoknál akár jelentős mértékben is különbözhetnek. A vezérmolekula kiválasztásának szerteágazó szempontjai és a sokszor igen szigorú kritériumok között nyilvánvaló, hogy megfelelő vezérmolekulát találni egyáltalán nem egyszerű feladat. A gyógyszeripari kutatásokat jellemző időkorlátok mellett a kritériumok egy része szinte bizonyosan nem teljesül, ezért a vezérmolekula választás a gyakorlatban mindig gondos mérlegelés eredménye. Ennek során az előző fejezetekben ismertetett szempontok szerint jellemzett vezérmolekula jelölteket összehasonlítják és az egyes molekulák esetében mérlegelik a kritériumokkal ütköző tulajdonságok jelentette kockázatokat. A rendelkezésre álló idő alatt általában nem találunk olyan vezérmolekulát, illetve vegyületcsaládot, sőt vegyületcsaládokat, amelyek valamennyi kritériumnak egyaránt megfelelnek. Ezért a gyakorlatban a sikeres vezérmolekula választás nagy részben a korábban szerzett tapasztalatokon és a kockázatok reális értékelésén múlik.
Az AstraZeneca kutatói az elmúlt években számos vezérmolekula kiválasztásáról számoltak be. Ezek a példák igen változatos célpontokat ölelnek fel a GPCR típusú fehérjéktől, az ioncsatornákon át egészen a kinázokig. A következőkben ezeket az eseteket elemezzük és a kritériumok és kockázatok áttekintése mellett kitérünk a vezérmolekula választás sajátos szempontjaira is.
A CXCR2 chemokin receptor antagonisták azonosítását célzó kutatási programban megvalósított nagy áteresztőképességű tesztelés során egy triazol-tiol származékot (T1) találtak (Baxter és munkatársai, 2003). A vegyület jellemzése rámutatott arra, hogy in vitro hatékonysága, patkány hepatocitákon mért metabolikus stabilitása és lipofilitása elmarad a vállalatnál alkalmazott általános vezérmolekula kritériumoktól (4.9.7. táblázat). A kiindulópont e kedvezőtlen sajátságainak javítása céljából végzett korai optimálása során, a vázat két helyen változtatva, közel 50 vegyületet állítottak elő. Ezek az erőfeszítések vezettek egy szubsztituált triazol-tiol származék (VM1) azonosításához, amelyet vezérmolekulává választottak.
 
4.9.7. táblázat. A CXCR2 antagonista programban azonosított T1 találat és VM1 vezérmolekula jellemzése
Tulajdonság
Kritérium
T1
VM1
In vitro
hatékonyság
Kötődés pIC50 (pA2) < 7
Funkcionális pIC50 (pA2) < 7
5,3
5,6
7,5
7,3
Metabolikus stabilitás
(intrinszik klírensz)
Patkány hepatocita
<14 µl min-1 106 sejt
19
26
 
Humán mikroszóma
<23 µl min-1 mg-1
13
14
Plazma fehérje kötődés
< 99,5 %
-
99,0
Patkány iv. PK
Klírensz <35 ml min-1 kg-1
Megoszlási térfogat > 0,5 l kg-1
Felezési idő: > 0,5 h
12
1,3
3,4
12
8
9
Patkány biohasznosulás
> 10 %
-
61
MW
< 450
268
336
Oldhatóság
> 10 µg ml-1
-
20
logP
< 3
3,4
4,3
logD
< 3
-
3,2
 
A vezérmolekulaként választott vegyület esetében a kötődési affinitást és a funkcionális aktivitást is sikerült jelentős mértékben javítani. A patkány hepatocitán mért metabolikus stabilitás ugyan nem érte el a megfelelő szintet, viszont a kiindulóponthoz képest mintegy felére csökkent. Ugyanakkor a humán mikroszómán mért metabolikus stabilitás értéke mindkét vegyület esetében megfelelt a kritériumoknak. Az in vitro hatékonyság javítása a molekulatömeg és a logP, illetve logD növekedésével járt együtt. A molekulatömeg ezzel együtt is a kritériumon belül maradt, a logP és logD azonban a küszöbértéket meghaladja. Ez az eltérés a biológiai közegekben lényegesebb logD esetében lényegesen kisebb mértékű, így a vegyület logD tekintetében közel teljesíti is a kritériumot. A vezérmolekulaként azonosított vegyület patkány PK profilja igen bíztató képet mutat, így a javuló patkány metabolikus stabilitás, a közel elfogadható logD és az in vivo PK alapján a kritériumot nem teljesítő patkány metabolikus stabilitás érték és az enyhén emelkedett lipofilitás jelentette kockázat vállalhatónak látszik.
A célponton végzett HTS a triazol-tiolok mellett egy másik, tizaolopirimidin (T2) típusú kiindulópontot is szolgáltatott (Baxter és munkatársai, 2006). Hasonlóan a korábban azonosított T1 kiindulóponthoz, e kiindulópont esetében is az in vitro hatékonyság és a patkány metabolikus stabilitás értéke sérti az általános vezérmolekula kritériumokat. A T2 kiindulópontot három helyen módosítva közel 30 származékot állítottak elő, ezek közül a vezérmolekula kritériumoknak leginkább VM2 vegyület felelt meg (4.9.8. táblázat).
 
4.9.8. táblázat. A CXCR2 antagonista programban azonosított T2 találat és VM2 vezérmolekula jellemzése
Tulajdonság
Kritérium
T2
VM2
In vitro
Hatékonyság
Kötődés pIC50 (pA2) < 7
Funkcionális pIC50 (pA2) < 7
5,0
5,7
7,8
7,4
Metabolikus stabilitás
(intrinszik klírensz)
Patkány hepatocita
<14 µl min-1 106 sejt
49
 
4
 
Humán mikroszóma
<23 µl min-1 mg-1
18
31
Plazma fehérje kötődés
< 99,5 %
-
98,4
Patkány iv. PK
Klírensz <35 ml min-1 kg-1
Megoszlási térfogat > 0,5 l kg-1
Felezési idő: > 0,5 h
-
-
-
25
1,9
1,2
Patkány biohasznosulás
> 10 %
-
15%
MW
< 450
270
397
Oldhatóság
> 10 µg ml-1
27
0,5
logP
< 3
2,0
3,1
logD
< 3
2,9
3,4
 
Bár a korai optimálás során az in vitro hatékonyságot jelentősen sikerült javítani, ez az eredmény a molekulatömeg és a lipofilitás növekedésének rovására valósult meg. Érdekes módon a patkány és humán in vitro metabolikus stabilitás adatok ellentétes irányban változtak. Míg a patkány hepatocitán mért metabolikus stabilitás javult, addig a humán mikroszómán mért metabolikus stabilitás csökkent. Utóbbi kedvezőtlen változás hátterében feltehetően egy humán specifikus metabolikus átalakulás áll. Jóllehet a lipofilitás növekedése sem logP-ben, sem pedig logD-ben kifejezve nem volt jelentős, a vegyület oldhatósága mégis drasztikusan csökkent. Valószínűleg éppen a vegyület oldhatóság limitált felszívódása lehet a felelős a mérsékelt biohasznosulásért. Tekintetbe véve a humán metabolikus stabilitás értékének a kritériumtól való kismértékű eltérését, valamint a vegyületcsaládban előállított vegyületek nagyobb humán metabolikus stabilitását úgy tűnik van esély e paraméter javítására. A legnagyobb kihívást a vegyületcsalád esetében a rossz oldhatóság jelenti, ezt végső esetben formulációval kísérelhetik meg javítani. Mindezek alapján a közel kritériomon lévő lipofilitás, az enyhén csökkent humán metabolikus stabilitás, de még a rossz oldhatóság is vállalható kockázatot jelent. Jóllehet VM1 vezérmolekula profilja és a család tulajdonságai előnyösebbek VM2-nél az AstraZeneca ezt a vegyületcsaládot is a vezérmolekula optimálásba emelte.
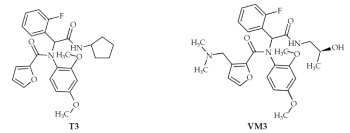
A harmadik GPCR antagonista vegyületcsaládot a C5a receptor gátlására kívánták kifejleszteni (Sanganee és munkatársai, 2009). A HTS során két rokonszerkezetű vegyületet találtak, amelyek közül T3 rendelkezett nagyobb in vitro hatékonysággal (4.9.9. táblázat).
 
4.9.9. táblázat. A C5a antagonista programban azonosított T3 találat és VM3 vezérmolekula jellemzése
Tulajdonság
Kritérium
T3
VM3
In vitro
hatékonyság
Funkcionális pIC50 (pA2) < 7
6,9
5,5
Metabolikus stabilitás
(intrinszik klírensz)
Patkány hepatocita
<14 µl min-1 106 sejt
>150
12
Humán mikroszóma
<23 µl min-1 mg-1
>150
3
MW
< 450
467
514
Oldhatóság
> 10 µg ml-1
Alacsony
Alacsony
logD
< 3
3,1
0,8
 
A T3 kiindulópont ugyanakkor minden egyéb szempontból javításra szorult. Metabolikus stabilitása mindkét speciesen elégtelennek bizonyult, amit ráadásul gyenge oldhatóság, nagy molekulatömeg és lipofilitás kísért. A korai optimálás elsődleges feladata az in vitro hatékonyság fenntartása mellett a metabolikus stabilitás javítása volt. Mivel mind a humán, mind a patkány metabolikus stabilitás alacsony volt, célszerűnek látszott a metabolikusan érzékeny pontok azonosítása. A metabolizmus vizsgálat alapján a furán gyűrű metil csoportján oxidálódott termék volt a fő metabolit. A metabolikus átalakulás visszaszorítása és a metabolikus stabilitás javítása érdekében mintegy 25, a furán gyűrűn helyettesített származékot állítottak elő. Ezek közül a VM3 metabolikus stabilitása volt a legkedvezőbb. Sajnálatos módon VM3 kedvező lipofilitása mellett is gyenge oldhatósággal, nagy molekulatömeggel és igen gyenge in vitro hatékonysággal rendelkezett. A vegyületcsaládban előállított összes hatékony vegyület metabolikus stabilitása alacsony volt. Ugyanakkor minden valamennyire is metabolikusan stabil vegyület gyakorlatilag inaktívnak mutatkozott. Az ehhez társuló gyenge oldhatóság és nagy molekulatömeg a vegyületcsalád további optimálását rendkívül kockázatossá és így a vezérmolekula kiválasztását lehetetlenné tette.
A következő példában egy purinerg ioncsatorna, a P2X7 receptor antagonisták körében végzett vezérmolekula keresésre mutatunk példát (Baxter és munkatársai, 2003). A célponton futtatott funkcionális tesztelésen alapuló HTS segítségével sikerült azonosítani a T4 jelű kiindulópontot (4.9.10. táblázat). Az AstraZeneca kutatói T4 szerkezete alapján arra a következtetésre jutottak, hogy a biszamid szerkezet komplexitásának csökkentése érdekében érdemes a megpróbálkozni a monoszubsztituált T5 adamantil-amid szintézisével. Meglepő módon T5 hatékonysága megmaradt, sőt az egyik aromás klór cseréjével sikerült egy rendkívül hatékony T6 származékhoz jutni. Ebben az esetben a korai optimálás egy klasszikus, fragmentáláson alapuló stratégiáját alkalmazták, amelynek során az eredeti T4 találatnak megkeresték azt a szerkezeti részletét, amely még aktív és ennek módosításával jutottak el a tényleges kiindulóponthoz (T6). Fontos megjegyezni, hogy a fragmentáló stratégia sikeres végrehajtása úgy vezetett a hatékonyság növeléséhez, hogy közben az eredeti T4 találathoz képest T6 esetében mind a molekulatömeg, mind pedig a lipofilitás csökkent.
 
4.9.10. táblázat. A P2X7 antagonista programban azonosított T6 vegyület és VM4 vezérmolekula jellemzése
Tulajdonság
Kritérium
T6
VM4
In vitro
hatékonyság
Funkcionális pIC50 (pA2) < 7
8,1
7,4
Metabolikus stabilitás
(intrinszik klírensz)
Patkány hepatocita
<14 µl min-1 106 sejt
>100
 
5
Humán mikroszóma
<23 µl min-1 mg-1
-
21
Patkány iv. PK
Klírensz <35 ml min-1 kg-1
Megoszlási térfogat > 0,5 l kg-1
Felezési idő: > 0,5 h
-
-
-
47
2,0
1,0
MW
< 450
304
309
logP
< 3
4,5
3,1
 
A korai optimálás legfontosabb feladata T6 gyors metabolizmusának visszaszorítása volt. Ennek érdekében előbb optimálták az adamantil és aril gyűrűket összekötő láncot, majd a metabolikus stabilitást a vegyületek lipofilitásának csökkentésével kísérelték meg javítani. Szintetikus okok miatt a vegyületek polaritásának változtatását az aromás molekularészlet helyettesítésével oldották meg. Több mint 30 különböző származék előállítása után jutottak VM4-hez, amelynek lipofilitása csaknem megfelelt a kritériumnak. A stratégia helytállóságát igazolja, hogy a csökkent lipofilitás a vegyület metabolikus stabilitásának jelentős javulását eredményezte. VM4 patkány és humán in vitro metabolikus stabilitása egyaránt megfelel a kritériumnak. Az egyetlen kockázatot a patkány in vivo klírensz határértéket meghaladó értéke jelenti, amely azonban a többi ADME és PK adat birtokában vállalhatónak tűnik. Ezek alapján VM4 vegyületet az AstraZeneca vezérmolekulaként ismerte el és az optimálás fázisába emelte.
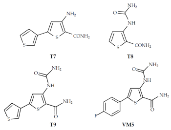
Az utolsó példa egy kináz inhibitor programból származik, amelynek célja új IKK-2 inhibitorok azonosítása volt (Baxter és munkatársai, 2004). A program kezdetén rekombináns IKK-2 enzimen végrehajtott HTS eredményeképpen két találatot (T7 és T8) sikerült azonosítani (4.9.11. táblázat). A két találat szerkezete alapján fragmensnek tekinthető, ezért az AstraZeneca kutatói kutatói a fragmensek optimálásánál általánosan alkalmazott kapcsoláson és összeolvasztáson (linking/merging) alapuló stratégiát választották. Ezzel jutottak T9-hez, ami rendkívül hatékony, megfelelő molekulatömegű és lipofilitású kiindulópontnak bizonyult. A vegyület legfontosabb gyengesége a gyenge patkány és humán metabolikus stabilitás volt, amelyet az iv. patkány farmakokinetika (határértéket meghaladó klírensz, határértéken lévő megoszlási térfogat és felezési idő, határérték alatti biohasznosulás) is megerősített. Ennek megfelelően a korai optimálás elsődleges feladata a metabolikus stabilitás és az in vivo farmakokinetikai paraméterek javítása volt.
 
4.9.11. táblázat. Az IKK-2 inhibitor programban azonosított T9 vegyület és VM5 vezérmolekula jellemzése
Tulajdonság
Kritérium
T9
VM5
In vitro
hatékonyság
Funkcionális pIC50 (pA2) < 7
7,2
7,2
Membrán permeabilitás
> 10 cm s-1 10-7
102
122
Metabolikus stabilitás
(intrinszik klírensz)
Patkány hepatocita
<14 µl min-1 106 sejt
21
 
2
Humán mikroszóma
<23 µl min-1 mg-1
43
8
Plazma fehérje kötődés
< 99,5 %
93,1
92,5
Patkány iv. PK
Klírensz <35 ml min-1 kg-1
Megoszlási térfogat > 0,5 l kg-1
Felezési idő: > 0,5 h
51
6
1,6
0,7
0,4
1,4
Patkány biohasznosulás
> 10 %
7%
78%
MW
< 450
267
279
Oldhatóság
> 10 µg ml-1
>50
1,2
logP
< 3
1,7
2,1
 
Mivel T9 oldhatósága és in vitro membrán permeabilitása is megfelelőnek bizonyult, az ADME adatokból egyértelműen kiderül, hogy a gyenge farmakokinetika a rossz metabolikus stabilitásnak köszönhető. A korai optimálás elsődleges célja ennek megfelelően a metabolikus stabilitás javítása volt. Ennek érdekében közel 30 vegyületet állítottak elő. A metabolikusan érzékeny terminális tiofén gyűrűt a bioizosztéria szabályai szerint előbb fenil csoportra cserélték, majd ezt követően a fenil gyűrű metabolikusan érzékeny 4-helyzetébe egy fluor atomot vezettek be. Így jutottak VM5-höz, amely az oldhatóság kivételével már minden paraméterét tekintve megfelelt a vezérmolekulákkal szemben támasztott követelményeknek. Figyelembe véve VM5 kiváló farmakokinetikai adatait a vegyület gyenge oldhatósága nem jelent vállalhatatlan kockázatot. Ennek megfelelően VM5-öt az AstraZeneca vezérmolekulának fogadta el és megkezdte teljes körű optimálását.

Gyógyszerkémia

Tartalomjegyzék


Kiadó: Akadémiai Kiadó

Online megjelenés éve: 2026

ISBN: 978 963 664 145 0

A kötet az Akadémiai Kiadónál 2011-ben Gyógyszerkutatás kémiája címen megjelent kézikönyv hagyományaira alapozva a kismolekulás gyógyszerkutatás eszköztárára és módszertanára fókuszál. Újdonságot jelent a magyar nyelvű szakirodalomban, hogy a modern gyógyszerkémiai felfogásnak megfelelően nem pusztán a meglévő gyógyszerkincs kémiáját mutatja be, hanem betekintést enged a kismolekulás gyógyszerek felfedezésének stratégiájába is.

Hivatkozás: https://mersz.hu/keseru-gyogyszerkemia//

BibTeXEndNoteMendeleyZotero

Kivonat
fullscreenclose
printsave