Keserű György Miklós (szerk.)

Gyógyszerkémia


4.10.4.2. A vezérmolekula azonosítása

Az ifenprodilból induló vezérmolekula-keresés első kihívása az alfa-1-receptor-aktivitás drasztikus csökkentése és az NR2B-affinitás növelése volt. A következőkben áttekintjük a különböző cégek vezérmolekula-azonosítására irányuló törekvéseit (Borza, Domány, 2006).
Az ifenprodil két aszimmetriacentrumot tartalmaz, ezért kézenfekvőnek látszott a sztereoizomerek elválasztása és biológiai aktivitásuk vizsgálata. A Pfizer kutatói azt feltételezték, hogy az egyes sztereoizomerek aktivitása az alfa- és az NR2B-receptorokon eltérő lehet. Ennek érdekében előállították az eritro- és treo-formákat, amelyek vizsgálatával arra a következtetésre jutottak, hogy a treo-ifenprodil nagyobb affinitással kötédik az NMDA-receptorokhoz, mint az alfa-1-receptorhoz, ezáltal ez a sztereoizomer kedvezőbb kiindulópontul szolgálhat a vezérmolekula azonosítását célzó kutatásokhoz (4.10.19. ábra).
 
4.10.19. ábra. A Pfizer ifenprodilból induló vezérmolekula-keresése
Forrás: saját szerkesztés
 
Ezt követően a Pfizer kutatói a treo-ifenprodil szerkezetének szisztematikus módosításával a szerkezet–hatás összefüggések feltérképezésére törekedtek. Megállapították, hogy a molekula bal oldalán a fenolos hidroxilcsoport, a jobb oldalán pedig a piperidingyűrűhöz kapcsolódó benzilcsoport nélkülözhetetlen az NMDA-gátláshoz. Alapvető felismerést jelentett a piperidingyűrű 4-helyzetébe bevitt hidroxilcsoport szerepe, amelynek következtében az alfa-1- receptor-affinitást teljes egészében sikerült kiküszöbölni (1). Ezt a vegyületet vezérmolekulának tekintve további optimalizálással jutottak a CP-101,606 jelű vegyülethez, amely kulcsszerepet játszott az NR2B-mechanizmus terápiás lehetőségeinek felderítését célzó klinikai vizsgálatokban.
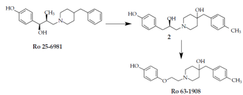
A Pfizerhez hasonlóan a Roche kutatói is az ifenprodilt választották kémiai kiindulópontként (4.10.20. ábra). Az ifenprodil alifás láncának hosszát változtatva egy ifenprodil-homológhoz jutottak (Ro 25-6981), amely mind in vitro, mind in vivo vizsgálatokban felülmúlta az anyavegyületet, de alfa-1-receptor-affinitása továbbra is jelentős maradt.
 
4.10.20. ábra. A Roche ifenprodilból induló vezérmolekula-keresése
Forrás: saját szerkesztés
 
Az alfa-1 affinitás csökkentése érdekében az alifás láncon elhagyták a metilcsoportot, és a piperidingyűrűn alkalmazták a Pfizer által leírt 4-hidroxi-helyettesítést. Az így nyert vegyület az NR2B-receptorokat továbbra is hatékonyan gátolta, miközben alfa-1-receptor-affinitása számottevően csökkent. A vegyület alifás láncának további módosításával jutottak az Ro 63-1908 vegyülethez, amely esetében az alfa-1-szelektivitás a korábbiakhoz képes némiképp csökkent, de továbbra is jelentős maradt (350-szeres), azonban a molekula fizikai kémiai és farmakokinetikai sajátságai lehetővé tették a vegyület vezérmolekulaként történő azonosítását.
A vegyület további fejlesztését végül a kardiális káliumcsatornák családjába tartozó hERG-csatorna jelentős mértékű gátlása és az ehhez kapcsolódó kardiovaszkuláris mellékhatások kockázata miatt leállították.
A Parke-Davis és a vele együttműködő CoCensys kutatói már nem közvetlenül az ifenprodilból indultak ki, hanem az ifenprodil farmakofór tulajdonságait alapul véve egy meglepően egyszerű szerkezetű és rendkívül hatékony NR2B-antagonistát írtak le (Co-101677). A vezérmolekula-keresés során előállították a vegyület láncban merevített analógjait, valamint több kondenzált heterociklusos képviselőt is, amelyek mind jelentős hatékonysággal gátolták az NR2B-receptorok működését (4.10.21. ábra).
 
4.10.21. ábra. A Cocensys NR2B-antagonista hatással rendelkező kiindulópontjai
Forrás: saját szerkesztés
 
A CoCensys kutatóinak fontos felismerése volt, hogy a farmakokinetikai szempontból kedvezőtlen szabad aromás hidroxilcsoportot helyettesíteni lehet hidrogénkötés-donort tartalmazó heterociklusos szubsztituensekkel.
 
4.10.22. ábra. A Cocensys-kiindulópontok optimalizálásával nyert NR2B-antagonista vegyületek
Forrás: saját szerkesztés
 
A maszkírozott hidroxilcsoportot tartalmazó vegyületek köréből, további optimalizálás eredményeképpen, azonosították a bezonprodilt (CI-1041), amely sikeres preklinikai fejlesztést követően klinikai vizsgálatokra került (4.10.22. ábra).
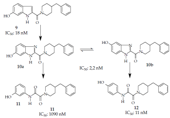
A klasszikus ifenprodil farmakofórt megvalósító vegyületek egyik közös hátránya a molekulákban megtalálható bázikus nitrogéncentrum. A Roche Ro 63-1908 vegyület hERG-csatorna-gátló hatásában ez a bázikus sajátság alapvető szerepet játszik. Ennek fényében válik igazán lényegessé a Cocensys-kutatók azon felismerése, amely szerint az NR2Bantagonizmus bázikus nitrogént nem tartalmazó vegyületekkel is kiváltható. Bár a 33 vegyület is az ifenprodil farmakofór körbe tartozik, a Richter kutatóinak figyelmét éppen a bázikus nitrogén hiányával hívta fel. A CoCensys vegyület α,β telítetlen ketonfunkcióját először egy indolgyűrű formájában maszkírozták, majd az így kapott vegyület kedvező hatékonyságán felbuzdulva számos indol- és benzimidazolszármazékot állítottak elő (4.10.23. ábra).
 
4.10.23. ábra. A Richter NR2B-antagonista vezérmolekula-keresése: indol-2-karbonsavamidok
Forrás: saját szerkesztés
 
A benzimidazolt tartalmazó vegyületek esetében két tautomer forma jelentkezésével kell számolni, és a két tautomer formát elvileg kétféleképpen lehet felnyitni. Az így levezethető két oxálsavamid egymástól a hidroxilcsoportok helyzetében különbözik (4.10.24. ábra).
 
4.10.24. ábra. A Richter NR2B-antagonista vezérmolekula-keresése: oxálsavamidok
Forrás: saját szerkesztés
 
Mindkét származékot elkészítve a vegyületek NR2B-affinitása számottevően különbözött, így a hatékonyabb vegyület szolgált vezérmolekulaként a további optimalizálás során. Az elsősorban a farmakokinetikai tulajdonságok javítását célzó optimalizálás eredményeképpen azonosították a radiprodil (RGH-896) vegyületet, amely a sikeres preklinikai fejlesztést követően klinikai vizsgálatokra került (4.10.25. ábra).
 
4.10.25. ábra. A Richter NR2B-antagonista fejlesztési jelöltje
Forrás: saját szerkesztés
 
A Merck kutatói egy HTS-találatból indultak ki, mely egyrészt szintén az ifenprodil farmakofórnak megfelelően fejti ki hatását, másfelől pedig a Richter kutatói által azonosított indolszármazékokkal mutat nagyfokú hasonlóságot (4.10.26. ábra).
 
4.10.26. ábra. A Merck NR2B vezérmolekula-keresése
Forrás: saját szerkesztés
 
A benzilpiperidinszármazékot előbb diariléterré alakították, majd a fenolos hidroxilcsoport megfelelő pozíciójának megtalálását követően azt mezilamino-csoportként maszkírozva jutottak egy, a vezérmolekula kritériumainak megfelelő vegyülethez. A vegyületcsalád további optimalizálása végül nem vezetett fejlesztési jelölt azonosításához.

Gyógyszerkémia

Tartalomjegyzék


Kiadó: Akadémiai Kiadó

Online megjelenés éve: 2026

ISBN: 978 963 664 145 0

A kötet az Akadémiai Kiadónál 2011-ben Gyógyszerkutatás kémiája címen megjelent kézikönyv hagyományaira alapozva a kismolekulás gyógyszerkutatás eszköztárára és módszertanára fókuszál. Újdonságot jelent a magyar nyelvű szakirodalomban, hogy a modern gyógyszerkémiai felfogásnak megfelelően nem pusztán a meglévő gyógyszerkincs kémiáját mutatja be, hanem betekintést enged a kismolekulás gyógyszerek felfedezésének stratégiájába is.

Hivatkozás: https://mersz.hu/keseru-gyogyszerkemia//

BibTeXEndNoteMendeleyZotero

Kivonat
fullscreenclose
printsave