Keserű György Miklós (szerk.)

Gyógyszerkémia


5.1.2. A vezérmolekula-optimalizálás eszközei, kihívásai

A vezérmolekula optimalizálása során úgy változtatjuk a kémiai szerkezetét, hogy az a különböző tulajdonságait javítsa. Ugyanakkor könnyű elképzelni, hogy egy olyan változás, ami a célponthoz való kötődést segíti, a sejtes aktivitást negatívan befolyásolhatja. Még egy adott molekularészlet megváltoztatása (pl. hidrogén cseréje hidroxilcsoportra) is vezethet ellentétes változásokhoz attól függően, hogy a molekula melyik részén hajtjuk végre. Az alábbiakban néhány egyszerű és viszonylag általános érvényű szabályt mutatunk be, amelyek segíthetnek a tervezésben, de ne lepődjünk meg, ha a mi adott gyógyszerkutatási programunkban nem a várt változást érjük el. Próbáljuk megérteni az egyes kémiai sorozatainkban a szerkezet–hatás összefüggést és annak molekuláris okait, és akkor javulnak az esélyeink ebben a bonyolult, de szép játszmában. Az alábbi áttekintésben arra leszünk kíváncsiak, hogy egy adott funkciós csoport beépítése milyen hatással lehet a molekula oldott állapotból a fehérjével kötött állapotba való átmenetét kísérő energiaváltozásra (kötődési nyereség–deszolvatációs ár), hogyan változtatja meg az adott molekula fizikai-kémiai paramétereit (polaritás–logD, poláris felület nagysága–PSA, oldhatóság) és ebből eredően egyes biológiai sajátságait (nem specifikus fehérjekötődés, felszívódás, membránokon átjutás képessége).
Az 5.1.2. ábra sematikusan bemutatja, hogy egy olyan egyszerű és alapvető molekuláris tulajdonság, mint a polaritás megváltoztatása, milyen sokféle úton fejtheti ki hatását. Amennyiben hidrofób jellegű csoportot építünk be molekulánkba, ennek gyakran a célfehérjéhez való erősebb kötődés az eredménye, ami önmagában pozitív változás. Fontos azonban megismerni, hogy ez az affinitásnövekedés valamilyen specifikus hatás (pl. a célfehérjénk hidrofób felszíni részletén levő vízmolekula kiszorítása) eredménye-e, vagy csak a fehérje hidrofób felszíni részletéhez való nem specifikus illeszkedés okozza. Amennyiben a második esetről van szó, és ez szokott gyakoribb lenni, akkor a nagyobb hidrofób karakterrel rendelkező vegyületünk más fehérjékhez (pl. off-target fehérjék, plazmafehérjék, CyP450 enzimek) való kötődése is erősebbé válik, ami a gyógyszerkutatási programunk szempontjából előnytelen.
 
5.1.2. ábra. A kémiai szerkezeti elemek hatása a fizikai és biológiai paraméterekre
Forrás: saját szerkesztés
 
A lipofil jelleg növelésének további hatása a vizes oldhatóság csökkenése, ami a gyógyászati alkalmazás korlátja lehet. Szájon át való adagolás esetén például fontos, hogy a vegyületünk a felszívódás helyén, a gyomorban vagy a bélben oldható legyen, így a lecsökkent oldhatóság csökkent felszívódáshoz vezethet. Ugyanakkor a megnövekedett lipofil jelleg segítheti az apoláris lipidmembránokon való átjutást, ami pozitív hozadék. Ez a példa már sugallja, hogy a polaritásnak (lipofil jelleg, logD) általában egy optimális tartományban kell mozognia és általában sem a túl poláris, sem a túl apoláris vegyületek nem lesznek jó gyógyszerjelöltek. Ez a biológiai célpont és beviteli út függvényében természetesen átértékelődhet. Amennyiben például egy sejten kívüli célpontot szeretnénk intravénás úton bevihető gyógyszerrel támadni, úgy a fokozottan poláris jelleg nem okoz gondot.
Látható, hogy a gyógyszerjelöltek polaritása milyen befolyással lehet viselkedésükre biológiai rendszerekben, ezért érdemes áttekinteni a gyógyszerjelöltekben leggyakrabban előforduló funkciós csoportokat és azok hatását az őket hordozó molekulára (5.1.3. ábra, Ertl és mtsai, 2020). A sor elejére kívánkoznak azok a csoportok, amelyek fiziológiás körülmények között (amilyen a legtöbb biológiai célpont környezete is), azaz 7,4-es pH-n töltést hordoznak. Idetartoznak a megfelelő savasságú és ezáltal deprotonált állapotban negatív töltést hordozó, valamint a kellően bázikus és ezért protonált állapotban pozitív töltést hordozó molekularészletek. A gyógyszervegyületeinkben a leggyakoribb savas részletek a karboxilát- és acil-szulfonamid-csoportok, míg a bázisos csoportok közé az alifás aminok és a guanidin-motívumok tartoznak. Fontos megjegyezni, hogy a szubsztitúciós mintázat nagyban befolyásolhatja egy karbonsav savasságát vagy egy amin bázikusságát, így fontos kísérleti úton is vizsgálnunk a különböző töltött és semleges formák eloszlását a pH függvényében. A töltött csoportok erős kölcsönhatást tudnak kiépíteni a célfehérje ellentétes töltésű csoportjaival és az oldószerként jelenlevő vízzel is. Amennyiben jó helyre rakunk egy ilyen csoportot a molekulánkban, úgy jelentős affinitásnövekedést érhetünk el, ha viszont nem optimális az elhelyezése, úgy ez akár számottevő aktivitáscsökkenéshez is vezethet. A töltött csoport jelenléte számottevően növeli a vegyületünk polaritását (csökkenti a logD-t) és ebből eredően a poláris felszín nagyságát és a molekula oldhatóságát is. Ugyanakkor általában rontja az apoláris membránokon való passzív átjutás lehetőségét, ami a sejtes aktivitástól a felszívódásig gondot jelenthet. Érdemes megemlíteni, hogy ezt a „negatív hatást” tompíthatjuk, ha a molekulán belül lehetőség van hidrogénhíd kialakulására. Ennek megléte kísérletileg is tetten érhető, ilyenkor a vegyület számított (PSA) és kísérletes (EPSAexperimental PSA) poláris felülete között nagy a különbség a számított javára. A töltésből eredő negatív következményekkel magyarázható, hogy a biológiai rendszerekben elterjedt többértékű savak (pl. foszfátok, foszfonátok, szulfátok, szulfonátok) miért csak speciális felhasználású, például infúzióban adható gyógyszerekben jelennek meg. A töltött csoport jelenléte általában számottevő hatással lehet a nem specifikus fehérjekötődésre és ezen keresztül a szabad koncentrációra, így érdemes azt is kísérletileg vizsgálni.
A poláris funkciós csoportok legnépesebb családját a gyógyszerjelöltekben a hidrogénhíd kialakítására donorként és/vagy akceptorként képes molekularészletek teszik ki. Az ő esetükben is lehetőség nyílhat az affinitás számottevő növelésére, míg a megnövekedett polaritásból eredő negatív következmények általában kevésbé súlyosak, mint a töltést hordozó csoportoknál. Természetesen itt is nagyon fontos, hogy a molekulánk melyik részére építjük be a funkciós csoportot. Ennek elsődleges oka az, hogy a hidrogénhíd-kötések irányított kölcsönhatások, melyek hatékonysága nagyban függ a donor és az akceptor távolságától és térbeli elhelyezkedésétől.
 
5.1.3. ábra. A bioaktív molekulákban leggyakrabban előforduló funkciós csoportok
Forrás: saját szerkesztés
 
Az apoláris funkciós csoportok közül kiemelést érdemelnek a halogének, valamint a π-elektronrendszerük kapcsán másodlagos kölcsönhatás kialakítására alkalmas olefinek, acetilének és (hetero)aromás helyettesítők. Közös jellemzőjük, hogy általában a gyógyszerjelölt lipofil jellegét erősítik, így önmagukban nem specifikus kölcsönhatások kialakítására is alkalmasak. Ugyanakkor, ha megfelelő irányítottsággal a célfehérjénk közelébe kerülnek, úgy specifikus, a kötődést erősítő kölcsönhatások (pl. halogénhíd, π–π kölcsönhatás) kialakítására is lehetőség nyílhat.
Mint azt korábban megállapítottuk, a gyógyszerjelölt „gyógyszerszerűsége” (oldhatóság, membránokon átjutás) szempontjából létezik egy optimális lipofilitási tartomány. Ugyanakkor a célponthoz való hatékony kötődés esetleg megkívánhatja, hogy a gyógyszerjelöltünk vagy nagyon lipofil, vagy nagyon hidrofil legyen, azaz kívül esik a kívánatos tartományon. Ezen ellentmondás feloldására találták ki a prodrug-koncepciót. A prodrug a hatóanyagunknak egy olyan, kémiailag módosított formája, amely önmagában általában nem aktív a célponton, és az élő szervezetben, jellemzően a jelen levő enzimek vagy kémiailag reaktív csoportok hatására, hatékonyan visszaalakul a hatásért felelős molekulává.
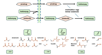
A leggyakoribb prodrugtípusokat az 5.1.4. ábra mutatja be (Rautio és mtsai, 2018). Amennyiben a molekulánk ionizálódó csoportot (karbonsav, bázikus amin) tartalmaz, úgy célunk a polaritás csökkentése, amit legegyszerűbben a töltés elrejtésével oldhatunk meg. Ennek leggyakoribb módja a karbamát- (uretán), amid-, észter- vagy karbonátcsoport kialakítása, melynek hidrolízisét a szervezetben több enzim is biztosíthatja. Ezen prodrugmotívumok kialakíthatók hidroxilcsoportot hordozó poláris gyógyszerjelöltekből is. Ugyanakkor, ha a gyógyszerjelöltünk túlzottan lipofil és a polaritását szeretnénk megnövelni, úgy a hidroxil- vagy aminocsoportot könnyen ionizálódó foszfátrészlettel módosíthatjuk. Ez a prodrugtípus különösen intravénásan adagolható gyógyszerek esetén népszerű. Fontos elvárás, hogy a gyógyszerjelöltnek a prodrugból való felszabadulása során a melléktermékként keletkező vegyület ne legyen toxikus.
 
5.1.4. ábra. A leggyakrabban használt prodrugmotívumok. A módosítót piros szín jelöli
Forrás: saját szerkesztés
 

Gyógyszerkémia

Tartalomjegyzék


Kiadó: Akadémiai Kiadó

Online megjelenés éve: 2026

ISBN: 978 963 664 145 0

A kötet az Akadémiai Kiadónál 2011-ben Gyógyszerkutatás kémiája címen megjelent kézikönyv hagyományaira alapozva a kismolekulás gyógyszerkutatás eszköztárára és módszertanára fókuszál. Újdonságot jelent a magyar nyelvű szakirodalomban, hogy a modern gyógyszerkémiai felfogásnak megfelelően nem pusztán a meglévő gyógyszerkincs kémiáját mutatja be, hanem betekintést enged a kismolekulás gyógyszerek felfedezésének stratégiájába is.

Hivatkozás: https://mersz.hu/keseru-gyogyszerkemia//

BibTeXEndNoteMendeleyZotero

Kivonat
fullscreenclose
printsave