Keserű György Miklós (szerk.)

Gyógyszerkémia


6.2.1.1. A-vitamin

Felfedezése és szerkezete
Már az 1880-as évektől kezdődően megfigyelték egy addig még ismeretlen, zsírban oldódó anyag kiemelkedő tulajdonságát (Lunin, 1881). Az 1910-es évektől több kutatócsoport is szemet és növekedést befolyásoló anyagot keresett (McCollum, valamint Osborne és Mendel). 1915-ben a zsírokból koncentrálták az A-vitamint, még mindig csak keverékként (McCollum és Davis), és 1931-ben sikerült kromatográfiás módszerrel megtisztítani és pár éven belül teljes szerkezetét meghatározni (Karrer, 1931). Első sikeres kristályosítása 1937-ben történt meg (Holmes és mtsa, 1937). 1940-től megoldották a szintézisét is, és ebben a korszakban számtalan cikk született a hiányában és feleslegében kialakuló kórképekről, szervezetünkben betöltött szerepéről. Az állati zsíroktól eltérően A-provitaminként (β-karotin) növényekben is megtalálható (6.2.1. ábra, Lerner, 2024; Fülöp és mtsai, 2010).
A természetes A-vitaminok közé három anyagot sorolunk: a retinolt, a retinalt és a retinolsavat (6.2.1. ábra). Ezeken felül több szintetikus származék is ismert, amelyekkel együtt ezeket a vegyületeket retinoidoknak nevezzük. A 20 szénatomos, 4 izoprénegységből felépülő primer alkohol, a retinol, a diterpének közé tartozik. A ciklohexéngyűrű oldalláncában négy kettős kötést tartalmaz, melyek egyrészt egymással és a gyűrű kettős kötésével is konjugációban vannak, valamint mind E konfigurációjú, vagyis a retinol ún. all-E” izomer. Az all-E-retinolon kívül a (11Z)-retinol- (neoretinol, 6.2.2. ábra) izomer is természetes anyag, és kiemelt szerepe van a látásban (Fülöp és mtsai, 2010).
 
6.2.1. ábra. A β-karotin és az A-vitamin természetes származékai
Forrás: saját szerkesztés
 
Metabolizmusa
Minden, a szervezetünkben előforduló A-vitamin vagy állati eredetű forrásból származék, vagy növényi eredetű A-provitaminból állítja elő a szervezetünk. Utóbbi esetben az előállítását a β-karotin-15,15’-dioxigenáz (BCO1) katalizálja, mely a β-karotin 15,15’-szenei között peroxidkötés kialakításával katalizálja két izoprénegységre (retinalokra) történő bontását. A retinal átalakulása retinollá az emberi szervezetben reverzibilis folyamat, amit a retinol-dehidrogenáz (RDH, mely szövetekre specifikus lehet) katalizál, míg a retinal-dehidrogénáz által katalizált retinal-oxidáció retinolsavvá irreverzibilis átalakulás (Fülöp és mtsai, 2010; Marriott és mtsai, 2020).
Amennyiben állati eredetű forrásból származik a retinol, úgy azt a vékonybél hámsejtjei (enterociták) veszik fel, míg észter-származékait először retinil-észter-hidrolázok alakítják alkohollá. β-Karotin formáját speciális membrán-transzporterek veszik fel, melyek mennyiségét a szérum A-vitamin-szintje fordítottan befolyásolja (Tripkovic és mtsai, 2012; Sarath és mtsai, 2024; Shuler és mtsai, 2012, Ringe és mtsai, 2007; Akiba és mtsai, 1998). A felvett β-karotin ezt követően alakul át retinollá (BCO1, majd RDH segítségével) és a felvett retinollal észterekké alakítja a szervezetünk (lecitin: retinol-aciltranszferáz; Gillis és mtsai, 2022), majd a változatlanul maradt β-karotinnal és egyéb lipidekkel kilomikronokat alkot és jut be a nyirokrendszerbe, majd vérkeringésbe. Táplálkozás után a kilomikronokat és a bennük található A-vitamint legnagyobb részben a máj lipolízist követően veszi fel, de kisebb hányadban közvetlenül a szervezet sejtjeihez is eljut. Az étkezések között a keringő vérben lévő A-vitamin java feltehetőleg diffúzióval jut be a sejtekbe (Marriott és mtsai, 2020).
Az A-vitamin raktározásában a máj parenchyma-sejtjei, hepatocitái és nem parenchymás Ito-sejtjei (HSC) vesznek részt. A hepatociták felelnek a kilomikron, így az A-vitamin felvételéért és elsődleges tárolásáért (a teljes mennyiség 10–20%-a), azonban a hosszú távú raktározásért főleg a HSC-k felelhetnek (teljes mennyiség 80–90%-a). Mivel BCO1 megtalálható minden olyan szövetben, melynek normális működéséhez szükséges az A-vitamin, így a β-karotin tárolásáért akár ezek is felelhetnének, azonban ez nem tisztázott (Marriott és mtsai, 2020).
Lebontása és szervezetünkből való eltávolítása feltehetőleg egyrészt retinil- és retinoil-β-glükuronidok szintézisén keresztül történhet. Ezek szintén hathatnak, de feltételezések szerint ezek nagyobb eséllyel katabolikus termékek, és filtrálódnak a veséből. Ugyanakkor az irreverzibilisen keletkező retinolsav túlzott felhalmozódását megakadályozandó, három CyP450 enzim is annak további oxidációjára specializálódott (Marriott és mtsai, 2020).
 
Szerepe és hiánya esetén kialakuló betegségek
Wald amerikai biológus 1935-ben felismerte, hogy a retinal döntő szerepet játszik a látás biokémiai folyamatában. Az 1980-as években pedig kiderült (Chambon és Evans), hogy a retinol savszármazéka, a retinolsav (tretinoin) a sejtdifferenciálódási folyamatokat szabályozó, hormonhatású molekula (Fülöp és mtsai, 2010).
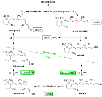
Wald 1930-as években végzett alapvető tanulmányai óta ismert, hogy a retina fotoreceptorai (pálcikák és csapok) és az alattuk húzódó retina pigmenttartalmú epitél sejtjei (RPE) nagy koncentrációban tartalmazzák a retinal, a retinol és a retinil-észter 11Z- és all-E-izomerjeit. Az A-vitamin látásban kifejtett hatását gyakran az „A-vitamin vizuális ciklusának” vagy egyszerűen „vizuális ciklusnak” nevezik (Marriott és mtsai, 2020).
Az RPE-be jutva a retinolból (észtereződés, izomerizáció, majd hidrolíziskaszkádon átesve) 11Z-retinol lesz, amit egy szemspecifikus RDH 11Z-retinaldehiddé oxidál. Innen a fény érzékeléséért felelős fotoreceptorokba kerül, majd Schiff-bázist képez az opszinnal, és a látópigmentet, a rodopszint alkotja. Egy foton hatására a kötött 11Z-retinaldehid Z konfigurációjú kettős kötése fotoizomerizáción megy keresztül, amely G-fehérje aktiválódásához, membrán depolarizációjához, majd jel továbbításához vezet az agy felé. Az all-E-retinaldehid disszociál az opszinról, és a fotoreceptorokra specifikus RDH által all-E-retinollá redukálódik. Végül az all-E-retinol visszakerül az RPE-be, ahol a látási ciklus újrakezdődik (6.2.2. ábra, Fülöp és mtsai, 2010, Marriott és mtsai, 2020).
 
6.2.2. ábra. A látási ciklus biokémiai folyamatai
 
A retinolsav felelős – a szem fényérzékelésén kívül – a szervezetben zajló egyéb A-vitamin-függő folyamatok fenntartásáért. A retinolsav erős, transzkripciót szabályozó vegyület, amely a ligandumfüggő transzkripciós faktorok nukleáris hormon szupercsaládjának tagjain keresztül fejti ki hatását. Kanonikusan a három retinolsav-receptor (RARα, RARβ és RARγ) a három retinoid X-receptorral (RXRα, RXRβ és RXRγ) – melyek nukleáris hormonreceptorok szteroid/tiroid/retinoid szupercsaládjának tagjai – együtt közvetítik az A-vitamin transzkripciós szabályozó tevékenységét. Több mint 500 különböző gén reagál transzkripcionálisan az A-vitaminra. Az A-vitamin által szabályozott gének listája kiterjedt csakúgy, mint a gének által támogatott fiziológiai válaszoké: részt vesznek a normál sejtosztódás és -differenciálódás szabályozásában, a fehérje- és nem peptid hormonok szintézisében, valamint befolyásolják az extracelluláris mátrix átalakítását, és befolyásolnak több, a lipid anyagcseréjében és transzportjában részt vevő enzimeket kódoló gént (Marriott és mtsai, 2020).
Hiánybetegségei kapcsán megjegyzendő, hogy a májban történő raktározásának köszönhetően egy megfelelő táplálkozást követő ember hónapokig is kibírhatja A-vitamin-hiányos étkezésre váltva.
Az A-vitamin hiánya továbbra is jelentős közegészségügyi probléma a fejlődő világban. Szerepet játszik az emberi anyagcsere-betegségek, köztük az elhízás, a cukorbetegség, a májbetegségek és a szív- és érrendszeri betegségek, valamint a proliferatív rendellenességek, köztük a rákos megbetegedések és a bőrbetegségek kiváltásában/megelőzésében. Ugyanakkor csökkent mennyisége elsőként a látásban betöltött szerepénél jelenik meg, szemszárazság (xerophthalmia) formájában. Ennek első szakasza a farkasvakság, amit kezeletlen állapotban 5 szakasz, végül visszafordíthatatlan vakság követ (Marriott és mtsai, 2020).
A-vitamin túladagolás a táplálkozással bevitt származékokkal szinte lehetetlen, csak kiegészítő A-vitamin-bevitel mellett lehetséges. Ugyanakkor igen ritka, és a legtöbb tünet a feleslegben bevitt kiegészítő elhagyását követően megszűnik. Nem elhanyagolható azonban az A-vitamin és származékainak potenciális teratogén hatása, mely a sejtek osztódására és differenciálódására kifejtett hatásából következik (Marriott és mtsai, 2020). Ezen okból kifolyólag terhes nőknek/terhességet tervező nőknek nem ajánlott az A-vitamin nagy mennyiségben történő bevitele.
 
Származékai
Az A-vitamin származékait két fő indikációban alkalmazzák: vitaminhiány (retinol és észterei), valamint bőrbetegségek. A származékokat szerkezetük és szelektivitásuk alapján négy generációba sorolják (6.2.1. táblázat, 6.2.3. ábra).
 
6.2.1. táblázat. Az A-vitamin -zármazékok generáción alapuló besorolása
Generációk
Megkülönböztetés alapja
Származékok
Első
természetes származékok
retinol, tretinoin (retinolsav), izotretionin, alitretionin
Második
szintetikus származékok orális alkalmazásra
etretinát, acitretin
Harmadik
retinoidális benzoesav-származékok
adapalen, bexaroten, tazaroten
Negyedik
topikális retinoid, szelektivitással az epidermis RAR receptorára
trifaroten
 
A retinolt (A1-vitamin) vitaminhiányos állapotok kezelésére használják. Acetát- vagy palmitát-észtere van forgalomban kombinációkban más vitaminokkal, nyomelemekkel (Fülöp és mtsai, 2010).
A tretinoin (all-E-retinolsav) az első, topikálisan alkalmazott származék, melyet különböző akne- és ráncosodáskezelésekre alkalmaznak. Előbbi esetében feltehetőleg az izotretinoinnal hasonló mechanizmussal hat, míg utóbbi esetében az epidermális sejtek ciklusának regulálásával gyorsabb cserélődésüket okozza. Továbbá fokozott kollagénszintézist és csökkent kollagénbontást okoz (Sitohang és mtsai, 2022). Ezzel összefüggésben off-label a bőr más elváltozásaira, például keratózisokra és hiperpigmentációra is alkalmazzák (Sitohang és mtsai, 2022; Motamedi és mtsai, 2022). Orálisan alkalmazzák még akut promielotikus leukémiában is, melyben elősegíti a daganatos sejtek helyes differenciálódását (Gillis és mtsai, 2022).
Hasonló felhasználásban (akne) van az izotretinoin, a retinolsav 13Z-izomerje. A faggyútermelő sejtek apoptózisának indukálásával csökkenti a faggyútermelést, így megelőzi a pórusok eltömődését és az aknét okozó baktériumok elszaporodását. Ezt a bőrben dominánsan jelen lévő RARγ-ra szelektívebb kötődésével fejti ki (Layton és mtsai, 2009; Piérard és mtsai, 2009).
Az alitretinoint, a 9E-retinolsav-izomert antineoplasztikus hatással Kaposi-szarkómában, topikálisan alkalmazzák (Aboulafia és mtsai, 2003).
A második generációs acitretinnél a retinolsav ciklohexéngyűrűjét aromás elemre cserélték, míg az etretinát esetében ezen savszármazék etil-észter-analógját állították elő. Mindkettő orális bevitellel pszoriázis kezelésére alkalmazott származék, pontos hatásmechanizmusuk nem ismert (Zito és mtsai, 2024; Mutschler és mtsai, 2001).
A harmadik generációs származékok közös szerkezeti eleme a benzoesav. Ez különböző összekötő elemekkel kapcsolt szubsztituált aromás gyűrűkhöz. Az adapalen esetében a benzoesav-elem egy naftoesav-elem része, ami az A-vitamin-származékok instabil kettős kötés rendszerét cseréli. Ezzel a cserével a retinolra és retinolsavra jellemző fény- és oxigénérzékenységet nagymértékben csökkenthették. Továbbá a fenoxi-adamantil-eleme adta nagy lipofilitása segíti a vegyület penetrációját a faggyúmirigyekbe, és alacsony perkutánáthatolást biztosítva csökkenti toxicitását. Fő indikációja az acne vulgaris, külsőleges formában. Ebben az indikációjában lehet további támogatására a toll-like receptor 2 (TLR-2) down-regulációját előidéző hatása, ami az aknéban elterjedt kórokozó Cutibacterium acnes hatására gyulladásos folyamatot indítana be (Meunier és mtsai, 1998).
Az acetilénszármazék tazaroten észter típusú prodrug, mivel a topikális alkalmazás után a szervezetbe jutva hidrolízisen megy át, ami aktív metabolitot, tazaroténsavat eredményez. Pontos hatásmechanizmusa nem ismert, azonban más retinoidokhoz hasonlóan hat a RAR és RXR receptorokon, azonban bőrspecifikusabb hatásához hozzájárulhat a RARγ-hoz szelektívebb kötődése (Yen és mtsai, 2004).
Az orálisan alkalmazott bexaroten indikációja a T-sejtes limfómában szenvedő betegek bőrmanifesztációinak kezelése. Szelektíven csak a retinoidreceptorokat (RXR) aktiválja a retinolsav-receptorokkal szemben (RAR), azonban pontos hatásmechanizmusa nem ismert. Off-label mellrák, nem kissejtes tüdőrák és Kaposi-szarkóma kezelésére is alkalmazzák (Esteva és mtsai, 2003; Dragnev és mtsai, 2007).
 
6.2.3. ábra. A-vitamin-származékok szerkezetei
Forrás: saját szerkesztés
 
Szintén topikális alkalmazásban a trifaroten indikációja az acne vulgaris, melyet a tazarotenhez vagy izotretinoinhez hasonló, azonban annál erősebb RARγ-szelektív kötődésével fejt ki (16-szor és 65-ször a β-hoz és α-hoz képest, Aubert és mtsai, 2018).

Gyógyszerkémia

Tartalomjegyzék


Kiadó: Akadémiai Kiadó

Online megjelenés éve: 2026

ISBN: 978 963 664 145 0

A kötet az Akadémiai Kiadónál 2011-ben Gyógyszerkutatás kémiája címen megjelent kézikönyv hagyományaira alapozva a kismolekulás gyógyszerkutatás eszköztárára és módszertanára fókuszál. Újdonságot jelent a magyar nyelvű szakirodalomban, hogy a modern gyógyszerkémiai felfogásnak megfelelően nem pusztán a meglévő gyógyszerkincs kémiáját mutatja be, hanem betekintést enged a kismolekulás gyógyszerek felfedezésének stratégiájába is.

Hivatkozás: https://mersz.hu/keseru-gyogyszerkemia//

BibTeXEndNoteMendeleyZotero

Kivonat
fullscreenclose
printsave