Gyógyszerkémia
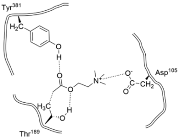
6.9.4.1. Direkt kolinergizgatók
Tartalomjegyzék
- Gyógyszerkémia
- Impresszum
- Előszó
- Szerzők
- Köszönetnyilvánítás
- 1. A gyógyszerkutatás és -fejlesztés folyamata
- 1.1. Bevezetés
- 1.2. A gyógyszerkutatás és -fejlesztés formái
- 1.3. Az eredeti gyógyszerkutatás és -fejlesztés lépései
- 1.4. A fejlesztésre kiválasztott molekula kialakítása
- 1.5. A preklinikai fejlesztés szakasza
- 1.6. A klinikai fázis I vizsgálat
- 1.7. A klinikai fázis II vizsgálat
- 1.8. A klinikai fázis III vizsgálat
- 1.9. Törzskönyvezés és életciklus-management
- 1.10. Három magyar eredetű gyógyszer az Egyesült Államokban
- 1.11. Irodalomjegyzék
- 1.1. Bevezetés
- 2. Molekuláris célpontok a gyógyszerkutatásban
- 2.1. A gyógyszercélpontok jellegzetességei, mechanizmusalapú megközelítések
- 2.2. A molekuláris/terápiás célpont hitelesítése
- 2.3. A kielégítetlen orvosi igény, a differenciálhatóság és az üzleti szempontok szerepe a célpontválasztásban
- 2.4. A szabadalmi rendszer szerepe a gyógyszerkutatásban
- 2.5. Irodalomjegyzék
- 3. Új modalitások a gyógyszerkutatásban
- 4. Vezérmolekula-keresés
- 4.1. A kémiai kiindulóponttól a vezérmolekuláig vezető folyamat
- 4.2. Kémiai kiindulópont keresése nagy áteresztőképességű szűréssel
- 4.3. Kémiai kiindulópont-keresés fragmensszűréssel
- 4.4. Kémiai kiindulópont-keresés alapváz-helyettesítéssel
- 4.5. Vegyületkönyvtárak a felfedező gyógyszerkutatásban
- 4.5.1. Vegyületkönyvtárak szintézisének felmerülése, történeti előzményei
- 4.5.2. Célzott vegyülettárak a vezérmolekula keresésében
- 4.5.3. A célzott vegyületkönyvtárak szintézise
- 4.5.4. Célzott vegyületkönyvtárak alkalmazása vezérmolekula-keresésben
- 4.5.5. Új technológiák a vegyületkönyvtárak szintézisében és alkalmazásaik
- 4.5.5.1. DNS-kódolt vegyületkönyvtárak (DEL)
- 4.5.5.2. Könyvtárszintézis áramlásos reaktorokban
- 4.5.5.3. Dinamikus kombinatorikus kémia
- 4.5.5.4. Fragmensalapú vegyületkönyvtárak
- 4.5.5.5. Kovalens kötést kialakító vegyületkönyvtárak
- 4.5.5.6. Kovalens fragmens-vegyületkönyvtárak
- 4.5.5.7. Fénnyel aktiválható kovalens fragmens- és kismolekula-vegyületkönyvtárak
- 4.5.5.1. DNS-kódolt vegyületkönyvtárak (DEL)
- 4.5.1. Vegyületkönyvtárak szintézisének felmerülése, történeti előzményei
- 4.6. Gyógyszertervezési módszerek a vezérmolekula-keresésben
- 4.7. Integrált kiindulópont-keresés
- 4.8. A kémiai kiindulópontok és a vezérmolekula-kiválasztás szempontjai (Balogh György Tibor)
- 4.8.1. Fizikai kémiai tulajdonságok a gyógyszerkutatásban
- 4.8.2. ADME-T-tulajdonságok a gyógyszerkutatásban
- 4.8.3. A korai ADME-T-tulajdonságok vizsgálati módszerei és gyógyszerkémiai alkalmazásuk
- 4.8.3.1. In vitro kémiai (PAMPA) sejtes hatóanyag-penetráció- és aktívtranszport-vizsgálat
- 4.8.3.2. A plazmafehérje-kötődés vizsgálata
- 4.8.3.3. In vitro metabolizmusvizsgálat (mikroszomális, CyP, egyéb enzimek)
- 4.8.3.4. In vitro mellékhatás, toxicitási és mutagenitásvizsgálatok
- 4.8.3.5. In vivo mellékhatás- és toxicitásvizsgálatok
- 4.8.3.1. In vitro kémiai (PAMPA) sejtes hatóanyag-penetráció- és aktívtranszport-vizsgálat
- 4.9. A vezérmolekula azonosítása (Keserű György Miklós)
- 4.10. Esettanulmányok (Keserű György Miklós)
- 4.10.1. Természetes anyagok mint kémiai kiindulópontok: a vareniklin (Chantix) felfedezése
- 4.10.2. Fragmensalapú megközelítés a vezérmolekula-keresésben: az ABT-263 felfedezése
- 4.10.3. A nagy áteresztőképességű szűrés (HTS) a vezérmolekula-keresésben: a szitagliptin (Januvia) felfedezése
- 4.10.4. Vezérmolekula-keresés irodalmi előzmények alapján (scaffold hopping): NR2B-altípus-szelektív antagonisták felfedezése
- 4.10.5. Irodalomjegyzék
- 5. Vezérmolekula-optimalizálás
- 6. Hatástani kategóriák
- 6.1. A tápcsatorna és az anyagcsere
- 6.2. Vitaminok
- 6.3. Véralvadásra ható szerek
- 6.4. A szív- és érrendszerre ható szerek
- 6.5. Az endokrin rendszer
- 6.5.1. Női nemi hormonok és gátlóik
- 6.5.2. Férfi nemi hormonok és gátlóik
- 6.5.3. Hipofízis- és hipotalamuszhormonokra ható szerek
- 6.5.4. A szénhidrát-anyagcsere gyógyszerei
- 6.5.5. Pajzsmirigyműködésre ható szerek
- 6.5.6. A kalcium- és csontanyagcsere gyógyszerei
- 6.5.7. Irodalomjegyzék
- 6.6. Az immunrendszerre és a gyulladásra ható szerek
- 6.6.1. A gyulladás molekuláris alapjai
- 6.6.2. Immunszupresszánsok
- 6.6.2.1. T-limfocita-aktivációt gátló szerek
- 6.6.2.2. B-sejt-aktivációt módosító szerek
- 6.6.2.3. B-sejt-differenciálódást gátló szerek
- 6.6.2.4. Proteoszóma-gátló szerek
- 6.6.2.5 Komplementrendszert gátló szerek
- 6.6.2.6. Anticitokin szerek
- 6.6.2.6.1. Nem specifikus citokingátlók
- 6.6.2.6.2. Specifikus citokingátlók
- 6.6.2.6.3. Citokinreceptor-jelátvitel-gátlók (Janus-kináz- (JAK) gátlók)
- 6.6.2.6.4. Kemokinek és sejtadhéziós molekulák antagonistái
- 6.6.2.6.5. Több celluláris támadáspontú immunszupresszív szerek
- 6.6.2.6.6. Egyéb immunszupresszív szerek
- 6.6.2.6.1. Nem specifikus citokingátlók
- 6.6.3. Gyulladáscsökkentő szteroidok
- 6.6.4. Nem szteroid gyulladáscsökkentők, láz- és fájdalomcsillapítók
- 6.6.5. Betegségmódosító antireumatikus szerek (DMARD)
- 6.6.6. Köszvényellenes szerek
- 6.6.7. Antihisztaminok és egyéb allergiaellenes szerek
- 6.6.8. Irodalomjegyzék
- 6.7. Fertőzések és paraziták
- 6.7.1. Antibakteriális szerek
- 6.7.1.1. Antibakteriális szulfonamidok. Szintetikus antituberkulotikumok
- 6.7.1.2. Kinolonkarbonsav-származékok (fluorkinolonok)
- 6.7.1.3. Aminosav és peptid típusú antibiotikumok
- 6.7.1.4. Glikopeptid antibiotikumok
- 6.7.1.5. Béta-laktám antibiotikumok
- 6.7.1.6. Aminoglikozid antibiotikumok
- 6.7.1.7. Makrolid antibiotikumok
- 6.7.1.8. Tetraciklinek
- 6.7.2. Gombaellenes szerek
- 6.7.3. Antivirális szerek
- 6.7.4. Protozoonokra ható szerek
- 6.7.5. Irodalomjegyzék
- 6.7.1. Antibakteriális szerek
- 6.8. Daganatok és immunrendszer
- 6.9. Perifériás idegekre és izmokra ható szerek
- 6.10. A központi idegrendszerre ható szerek
- 6.10.1. Általános érzéstelenítők
- 6.10.2. Opioid analgetikumok
- 6.10.3. Antiepileptikumok
- 6.10.4. Nyugtatók, altatók és anxiolitikumok
- 6.10.5. Antipszichotikumok
- 6.10.6. Antidepresszív szerek
- 6.10.7. Alzheimer elleni és nootróp szerek
- 6.10.8. Antiparkinson szerek
- 6.10.9. Központi támadáspontú izomrelaxánsok
- 6.10.10. Irodalomjegyzék
- HATÓANYAG ADATBÁZIS
Kiadó: Akadémiai Kiadó
Online megjelenés éve: 2026
ISBN: 978 963 664 145 0
A kötet az Akadémiai Kiadónál 2011-ben Gyógyszerkutatás kémiája címen megjelent kézikönyv hagyományaira alapozva a kismolekulás gyógyszerkutatás eszköztárára és módszertanára fókuszál. Újdonságot jelent a magyar nyelvű szakirodalomban, hogy a modern gyógyszerkémiai felfogásnak megfelelően nem pusztán a meglévő gyógyszerkincs kémiáját mutatja be, hanem betekintést enged a kismolekulás gyógyszerek felfedezésének stratégiájába is.
Hivatkozás: https://mersz.hu/keseru-gyogyszerkemia//
BibTeXEndNoteMendeleyZotero