Keserű György Miklós (szerk.)

Gyógyszerkémia


6.10.4.2. A benzodiazepinek kémiája

Az anxiolitikus hatású benzodiazepinek az utóbbi évtizedekben átvették a korábban széles körben használt szedato-hipnotikumok szerepét. A történetileg fontos egykori csoportok utolsó mohikánja az alkoholok közé tartozó, három klóratommal szubsztituált terc-butil-csoportot hordozó klórbutanol, a többi, ilyen célra használt alkohol, aldehid vagy ureid mára kiszorult a terápiás használatból. A ciklikus diureid barbitálok néhány képviselője antiepileptikumként még ma is használatos, ezeket az előző, 6.10.4. fejezetben tárgyaltuk.
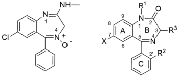
Az első anxiolitikus benzodiazepin a klórdiazepoxid volt, amelyet a Hoffmann-La Roche cégnél dolgozó Sternbach-csoport szintetizált 1959-ben (6.10.22. ábra). Szerkezetét tekintve klórozott 1,4-benzodiazepin, vagyis a benzollal kondenzált héttagú heterociklusos gyűrűben a két nitrogén 1,4-pozícióban van. Az N- atom amidinrendszer része, míg az N4 egy imin N-oxidja, vagyis egy nitroncsoport tagja. A klórdiazepoxid gyenge bázis, a protonálódás helye az N1-atom, pKa értéke 4,8 (Nikfarjam és mtsai, 2022). A benzodiazepinek szerkezetében a két planáris aromás (A és C) gyűrű nincs egy síkban, a diazepingyűrű (B) pedig két különböző torzult kád konformációt is felvehet, amelyek könnyen átalakulnak egymásba (Booth, 2013).
A további, immár 2-on-származékok általános képlete az 6.10.22. ábrán, legfontosabb képviselőik pedig az 6.10.2. táblázatban láthatók. Az N1 atom itt egy laktámcsoport része. Az aromás A gyűrűn C7-helyzetben mindig található elektronvonzó szubsztituens (–Cl, –NO2, esetleg –Br). További szerkezeti variációt az R1-, R2- és R3-szubsztituensek jelentenek. Az R1 lehet H-atom (szubsztituálatlan laktámszerkezet) vagy kis méretű alkilcsoport. A C gyűrű nem szükséges a receptorhoz való kötődéshez, ám ez a kiegészítő aromás gyűrű hozzájárulhat kedvező hidrofób vagy sztérikus kölcsönhatásokhoz. Az R2-helyettesítő a C gyűrű 2’-pozíciójában csak halogénatom, azon belül Cl vagy F lehet, míg egy para-pozíciójú szubsztituens csökkenti a hatást (Takács-Novák és Szász, 2010). Az R3 kis, poláris csoport, általában OH, amely a hatáserősséget nem, csak a kiválasztás sebességét növeli (Booth, 2013). Az iminocsoport kettős kötésének telítése a hatás csökkenéséhez vezet (Liu, 2011). A benzodiazepinek előállításának és egyéb hatástani területeken való alkalmazásának lehetőségeit a közelmúltban tekintette át egy összefoglaló közlemény (Arora és mtsai, 2020).
 
6.10.22. ábra. A klórdiazepoxid és 2-on-származékok általános szerkezete
Forrás: saját szerkesztés
 
6.10.2. táblázat. A 2-on-származékok legfontosabb képviselői.
X
R1
R2
R3
Név
Cl
CH3
H
H
diazepám
NO2
H
H
H
nitrazepám
NO2
H
Cl
H
klonazepám
Cl
H
H
OH
oxazepám
Cl
CH3
H
OH
temazepám
Cl
H
Cl
OH
lorazepám
 
A diazepám a klórdiazepoxid analógjának tekinthető, míg a nitrazepám a nor-diazepám 7-nitro-analógja. A klonazepám emellett a C5-fenilcsoport 2’-pozíciójában egy klóratomot is tartalmaz. A 3-as helyzetben hidroxilcsoporttal szubsztituált 1,4-diazepin-származékok közé tartozik az oxazepám, amely egyben a diazepám és a klórdiazepoxid aktív metabolitja, illetve ennek N-metil-származéka, a temazepám. A 3-as helyzetben szubsztituált vegyületek királisak, szemben a benzodiazepinek legnagyobb részével. Bár az (S)-enantiomer a hatásosabb, racém elegyként vannak forgalomban. Az oxazepám C-2’-klór-származéka a lorazepám.
A triciklusos, kondenzált gyűrűs benzodiazepinek szerkezetében egy triazol- vagy imidazolgyűrű kondenzálódik a diazepingyűrűhöz (6.10.23. ábra). A triazolgyűrű megtalálható az alprazolám és a brotizolám szerkezetében, míg a midazolám metilimidazol-gyűrűt tartalmaz. A brotizolám diazepingyűrűjéhez nem a szokásos benzol-, hanem egy azzal bioizosztér tioféngyűrű kapcsolódik, amely még egy brómszubsztituenst is hordoz. A flumazenil antagonista vegyület, amelyben szintén megtalálható a kondenzált imidazolgyűrű, de az 5-ös pozícióban az arilszubsztituens helyett csak egy oxocsoport található. Az elsősorban antiepileptikumként használt klobazám az eddigiektől eltérően 1,5-benzodiazepin-vázas vegyület, a magyar gyógyszerkutatók által szintetizált tofizopám pedig 2,3-benzodiazepin-származék.
 
6.10.23. ábra. Kondenzált triciklusos diazepinek és a klobazám szerkezete
Forrás: saját szerkesztés
 
A diazepingyűrű N4-atomja igen gyenge báziscentrum, pKa értéke 3 körüli (6.10.3. táblázat). A klórdiazepoxidnál a protonálódás helye az amidincsoport részét képező N1-atom, melynek bázicitása egy nagyságrenddel nagyobb. Még erősebb bázisok a triciklusos imidazolszármazékok, a midazolám esetében a pKa érték már 6,2, így ez a legjobban oldódó benzodiazepinek közé is tartozik. A triazolgyűrű bázicitása viszont még a diazepingyűrű N4-atomjánál is alacsonyabb (pKa < 1,5), inkább savként viselkedne, de a metilszubsztituens miatt a gyűrűben nincs hidrogénatom.
Az N1-en nem szubsztituált laktám típusú származékok, így például a nitrazepám, gyenge savassággal is rendelkeznek, tehát amfoter molekulák. A nitrogénatomon lévő hidrogén elektronszívó környezetben található, részint a kettes helyzetű karbonil-oxigén, főképp pedig a para-szubsztituált benzolgyűrű révén. Ennek eredménye a gyenge (pKa >10) savi jelleg, amely szokatlan az általában semleges laktámvegyületek körében.
A legtöbb benzodiazepin gyenge savi és bázisjellege miatt viszonylag széles pH-tartományban (általában pH 5–9 között) semleges, töltésmentes, lipofil formában van jelen, ami kedvező a passzív transzport szempontjából. A benzodiazepinek logP értéke 2 és 3 közé esik, így felszívódásuk passzív diffúzióval szinte teljes mértékű, agyi penetrációjuk gyors.
 
6.10.3. táblázat. Néhány anxiolitikum és szedato-hipnotikum sav-bázis tulajdonsága és lipofilitása
Vegyület
pKa
logP
klórdiazepoxid
4,8
 
2,4
diazepám
3,4
 
2,8
alprazolám
2,2
 
2,1
midazolám
2,4
6,2
3,1
nitrazepám
2,9
10,4
2,4
zopiklon
6,8
 
1,5
zolpidem
6,2
 
2,5
buspiron
1,6
7,6
2,8
 
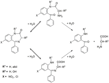
Az 1,4-benzodiazepinek oldatban sav, vagy lúg hatására könnyen bomlanak, a folyamat első lépése általában az imin hidrolízise (6.10.24. ábra felső útvonala), amelyet az amid hidrolízise követ némileg lassabban. Ha azonban a benzodiazepin tartalmaz egy elektronszívó csoportot a 3-as pozícióban (például a temazepám esetén), az lecsökkenti az N4 bázicitását és megnöveli az imin stabilitását, tehát először az amidkötés bomlik el (6.10.24. ábra alsó útvonala). A folyamat második lépésében végül egy benzofenon-származék és egy (általában szubsztituált) glicin keletkezik. A bomlás pH = 6 környékén a leglassabb. Az 1,4-benzodiazepinek nagy része fény hatására is bomlik és a királis vegyületek könnyen racemizálódnak. Kémiai stabilitásuk a lipofilitás növekedésével nő, ami összefügghet azzal a ténnyel, hogy a molekuláris aggregáció révén képződő nanorészecskék megvédik a molekulák labilis részeit. A triciklusos, kondenzált gyűrűs benzodiazepinek csak az iminocsoportjuk mentén hidrolizálódnak (Loftsson, 2021).
 
6.10.24. ábra. A benzodiazepinek hidrolízise
Forrás: saját szerkesztés
 
A májban zajló mikroszomális metabolizmus fő reakciói közé tartozik az N-desalkiláció, az alifás vagy aromás hidroxiláció, majd további konjugáció endogén, hidrofil molekulákkal, elsősorban glükuronsavval. Az esetleges nitrocsoport pedig aminocsoporttá redukálódik. (Booth, 2013).

Gyógyszerkémia

Tartalomjegyzék


Kiadó: Akadémiai Kiadó

Online megjelenés éve: 2026

ISBN: 978 963 664 145 0

A kötet az Akadémiai Kiadónál 2011-ben Gyógyszerkutatás kémiája címen megjelent kézikönyv hagyományaira alapozva a kismolekulás gyógyszerkutatás eszköztárára és módszertanára fókuszál. Újdonságot jelent a magyar nyelvű szakirodalomban, hogy a modern gyógyszerkémiai felfogásnak megfelelően nem pusztán a meglévő gyógyszerkincs kémiáját mutatja be, hanem betekintést enged a kismolekulás gyógyszerek felfedezésének stratégiájába is.

Hivatkozás: https://mersz.hu/keseru-gyogyszerkemia//

BibTeXEndNoteMendeleyZotero

Kivonat
fullscreenclose
printsave