Keserű György Miklós (szerk.)

Gyógyszerkémia


6.10.5.2. Első generációs/típusos antipszichotikumok

A típusos vagy első generációs antipszichotikumok kémiai szerkezetük szerint három csoportba sorolhatók: fenotiazinok, tioxantének és butirofenonok. Fő antipszichotikus hatásukat a D2 receptoron antagonistaként fejtik ki. A természetes agonista dopamin legerősebb kölcsönhatása a receptorral az ionos kölcsönhatás, amit a protonált aminocsoport a receptor 3-as transzmembrán- (TM) doménjében elhelyezkedő aszpartáttal (Asp114) hoz létre, emellett még a két fenolos hidroxilcsoport hidrogénkötést létesít az 5-ös TM-domén két szerinjével (Ser193 és Ser197). A 3−6-os TM-régió aminosavjai egy főként hidrofób zsebet alakítanak ki a dopamin számára (Kalani és mtsai, 2004). A D2-antagonistákra általánosan jellemző a dopaminhoz hasonló, β-arilamin-szerű szerkezet, amivel az elsődleges (ortosztérikus) kötőhelyre tudnak beilleszkedni. Protonált aminocsoportjuk ugyanúgy ionos kölcsönhatást alakít ki az Asp114-gyel, mint a dopamin, ezenfelül azonban még egyéb, kiegészítő kötőzsebeket is elfoglalnak, amivel megakadályozzák a receptor aktivációját.
 
Fenotiazinok
A fenotiazinvázas antipszichotikumok véletlenszerű felfedezése az antihisztaminok kutatásának eredménye, ugyanis a fenotiazinvázas antihisztamin, a prometazin szisztematikus szerkezet–hatás összefüggéseinek vizsgálata eredményezte az első fenotiazinvázas antipszichotikum, a klórpromazin kifejlesztését. Első terápiás alkalmazása 1952-ben történt, majd ezt követően számos további gyógyszer került ki ebből a vegyületcsaládból.
A fenotiazinok általános szerkezete az 6.10.26. ábrán látható, néhány fontosabb gyógyszermolekulát pedig az 6.10.4. táblázat mutat be.
 
6.10.26. ábra. A fenotiazinok általános szerkezete és fontosabb szerkezet–hatás összefüggései
Forrás: saját szerkesztés
 
A triciklus két benzolgyűrű és egy 4H-1,4-tiazin-gyűrű lineáris kapcsolódásával jön létre, mely a 2-es helyzetben nemkötő elektronpárral rendelkező elektronszívó szubsztituenst, míg a 10-es helyzetben egy alifás szénláncot tartalmaz, benne egy bázikus tercier nitrogénatommal. A fenotiazingyűrű nem planáris, a két benzolgyűrű síkja egy háztetőszerű elrendezéssel 140° körüli szöget zár be, a nitrogén szubsztituense pedig a háztető fölé orientálódik. Amennyiben a kénatom szulfoxiddá oxidálódik, ellaposítja a triciklus szerkezetét, a két aromás gyűrű által bezárt szög 160° körülire növekszik, és a 10-es helyzetű oldallánc orientációja is módosul, ami az antipszichotikus aktivitás elvesztésével jár (Dahl és mtsai, 1986).
A fenotiazinok szerkezet–hatás összefüggései már a 60-as évek óta jól ismertek (Gordon és mtsai, 1963). Az antipszichotikus hatás általában növekszik a 2-es helyzetű csoport elektronszívó tulajdonságának növekedésével. A fenotiazingyűrű 10-es nitrogénje és a bázikus nitrogénatom közötti alifás szénlánc hossza mindig háromatomos; rövidebb, illetve hosszabb szénlánc esetében drasztikusan csökken az antipszichotikus aktivitás. Két szénatomos lánc esetében például az antihisztamin és antikolinerg hatások kerülnek előtérbe (pl. prometazin). A három szénatomos lánc középső szénatomjához kis alifás szubsztituens, jellemzően metilcsoport kapcsolható. Az így létrejövő optikai izomerek eltérő aktivitásúak, az (S)-izomer hatásosabb (pl. levomepromazin). A három szénatomos összekötő lánc végén található bázikus nitrogénatom mindig tercier, a szubsztitúció itt vagy metil, vagy a nitrogén egy alifás gyűrű részeként lesz jelen. A nitrogén piperidin- illetve piperazingyűrűbe zárása az antipszichotikus hatás növekedését eredményezi. A bázikus nitrogénatom a dopaminreceptorhoz protonált formában kötődik (Miller és mtsai, 1988).
 
6.10.4. táblázat. Fenotiazinvázas gyógyszervegyületek szerkezete
Név
R
X
klórpromazin
–Cl
levomepromazin
–OCH3
tioridazin
–SCH3
trifluoperazin
–CF3
flufenazin
–CF3
flufenazin-dekanoát
–CF3
 
A fenotiazinok dopaminreceptorhoz való kötődésének alapja a dopaminhoz hasonló szerkezetű molekularész. Röntgenkrisztallográfiás vizsgálatok rávilágítottak arra, hogy a dopamin nyújtott (transz) konformációja, valamint a klórpromazin oldalláncának a klórszubsztituenst tartalmazó benzolgyűrű felé hajló (cisz) konformációja majdnem tökéletesen fedésbe hozható (Horn és mtsa, 1971). Ekkor nemcsak az aromás gyűrű és a bázikus nitrogének fednek át, de a fenotiazingyűrű kénatomja is a dopamin egyik fenolos hidroxilcsoportjával.
A 2-es helyzetű szubsztituensnek fontos szerepe van az oldallánc cisz orientációjának kialakításában. Feinberg és Snyder molekulamodellezés segítségével megállapították, hogy a klórpromazinban a 2-es helyzetű klóratom és az oldallánc bázikus nitrogénje között az oldallánc cisz elhelyezkedésével másodrendű kölcsönhatás tud kialakulni (Feinberg és mtsa, 1975). A klór helyett trifluormetil-szubsztituens esetén több ilyen kölcsönhatásra is lehetőség van, ami növeli a valószínűségét ennek a konformációnak, ez pedig megmagyarázza a trifluormetil-szubsztitúció antipszichotikus hatáserősítő jellegét is. Hasonló módon több ilyen másodrendű kölcsönhatás kialakulásával magyarázható a piperazingyűrű hatékonyságnövelő szerepe is az alkilamino-oldallánccal szemben.
A fenotiazinok bázikus vegyületek. A nyílt láncú, illetve a nitrogént piperidingyűrűben tartalmazó molekulák pKa értéke 9 körüli (6.10.5. táblázat). A piperazinszármazékok két bázikus nitrogénnel is rendelkeznek, melyek közül a fenotiazingyűrűtől távolabbi a bázikusabb. Fiziológiás közegben (pH 7,4) mindegyik fenotiazin nagyobbrészt vagy szinte teljesen kationos formában van jelen, ami előnyös a receptorkötődéshez, és megfelelő lipofilitási tartományban (logD7,4: 2-4 között) segíti a vér-agy gáton való átjutást. Ezek a gyógyszermolekulák extrém magas lipofilitásúak, melyek közül a 2-es helyzetben tiometil szubsztituált tioridazin még jobban kiemelkedik. A magas lipofilitás kompenzálja nagymértékű ionizáltságukat, így még pH = 7,4-nél is, ahol nagy hányadban kationként fordulnak elő, meglepően magas a megoszlási hányadosuk (6.10.5. táblázat). A lipofilitás még tovább növelhető a hidroxilcsoportot is tartalmazó vegyületek esetében hosszú szénláncú zsírsavakkal végzett észterképzéssel. A flufenazin-dekanoát (és -önantát) izomba beadható depó injekciós készítményként hosszú hatástartammal rendelkezik, így ritkább adagolást tesz lehetővé.
 
6.10.5. táblázat. Fenotiazin gyógyszermolekulák fizikai kémiai adatai
Név
pKa
logP
logD7,4
klórpromazina
9,50
5,40
3,45
levomepromazin
9,19b
4,68c
 
tioridazin
9,77a
5,90c
 
trifluoperazind
8,08; 4,04
4,95
4,01
flufenazin
7,84; 3,98a
4,36c
 
 
A fenotiazinok számos útvonalon metabolizálódnak, ezek közül a legfontosabbak az N-demetilezés, az S- és N-oxidáció, a fenotiazingyűrű hidroxilálása 7-es és egyéb helyzetekben, majd ezt követően glükuronid-konjugáció, de az alifás tercier aminból kvaterner N-glükuronid képződése is végbemegy. A metabolitok közül egyedül a 7-hidroxi-származék járul hozzá jelentősebb mértékben a hatáshoz (Brown és mtsai, 2010).
 
Tioxantének
A fenotiazingyűrű bioizosztér átalakításával, nevezetesen a nitrogénatom sp2-es szénatomra cserélésével jön létre a tioxanténszerkezet, mely a fenotiazinokhoz hasonló antipszichotikumokat eredményez (6.10.6. táblázat). A tioxanténgyűrű 2-es helyzetű szubsztitúciója következtében az exociklusos kettős kötés mentén E/Z izoméria jön létre, melyből a Z-izomer – amelyben az oldallánc az elektronszívó szubsztituenst tartalmazó benzolgyűrű felé mutat – jóval erősebb hatású, hiszen így a fenotiazinok oldalláncának cisz-elrendeződéséhez hasonlóan ki tud alakulni a dopaminszerű szerkezet. A nagymértékű szerkezeti hasonlóságból eredően a fenotiazinoknál tárgyalt szerkezet–hatás összefüggések, valamint fizikai kémiai sajátságok a tioxanténeknél is érvényesek. Metabolizmusuk annyiban eltér, hogy a gyűrű hidroxilációja többnyire nem megy végbe (Brown és mtsai, 2010).
 
 
Butirofenonok és rokon vegyületeik
A butirofenonokat, mint antipszichotikus vegyületcsoportot, a 4-fenilpiperidin-szerkezettel rendelkező, az opioid analgetikumok csoportjába sorolt, petidinnel rokon vegyületek szerkezet-hatás összefüggéseinek vizsgálata során fedezték fel. Első képviselőjüket a haloperidolt 1958-ban vezették be a terápiába. Az antipszichotikus aktivitáshoz szükséges szerkezeti kritériumai ennek a vegyületcsaládnak is jól ismertek (Janssen és mtsa, 1978). Közös szerkezeti elemeik a fenilcsoporthoz kapcsolódó négy szénatomos lánc, amely 1-es helyzetben általában karbonil funkciós csoportot tartalmaz, 4-es szénatomjához pedig nitrogénjén keresztül para-helyzetben szubsztituált piperidingyűrű kapcsolódik (6.10.27. ábra).
 
6.10.27. ábra. A butirofenonok általános szerkezete és fontosabb szerkezet–hatás összefüggései
Forrás: saját szerkesztés
 
A fenilcsoport 4-es pozíciójában a gyógyszerként használt molekulák esetében (6.10.28. ábra) mindig fluor található, mivel ez optimális hatást eredményez. Emiatt ezt a hatóanyagcsoportot egyes irodalmi források fluor-butirofenonként nevezik meg. Más helyzetű szubsztitúció vagy a para-fluor-szubsztituens elhagyása, illetve más szubsztituensre cserélése csökkenti az antipszichotikus hatást. A fenilhez kapcsolódó karbonilcsoport jelenléte optimális a hatáshoz, de redukciója vagy aromás csoportra cserélése (pl. p-fluorofenilre a pimozid és fluspirilén szerkezetében) esetén is megmarad az aktivitás. A ketoncsoport és a piperidingyűrű nitrogénje közötti három szénatomos alifás lánc lerövidítése vagy meghosszabbítása, illetve elágazóvá tétele a hatás erőteljes csökkenését vagy megszűnését eredményezi. A butirofenonváz negyedik szénatomjához tercier nitrogén kapcsolása az antipszichotikus hatás feltétele, és a legpotensebb szerek akkor jönnek létre, ha ez az aminocsoport gyűrűben van. A gyógyszerként forgalomba lévő szerek esetében ez minden esetben egy para-szubsztituált piperidingyűrűt jelent. A piperidingyűrű cseréje kisebb vagy nagyobb tagszámú gyűrűre, illetve más helyzetben történő szubsztitúciója is hatáscsökkenéssel jár. A piperidingyűrű para-helyzetébe mindenképpen szükséges egy aromás helyettesítő, egy másik szubsztituens pedig, például a hidroxilcsoport elősegítheti a hatást (haloperidol, brómperidol, trifluperidol), és nem mellesleg a fenotiazinokhoz és a tioxanténekhez hasonlóan lehetőséget teremt lipofilebb észterszármazékok képzésére. Az arilszubsztituens vagy egy általában para-helyzetben szubsztituált fenilcsoport, vagy egy nitrogénen keresztül kapcsolódó fenil, így ezek anilinszármazéknak is tekinthetők. Ez utóbbi vegyületek a butirofenon-csoport leghatékonyabb szerei közé tartoznak, és szerkezetükben az anilin nitrogénje minden esetben gyűrűbe zárt, vagy egy savamid csoport része (benzimidazolinon-gyűrűt tartalmaz pl. droperidol, benperidol), vagy az anilin nitrogénje a piperidingyűrűhöz spiro-kötésben kapcsolódó imidazolinonszerkezet része (spiperon, fluspirilén). A vegyületcsalád legújabb tagját, a lumateperont az antipszichotikumok második generációjába sorolják be. Szerkezetében változatlanul megtalálható a klasszikus p-fluorbutirofenon-egység, viszont a piperidingyűrű tetrahidro-kinoxalinnal kondenzált pirrolidingyűrűvel kondenzál, ezzel kialakítva egy tetraciklusos szerkezetet. Még fiziológiás pH-n is magas lipofilitásának köszönhetően orális adagolást követően jól felszívódik, magas biohasznosulással rendelkezik, és jól penetrál a vér-agy gáton (Longo és mtsai, 2023).
 
6.10.28. ábra. Butirofenon- és rokon szerkezetű antipszichotikumok
Forrás: saját szerkesztés
 
A haloperidol szilárd fázisú röntgenkrisztallográfiás és oldatban végzett NMR-spektroszkópiás mérései szerint a piperidingyűrű szék konformációt vesz fel, a 4-es helyzetű aromás szubsztituens pedig ekvatoriálisan helyezkedik el úgy, hogy az aromás gyűrű síkja merőleges a piperidingyűrű síkjára (Reed és mtsa, 1973; Keller és mtsai, 1992). A haloperidolt kötő D2 receptor kristályszerkezetének vizsgálatával megállapították, hogy a piperidingyűrű protonált nitrogénje és a receptor ortosztérikus kötőhelyének aszpartátja (D1143.32) között ionos kölcsönhatás jön létre (6.10.29. ábra), a fluor-butirofenon-rész egy kiegészítő kötőzsebbe illeszkedik, melyet főként aromás aminosavak alkotnak, míg a p-klórbenzo- gyűrű egy olyan kiegészítő kötőzsebbe helyezkedik bele, ami a D2-agonisták kötésében is szerepet játszik (Fan és mtsai, 2020).
A butirofenonok piperidin-nitrogénjének bázicitása, bár kismértékben függ a para-szubsztituens(ek) minőségétől, de nagyjából 8 körüli pKa értékkel jellemezhető (6.10.7. táblázat), tehát fiziológiás pH-n ezek a vegyületek is főként ionizált formában fordulnak elő. Bár kísérletesen meghatározott logP értékük kevés lelhető fel az irodalomban, az El Tayar és mtsai által HPLC-s rendszerben meghatározott valódi lipofilitási indexek (logkov) azt mutatják, hogy a ketocsoport helyett p-fluorfenil-szubsztitúciót tartalmazó molekuláknak extrém magas a lipofilitása (El Tayar és mtsai, 1988).
 
6.10.29. ábra. A haloperidol D2 receptor-kötődésének sematikus rajza
Forrás: saját szerkesztés
 
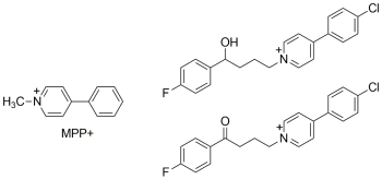
A butirofenon-vegyületcsalád tagjai jól felszívódnak a gasztrointesztinális traktusból és intenzíven metabolizálódnak a májban. A haloperidol oxidatív N-dealkilezésével például 4-(4-klorofenil)-4-hidroxipiperidin és 4-(4-fluorfenil)-4-ketovajsav keletkezik. A ketocsoport redukciójával keletkező alkohol ugyanakkor további metabolikus folyamatok révén egyrészt glükuroniddal konjugálódhat, másrészt oxidációval vissza is tud alakulni az anyavegyületté (Brown és mtsai, 2010). A haloperidolból a piperidingyűrű aromatizálódásával a jól ismert neurotoxin MPP+-hoz (1-metil-4-metil-piridiniumion) hasonló neurotoxikus metabolitok is keletkeznek (6.10.30. ábra), melyet haloperidolt szedő krónikus betegek véréből ki is tudtak mutatni (Kang és mtsai, 2006).
 
6.10.7. táblázat. Butirofenon és rokon szerkezetű gyógyszermolekulák fizikai-kémiai adatai
Név
pKaa
logP
logD (pH = 7,4)
logkova
haloperidol
8,66
3,67b
3,18 b
4,30
benperidol
7,90
 
 
4,20
spiperon
8,31
 
 
4,16
pimozid
8,63
 
 
6,18
Megjegyzés és forrás: a – El Tayar és mtsai (1988); b – Avdeef (2012); logkov – valódi lipofilitási index
 
6.10.30. ábra. A haloperidol neurotoxikus metabolitjai
Forrás: saját szerkesztés
 

Gyógyszerkémia

Tartalomjegyzék


Kiadó: Akadémiai Kiadó

Online megjelenés éve: 2026

ISBN: 978 963 664 145 0

A kötet az Akadémiai Kiadónál 2011-ben Gyógyszerkutatás kémiája címen megjelent kézikönyv hagyományaira alapozva a kismolekulás gyógyszerkutatás eszköztárára és módszertanára fókuszál. Újdonságot jelent a magyar nyelvű szakirodalomban, hogy a modern gyógyszerkémiai felfogásnak megfelelően nem pusztán a meglévő gyógyszerkincs kémiáját mutatja be, hanem betekintést enged a kismolekulás gyógyszerek felfedezésének stratégiájába is.

Hivatkozás: https://mersz.hu/keseru-gyogyszerkemia//

BibTeXEndNoteMendeleyZotero

Kivonat
fullscreenclose
printsave