Keserű György Miklós (szerk.)

Gyógyszerkémia


4.1.4. A ligandumhatékonyság szerepe

A korai optimalizálások legfontosabb hajtóereje a célponttal szemben mutatott affinitás javítása. Ugyanakkor egyértelműen megállapítható, hogy az affinitás messze nem az egyetlen faktor, amely egy vezérmolekula jövőbeni sikerét meghatározza. Az előzőekben megmutattuk, hogy a vegyületek molekulatömege a kémiai kiindulóponttól a vezérmolekulán át a klinikai jelöltig és így a gyógyszerig fokozatosan növekszik az optimalizálások során. Másrészről viszont a klinikai kipróbálásra került vegyületek esetében az egyes klinikai fázisokon sikeresen átjutott vegyületek átlagos molekulatömege az első klinikai vizsgálattól a piacra kerülésig fokozatosan csökken (4.1.7. ábra).
 
4.1.7. ábra. Az egyes fejlesztési fázisokon sikeresen átjutott vegyületek átlagos molekulatömege
Forrás: saját szerkesztés
 
A fejlesztésbe került vegyületeken végzett statisztikai elemzések, a kiindulópontok és vezérmolekulák, valamint a vezérmolekulák és gyógyszerek körében végzett összehasonlító vizsgálatok egyaránt arra hívják fel a figyelmet, hogy a kémiai kiindulópontok, illetve a belőlük nyert vezérmolekulák optimalizálása során a molekulatömeget érdemes a lehetséges minimumon tartani. Ezzel nem csupán a molekulák komplexitását tudjuk kordában tartani, de a statisztikák alapján javíthatjuk az egyes kutatási fázisok sikerrátáját és végeredményben nagyobb valószínűséggel juthatunk tényleges piaci eredményt is hozó gyógyszerhez.
Az affinitás, mint egyetlen paraméter, önmagában nem alkalmas a megfelelő minőségű kémiai kiindulópontok azonosítására. Mivel a molekulatömeg és az affinitás között logikai és sokszor matematikai formában is leírható kapcsolat áll fenn, ezért a kis molekulatömegű vegyületektől általában gyenge affinitást várunk. Emiatt viszont ezek a vegyületek a legtöbb esetben nem szerepelnek a potenciális kiindulópontok között, jóllehet kis molekulatömegük miatt ideális kiindulópontot jelenthetnek a korai optimalizálás számára. Az ilyen helyzetek elkerülésére javasolták Hopkins és munkatársai a ligandumhatékonyság bevezetését, amelyet szemléletesen az affinitás hatékonysági mutatójaként írták le. E definíció szerint a ligandumhatékonyság az egy atomra eső kötődési szabadentalpia mértéke (Hopkins és mtsai, 2004, 2014), amelyet a következő egyenlettel adhatunk meg:
 
 
ahol ΔG = RTlnKd a kötődési szabadentalpia-változás, Kd a ligandum disszociációs állandója, Nheavy pedig a molekulában megtalálható nem hidrogénatomok száma. A kötődési szabadentalpia és a disszociációs állandó között fennálló logaritmikus összefüggés miatt gyakorlati értelemben a Kd egy nagyságrendnyi változása 1,4 kcal/mol szabadentalpia-változással jár együtt. Kuntz és munkatársai mintegy 150 különböző ligandum–makromolekula komplexen (Kuntz és mtsai, 1999) részletesen tanulmányozták a különböző méretű ligandumok esetében maximálisan elérhető szabadentalpia-változás mértékét (4.1.8. ábra).
 
4.1.8. ábra. A maximálisan elérhető kötődési szabadentalpia-változás a nem hidrogénatomok számának függvényében
Forrás: Kuntz és mtsai (1999), ACS copyright
 
Munkájuk alapján megállapítható, hogy a maximális szabadentalpia-nyerseség kb. 10 nehéz atomig mintegy 1,5 kcal/atom mértékkel nő, ezt követően azonban fokozatosan telítésbe hajlik. Számításaik rámutattak arra, hogy a gyógyszerkutatási projektekben előállított ligandumok affinitása általában messze van az így definiálható maximális affinitástól. Bár ez a tény önmagában még nem feltétlenül okoz problémát, mégis létezik a ligandumhatékonyságnak (LE) egy olyan minimális értéke, amelyet egy egyszerű számítás segítségével mi magunk is könnyen meghatározhatunk. Egy tipikus gyógyszerkutatási programban a cél egy maximálisan 500 Da molekulatömegű, legalább 10 nM affinitású klinikai jelölt azonosítása. Figyelembe véve, hogy egy nem hidrogénatom átlagos atomtömege 13,3, így a célként kitűzött vegyület összesen 38 nem hidrogénatomot tartalmaz. A ligandumhatékonyság előbbi definíciója alapján a vegyület 10 nM affinitásának (kb. 11 kcal/mol) ligandumhatékonyságban nem hidrogénatomonként kb. 0,3 kcal/mol szabadentalpia-változás, azaz 0,3 ligandumhatékonyság felel meg. Azok a kiindulópontok, illetve vezérmolekulák, amelyek ligandumhatékonysága eléri ezt a 0,3 értéket, még abban az esetben is jó kiindulópontok lehetnek, ha affinitásuk alapján nem kerülnének a további vizsgálatokra kiválasztott vegyületek közé. A ligandumhatékonyság szempontjából kedvező méretű és komplexitású vegyületek affinitását a 4.1.9. ábra mutatja.
 
4.1.9. ábra. Az affinitás és a molekulában található nem hidrogénatomok számának összefüggése a kívánatosnak tartott ligandumhatékonyság tartományában
Forrás: saját szerkesztés
 
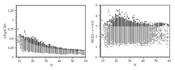
Tekintetbe véve, hogy a ligandumhatékonyság természetszerűleg függ a vegyület nem hidrogénatomjainak számától, két eltérő számú nem hidrogénatomot tartalmazó vegyület ligandumhatékonyságának összevetése nem egyszerű feladat. A ligandumhatékonyság függését a nem hidrogénatomok számától a 4.1.10. ábra mutatja.
 
4.1.10. ábra. A maximális ligandumhatékonyság függése a nem hidrogénatomok számától
Forrás: Nissink (2009), ACS copyright
 
A kiindulópontok elemzése során a kiválasztás egyik fontos szempontja éppen a ligandumhatékonyságok összehasonlító elemzése. Annak érdekében, hogy ez az összevetés a különböző méretű ligandumok esetében is elvégezhető legyen, az elmúlt években bevezették az ún. méretfüggetlen ligandumhatékonyságot (Nissink, 2009):
 
 
Amint a 4.1.10. ábra jobboldali grafikonján látható, a SILE bevezetésével a ligandumhatékonyság méretfüggése megszűnik, és az így származtatott ligandumhatékonysági paraméter már alkalmas különböző méretű molekulák ligandumhatékonyságának összehasonlítására.
A molekulatömeg, a molekulaméret és a komplexitás mellett a kiindulópontok lipofilitása is meghatározó fontosságú, ezért az előbbi paraméterekkel összefüggő ligandumhatékonyság mellett bevezetésre került a lipofilligandum-hatékonyság (LLE) is (Leeson, és mtsa 2007; Hopkins és mtsai, 2014):
 
amely szerint a lipofilligandum-hatékonyság az affinitás negatív logaritmusa és a víz–oktanol megoszlási hányados (clogP) különbségeként írható fel. Az így megadott lipofil hatékonyság akkor kedvező, ha a minél nagyobb affinitás minél kisebb lipofilitás mellett valósul meg. Ennek értelmében a 4.1.11. ábrán látható pIC50 – clogP diagramon a kémiai kiindulópontok minősége a jobb alsó sarokból a bal felső sarokba mutató nyíl mentén javul.
 
4.1.11. ábra. A lipofil hatékonyság szempontjából megfelelő kiindulópontok elhelyezkedése a pIC50 –clogP diagramon
Forrás: saját szerkesztés
 
A ligandumhatékonyság és a lipofil hatékonyság jellemzésének alternatív módszerét jelenti az ún. LELP érték meghatározása (Keserű, és mtsa, 2009; és Hopkins és mtsai, 2014):
 
 
azaz LELP megadja az egységnyi ligandumhatékonyság-javítás lipofilitásban kifejezett árát. A LELP értéke csak akkor lehet negatív, ha logP értéke negatív, és minél nagyobb LELP abszolút értéke, annál kedvezőtlenebb vegyülettel állunk szemben. Kiindulva LE általánosan elfogadott 0,3 körüli minimális, még kedvező értékéből, valamint a vezérmolekula-szerű vegyületekre jellemző –3 < logP < 3 lipofilitástartományból, egy elfogadható vezérmolekulára LELP értéke a –10 < LELP < 10 tartományba esik. Ha LELP abszolút értéke nagyobb, mint 16,5, akkor a vegyület semmiképpen sem tekinthető vezérmolekula-szerű, sőt már gyógyszerszerű vegyületnek sem.
A ligandumhatékonysági mutatók, így az LE, SILE, LLE és LELP paraméterek nagy segítséget adnak a vezérmolekula-keresésben a gyakorló gyógyszerkémikus számára. A mutatók egyszerűen számíthatók és könnyen értelmezhetők, ugyanakkor fontos megjegyezni, hogy alkalmazásuk elsősorban a kémiai kiindulópontok összehasonlító elemzése és a vezérmolekula-keresés során indokolt. A vezérmolekula-optimalizálás szakaszában folytatott multidimenziós optimalizálási tevékenység komplexitása általában meghaladja azt a szintet, amikor ilyen egyszerű paraméterekkel racionális döntések hozhatók.

Gyógyszerkémia

Tartalomjegyzék


Kiadó: Akadémiai Kiadó

Online megjelenés éve: 2026

ISBN: 978 963 664 145 0

A kötet az Akadémiai Kiadónál 2011-ben Gyógyszerkutatás kémiája címen megjelent kézikönyv hagyományaira alapozva a kismolekulás gyógyszerkutatás eszköztárára és módszertanára fókuszál. Újdonságot jelent a magyar nyelvű szakirodalomban, hogy a modern gyógyszerkémiai felfogásnak megfelelően nem pusztán a meglévő gyógyszerkincs kémiáját mutatja be, hanem betekintést enged a kismolekulás gyógyszerek felfedezésének stratégiájába is.

Hivatkozás: https://mersz.hu/keseru-gyogyszerkemia//

BibTeXEndNoteMendeleyZotero

Kivonat
fullscreenclose
printsave