Keserű György Miklós (szerk.)

Gyógyszerkémia


4.2.2.2. Tesztek adaptálása automatizált környezetben

Az előző fejezetben ismertetett követelmények alapján kiválasztott tesztet a következő lépésben a HTS-munkaállomás automatizálási lehetőségeinek megfelelően kell a szűrőkampányhoz adaptálni. A tesztfejlesztésnek ez a szakasza kizárólag a nagy áteresztőképességű szűrésre jellemző feladatokat tartalmaz, technikailag ugyanis hatalmas különbség áll fenn egy teszt néhány egyedi alkalommal történő manuális elvégzése, illetve mérések tízezreinek automatizált végrehajtása között. Manuálisan végrehajtott mérés során a reagensek stabilitása, a folyadékadagolás pontossága vagy az inkubálási idők pontos betartása nem okozhat problémát, automatizált környezetben azonban ezeken kívül akár még egy olyan egyszerűnek tűnő művelet, mint a mérőlemez lefedése is nehézséget jelenthet. Az adaptálás során tehát minden, az automatikus kivitelezés megbízhatóságát veszélyeztető kísérleti körülményt gondosan elemezni és szükség esetén optimalizálni kell. A következőkben nagy vonalakban bemutatásra kerülnek az adaptálás legfontosabb szempontjai. Az ismertetést egy valós, élő sejtek kalciumfelvételének fluoreszcens detektálásán alapuló HTS-teszt adaptálása során nyert tapasztalatokkal szemléltetjük. A mérések minőségét az általános gyakorlatnak megfelelően a 4.2.2.3. fejezetben ismertetésre kerülő Z’ paraméter segítségével jellemeztük.
Az automatizált sorozatmérésre adaptálás során első lépésben a teszt alapparamétereit kell újradefiniálni. A mérések megtervezésében különösen fontos a folyadékkezelési lépések vizsgálata. A folyadékeltávolítási lépések (szűrés, leszívás, átpipettázás) a HTS-futások leggyakoribb hibaforrásai, ezért gondos elemzést igényel, hogy ezek elhagyhatók-e. Az esszé homogénné tétele olyan körülményeket érinthet, mint például a mikrolemez cellaszáma, típusa vagy a sejttenyésztő médium vagy detekciós reagens elegy összetétele.
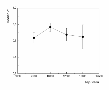
A 4.2.5. ábrán és 4.2.6. ábrán egy élő sejteken tervezett teszt adaptálása során kapott eredmények láthatók. Megállapítható, hogy a mérési eredményekre nem volt jelentős hatással a 384 cellás sejttenyésztő mikrolemez bevonata, a lemezre a mérést megelőző napon szélesztett sejtszám optimuma pedig cellánként 10 000 sejt volt. Az utóbbi görbéből az is megfigyelhető, hogy tekintettel az egy napon akár 10–12 óra eltolódással elvégzett kísérletekre, a sejtek ez idő alatt lezajló osztódása a mérési nap végén a teszt minőségének enyhe romlását okozhatja.
A tesztreakció formátumának és alapparamétereinek tisztázását a műveleti lépések szisztematikus elemzése követi. Az egyik leggyakoribb műveleti lépés, a folyadékadagolás esetében az adagolás optimális módja (perisztaltikus, térfogat-kiszorításos, cseppkilöveléses vagy egyéb adagolás) az adagolandó oldat viszkozitása, felületi feszültsége, sűrűsége, az oldott komponensek adszorpciós potenciálja és stabilitása alapján kerül kiválasztásra. Ennek ismeretében az adott készüléken nemcsak az adagolás térfogata és sebessége optimalizálandó, hanem olyan paraméterek is, mint az adagolók csöveinek átöblítése a bomlás vagy kitapadás miatt csökkent koncentrációjú reagensek eltávolítására. A kis térfogatú adagolások során komoly nehézséget okozhat az adagolócsövek eltömődése vagy a folyadékok habzása (például detergens- vagy magas fehérjetartalmú oldatok esetében).
 
4.2.5. ábra. Egy élő sejteken futtatott teszt minőségének függése a sejttenyésztő lemez bevonatától
Forrás: saját szerkesztés
 
4.2.6. ábra. A sejtes teszt minőségének függése a cellánkénti sejtszámtól
Forrás: saját szerkesztés
Az automatizált folyadékadagolások egy másik típusa a pipettázás, ahol az adagolás iránya megfordítható. Ez a lépés a tökéletlen keveredés és a pipettahegyek elszennyeződésének veszélyét hordozza, ezért gyakran kritikus a pipettázási paraméterek (felszívási és adagolási sebesség, légrések) és a mosási protokollok (öblítés módja, öblítőfolyadékok kiválasztása) alapos optimalizálása.
Tartós inkubálások során, mivel a mikrolemezek automatizált lefedése nem egyszerűen megoldható feladat, a hőmérséklet, a páratartalom és a fényerő jelentős mértékben befolyásolhatja a mérés minőségét. Ez főként kis térfogatú (384 vagy 1536 cellás) lemezek esetében jelenthet nehézséget, mivel ott a párolgási folyadékveszteség és az egyenetlen hőmérséklet jelentős inhomogenitáshoz vezethet. Ezért igen alapos elemzést igényel az inkubálás paramétereinek hatása a mérésre. A 4.2.7. ábrán a HTS-teszt beállítása során jelentkező kalciumbeáramlás fluoreszcens válaszának minősége és mértéke látható a kalciumindikátorral történt inkubáció idejének függvényében (az inkubálás független kísérletben meghatározott optimális hőmérsékleten történt). Noha a növekvő inkubációs idő a válasz növekedésével járt, a válasz szórása 60 perc inkubációt követően nem csökkent. A kampányszerű futás során az inkubációs idő esetleges növekedésére számítva ez alapján célszerű az automatizált futás célértékének 60 perces inkubációt választani.
 
4.2.7. ábra. Egy teszt minőségének függése az kezelési időtől
Forrás: saját szerkesztés
Az adaptálás során az általában fénykibocsátási vagy fényelnyelési jel detektálásának paramétereit is optimalizálni kell. A jelet a legtöbb mikrolemez-olvasó cellánként, fotoelektron-sokszorozó segítségével detektálja, ami lemezenként akár 10–20 perc leolvasási időt is jelenthet. Mivel ekkora inkubációs időbeli eltérés befolyásolhatja a mért jelintenzitást, a lemez kiolvasási sebessége, sőt a cellák kiolvasási sorrendje is jelentősen befolyásolhatja az adatminőséget. Kinetikai leolvasásoknál, ahol a leolvasás során folyadékadagolás (enzim vagy szubsztrát, illetve receptoragonista hozzáadása) hatására bekövetkező változást detektálunk, kritikus a leolvasóban lezajló folyadékadagolási lépés paramétereinek pontos beállítása.
A rendkívül nagy reagensigényű kampányszerű futások logisztikájának megtervezése előtt lényeges a reagensek, oldatok stabilitásának meghatározása. Ez vonatkozik mind a célpontot tartalmazó preparátumra, mind a tesztreakció detektálására szolgáló reagensekre, illetve a lemezeken minőségbiztosítás céljából elhelyezett kontrollmintákra. A 4.2.8. ábra a korábban ismertetett tesztben pozitív kontrollként használt referenciavegyület hatáserősségét mutatja az adott mikrolemezen a valós mérés körülményeit imitáló körülmények közt. Mint látható, a referenciavegyület IC50 értéke nem mutatott jelentős trendszerű romlást, tehát ez a komponens jelentős bomlás vagy kitapadás nélkül akár 4 órás várakozási időt is eltűr a teszt során.
 
4.2.8. ábra. Kontrollként használt ismert referenciavegyület IC50 értéke a HTS-kampányt imitáló tárolás idejének függvényében
Forrás: saját szerkesztés
 
A kampányszerű tesztfutás előtt az automatizált körülmények közt, egyedi mérőlemezeken megfelelőnek bizonyuló tesztet hitelesíteni kell. Ez a végleges automatizálási protokoll segítségével egyrészt ismert aktivitású mintáknak, másrészt a mérendő vegyülettár reprezentatív részének (a teljes vegyülettárat megfelelően képviselő, annak tipikusan néhány százalékát kitevő készletnek) és esetleg biogén anyagoknak, tehát várhatóan magas aktív arányt mutató mintáknak a vizsgálatával történik (Coma és mtsai, 2009; Wellner és mtsa, 2016).
A hitelesítő mérés során egyrészt a mérőlemezen belül váltakozva elhelyezett inaktív (oldószerkontroll) és aktív minták segítségével a mérés érzékenysége, reprodukálhatósága, stabilitása, cellák közti áthallása (crosstalk), jel/zaj és jel/háttér viszonya állapítható meg a valódi tesztfutást szimuláló körülmények közt. Az ismeretlen minták többszöri vizsgálatából nyert információ ezzel szemben a mérésben a detektált aktivitás megbízhatóságát jellemzi. A hamis pozitív arány (a nem megerősített aktívak aránya az összes aktív százalékában) a mérési műtermékek gyakoriságát, a hamis negatív arány (az adott mérésben nem kimutatott valós aktívak aránya összes aktívhoz képest) pedig a találatvesztés esélyét jelzi előre. Ez utóbbi meghatározása a hitelesítő mérés során kitüntetett jelentőségű, mert így a HTS-kampány legfontosabb és kísérletesen más módon nem meghatározható tulajdonságáról kaphatunk becslést. Előre rögzített kritériumok teljesülése esetén a teszt hitelesnek, azaz nagy áteresztőképességű szűrésre alkalmasnak tekinthető.

Gyógyszerkémia

Tartalomjegyzék


Kiadó: Akadémiai Kiadó

Online megjelenés éve: 2026

ISBN: 978 963 664 145 0

A kötet az Akadémiai Kiadónál 2011-ben Gyógyszerkutatás kémiája címen megjelent kézikönyv hagyományaira alapozva a kismolekulás gyógyszerkutatás eszköztárára és módszertanára fókuszál. Újdonságot jelent a magyar nyelvű szakirodalomban, hogy a modern gyógyszerkémiai felfogásnak megfelelően nem pusztán a meglévő gyógyszerkincs kémiáját mutatja be, hanem betekintést enged a kismolekulás gyógyszerek felfedezésének stratégiájába is.

Hivatkozás: https://mersz.hu/keseru-gyogyszerkemia//

BibTeXEndNoteMendeleyZotero

Kivonat
fullscreenclose
printsave