Keserű György Miklós (szerk.)

Gyógyszerkémia


4.3.2.1. A tervezés szempontjai

A szűrési technika és annak áteresztőképessége alapvetően meghatározza a fragmensmolekulák jellegzetességeit és a könyvtár méretét. A fragmensek szűrésére leggyakrabban alkalmazott biofizikai módszerek, a fehérje röntgendiffrakció és az NMR áteresztőképessége limitált és a szűrés nagyon magas (millimoláris) koncentrációban történik. A limitált áteresztőképesség következtében a fragmenskönyvtárnak kicsinek kell lennie, ami valószínűleg gyengén kötődő fragmenstalálatokat (friteket) eredményez. A gyenge találatok nagy szűrési koncentrációt igényelnek, ez pedig fokozottan jó oldhatóságot és ennek következtében erősen hidrofíl karaktert követel meg a szűrt molekuláktól. Hidrofil, vízben nagy koncentrációban oldódó kis molekulatömegű molekuláktól azonban nem várható, hogy biokémiai tesztekben jelentős aktivitást mutassanak (4.3.3. ábra). Ez a gondolatsor a gyakorlatban is megerősítést nyert, mivel a röntgen- vagy NMR-módszerrel azonosított kismolekulás fragmenstalálatok biokémiai tesztekben általában inaktívak, vagy csak nagyon gyenge (IC50 > 0.5 mM) aktivitást mutatnak. Hagyományos biokémiai vizsgálatokon alapuló szűrés mikromoláristól akár elvileg millimoláris koncentrációig is történhet, de ugyanakkor a potenciális ligandumok az emelkedő koncentrációval egyre több nehezen értelmezhető jelenséget adhatnak.
Fragmensek röntgenkrisztallográfiás szűrése általában a 50–100 mM fragmens-koncentrációtartományban történik, de (O’Reilly és mtsai, 2019) az úgynevezett MiniFrag- megközelítést is bevezették, ami során extrém magas (mólos) koncentrációban szűrnek ultraalacsony molekulatömegű fragmenseket (nehézatom szám tartomány: 5–7). A tanulmányban közölt öt fehérje szűrési eredménye alapján elmondható, hogy egy 80 tagú kicsi MiniFrag-könyvtár képes volt a hagyományos méretű fragmenseket tartalmazó 352–440 méretű könyvtárnál jelentősen magasabb hit-rátával utóbbi által azonosított kötőhelyek 87%-ra fragmens-hitet találni, valamint további 22 új kötőhelyet azonosítani. Ez az eredmény nagyon jól mutatja, hogy a megfelelően kiválasztott fragmensek komplexitása és a szűrési sikerarány közötti fordított összefüggés elmélete ebben az extrém molekulaméret-tartományban is helytáll.
 
4.3.3. ábra. A kis szűrési kapacitás következményei a fragmensalapú gyógyszerkutatásban
Forrás: saját szerkesztés
A nagyobb áteresztőképesség ugyanakkor lehetővé teszi kiterjedtebb fragmenskönyvtárak szűrését is, ami a jobb mintavételből következően nagyobb valószínűséggel eredményezhet erősebben kötődő találatokat. A nagyobb aktivitású fragmenstalálatok alacsonyabb szűrési koncentrációt is lehetővé tesznek, így a megkívánt oldhatóság és a hidrofil karakter is csökkenthető. Az alacsonyabb szűrési koncentráció azért is előnyös, mert minél alacsonyabb a kismolekula koncentrációja, annál kisebb a valószínűsége annak, hogy a tesztben nemkívánatos módon viselkedjen, illetve hamis pozitív jelet adjon. A szükséges oldhatóság és a hidrofil karakter csökkenése azt eredményezi, hogy a fragmensmolekulák kiegyensúlyozottabb tulajdonságokkal rendelkezhetnek, ami biokémiai környezetben jelentősebb biológiai aktivitást is lehetővé tesz (4.3.4. ábra).
 
4.3.4. ábra. A nagy szűrési kapacitás következményei a fragmensalapú gyógyszerkutatásban
Forrás: saját szerkesztés
 
A fragmensek tervezését jelentősen egyszerűsítette a 2003-ban javasolt „rule of 3” vagy rövidítve „RO3szabályrendszer, ami a már régóta alkalmazott Lipinski által javasolt „rule of 5” mintájára (lásd 4.7.3 fejezet) egyszerű paraméterek bevezetése mellett érvel a fragmensek szűrésre való alkalmasságának eldöntésére (Congreve és mtsai, 2003). Az RO3 legfontosabb szabályként a molekulatömeg 300 Da-ban, a hidrogénkötés-donorok és -akceptorok számát 3-ban, valamint a logP-t is 3-ban maximalizálja. Ezenkívül a szerzők javaslatot tettek arra is, hogy a forgatható kötések számát is érdemes 3 alatt tartani, valamint a topológiai úton számított poláris molekulafelszín (tPSA) 60 Å2-nál lehetőleg ne legyen nagyobb. Publikálása óta az RO3-szabályrendszer a fragmensmolekulák kiválasztásának alappillérévé vált, és szinte minden, a kereskedelemben beszerezhető, illetve házon belül összeállított fragmenskönyvtár megfelel ezeknek a kritériumoknak. Az RO3-nak van azonban néhány gyenge pontja, amit a fragmenskönyvtár összeállítása során érdemes szem előtt tartani. A fragmensek kiválasztásának Hann által publikált elméleti alapja nem a molekulaméret és a sikerarány közötti összefüggésre hívta fel a figyelmet, hanem a molekula bonyolultsága (szerkezeti komplexitása) és a sikerarány közötti fordított viszonyra. Bár a molekulatömeg a komplexitással áttételesen kapcsolatba hozható, ez az összefüggés nem mindig, nagy atomtömegű atomok esetén pedig általában nem érvényesül. A halogénatomok (leginkább a klór és a fragmensek esetében alkalmanként előforduló bróm) fontos szerepet játszanak a gyógyszerkémiában, de nagy atomtömegük miatt a molekulatömeg-alapú szűrésben a halogéntartalmú molekulák büntetetté vállnak, fajlagos gyakoriságuk ezáltal csökken. A metilcsoport molekulatömege 15 Da, míg a hozzá hasonló méretű klóratomé 35,5 Da. A közel 20 Da-os különbség jelentős előnyt biztosít a metilcsoportot tartalmazó molekuláknak a klórozottakkal szemben, pedig a két csoport összetettsége és biológiai kölcsönhatásokban általában betöltött szerepe is azonos. Hasonló helyzet áll fenn a kéntartalmú vegyületek esetében is, ahol a kén nagy atomtömege például a kéntartalmú heterociklusos, illetve a szulfonamid-csoportot tartalmazó molekulákat bünteti. Ezt elkerülendő helyesebb a komplexitást a molekulatömeg helyett inkább a nem hidrogénatomok (nehéz atomok) számával korlátozni. Ezt könnyen megtehetjük, mivel egy nehéz atom átlagosan kb. 13,3 Da-nal járul hozzá a molekulatömeghez (Hopkins és mtsai, 2004). Így az RO3-szabályban szereplő 300 Da-os molekulatömeg-határ könnyen 22 nehézatom-határra fordítható át, amit a molekulatömeghez hasonló egyszerűséggel lehet számítani, illetve szabályozni. A molekula poláris jellegét befolyásoló értéket, a lipofilitást az RO3-szabályrendszer a logP-n keresztül szabályozza, de ez az adat az oldhatóságra nem ad valós útmutatást. A fragmensek szűrésénél az oldhatóság kiemelten fontos szerepet tölt be, hiszen a szűrt molekulának általában nagy koncentrációjú oldatban kell lennie. A szűrés módszerétől függően a megkívánt oldhatóság változik, ezért ezt a paramétert az RO3-szabályrendszer keretén kívül kell kontrollálni. Használhatunk számított vagy mért oldhatósági értékeket, de míg az oldhatóság in silico becsülése nagy hibával terhelt, addig több ezer molekula oldhatósági görbéjének méréssel történő felvétele nagy erőforrásigénnyel jár (lásd 4.7.3. fejezet). Legvégül pedig még a fragmenskönyvtár megfelelő kémiai változatosságát (diverzitási fokát) is biztosítanunk kell. A diverzitás fontos szerepet tölt be a biológiai értelemben redundáns, valóban közeli analógok vizsgálatának elkerülése szempontjából, viszont nem megfelelő alkalmazása esetén olyan szűrésre alkalmas fragmenseket vehetünk ki a könyvtárból, amelyek hiányában új molekulacsaládok veszthetnek el, ezért ezt a kérdést érdemes részletesebben is megvizsgálni.
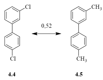
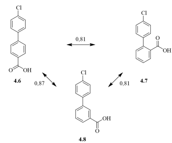
A fragmenstalálatok rangsorolása általában nem a biológiai aktivitás alapján történik, mint ahogy az a HTS esetében megszokott, hanem az úgynevezett ligandumhatékonyság (LE, lásd 4.1.4. fejezet) mutató alapján. A fragmenstalálatok LE szerinti rangsorolása megmutatja a fehérjével létesített kölcsönhatások atomokra lebontott hatékonyságát azzal a kitétellel, hogy LE = 0,3 alatti találatot az esetek többségében nem érdemes kiválasztani, csak akkor, ha nincsen jobb kiindulópont, illetve nagyon gyorsan sikerül a ligandumhatékonyságot – például analógok tesztelésével – 0,3 fölé juttatni. A fragmenstalálatoktól elvárt nagy ligandumhatékonyságnak viszont jelentős hatása van a fragmenskönyvtárak diverzitáselemzésére. A nagy ligandumhatékonyság optimális vagy közel optimális kölcsönhatásokat feltételez, ami kizárja, hogy bizonyos molekulapárok találatokként jelenjenek meg ugyanazon fehérjén történő szűrésükkor annak ellenére, hogy a leggyakrabban használt kétdimenziós ujjlenyomatok (lásd 3.6.3. fejezet) a vegyületpárt hasonlónak ítélik meg. A probléma szemléltetésére vizsgáljuk meg az 4.3.5. ábrán és a 4.3.6. ábrán bemutatott példákat.
 
4.3.5. ábra. Példa nagy diverzitású hasonló fragmensekre
Forrás: saját szerkesztés
 
Az 4.3.5. ábrán látható két molekula Tanimoto-index alapján számított hasonlósága (0,52) kicsi, és a legtöbb diverzitásszűrő mindkét molekulát megtartaná. Mindkét molekula hasonló méretű és hasonló lipofilitású szubsztituenseket tartalmaz hasonló izomer konfigurációban. Ezért a két molekula várható biológia hatása a megfelelő kötőzsebben hasonló lehet annyira, hogy észleljük és megtartsuk a pozitív jelet. Ezzel viszont a másik molekula szűrése feleslegessé válik, mert a farmakofór és a kémiai család mindkét molekula esetében azonos. A diverzitásalapú szelekció tehát – ebben az esteben helytelenül – mindkét molekulát megtartja. A 4.3.6. ábrán látható eset azonban éppen ellenkező képet mutat. A három molekula teljesen azonos funkciós csoportokat tartalmaz, de különböző regioizomer helyzetekben. Rendkívül valószínűtlen, hogy egy fehérje zsebében a három karbonsavizomer mindegyike hasonló aktivitást mutasson, mert ha az egyik közel optimálisan kötődik, amint azt a magas LE-igény elvárja, akkor a többi valószínűsíthetően minimális vagy semmilyen aktivitással nem rendelkezik. Ebben az esetben tehát a három vegyület közül csak egynek a kiválasztása azzal a veszéllyel jár, hogy az adott kémiai csoport elvész olyan kötőzsebek esetében, amelyek a kihullott két molekula valamelyikével szívesebben lépnének szoros kölcsönhatásba.
 
4.3.6. ábra. Példa kis diverzitású eltérő fragmensekre
Forrás: saját szerkesztés
 
A probléma további szemléltetésére (4.3.7. ábra) a Merck által II-es típusú cukorbetegség kezelésére kifejlesztett dipeptidil-peptidáz IV fehérje gátlásán keresztül ható szitagliptin (Januvia, lásd 4.9.3 fejezet) molekulafragmensekre való lebontását mutatjuk be (Makara, 2007).
 
4.3.7. ábra. A szitagliptin és fragmensei
Forrás: saját szerkesztés
 
A két bemutatott fragmens ujjlenyomataik alapján meglehetősen hasonlít egymáshoz, amit a karbonsav és a metilamid közötti 0,71 Tanimoto hasonlósági koefficiens is mutat. Maximális diverzitású fragmenskönyvtár létrehozásakor az algoritmus valószínűleg csak az egyik molekulát tartaná meg, de ha csak a karbonsav formát tartjuk meg a fragmenskönyvtárunkban, elképzelhető, hogy egyes fragmensszűrési technikák (például a biokémiai szűrés) a gyenge aktivitás és kötéserősség miatt nem találják meg ezt a fontos kémiai mintázatot. Ugyanakkor egy másik célpont esetében lehetséges, hogy a negatív töltésű karbonsav jelenléte a fontos, ezért a fragmenskönyvtárban valójában mindkét molekula megtartása teljességgel indokolt. A fragmenskönyvtárak diverzitása kapcsán összefoglalásként tehát megállapítható, hogy a kizárólag számítógéppel végzett hasonlósági elemzés segítségével folytatott tradicionális diverzitásalapú szűrés könnyen a biológiai aktivitás szempontjából fontos fragmensmolekulák elvesztéséhez vezethet, ezért a könyvtárak kémiai változatosságának biztosításához egyedi algoritmusokra vagy szakértő szem vizuális ellenőrzésére is szükség van.
A kétdimenziós ujjlenyomatok fragmenstervezésre fentebb bemutatott problémáit felismerve Bajusz és munkatársai (Bajusz és mtsai, 2021) kifejlesztettek egy farmakofóralapú fragmenstervezési módszert, amit SpotXplorernek neveztek el. A módszer lényege, hogy ismert fehérje–fragmens kötőszerkezeteket dokkolási szoftverrel analizálnak, amivel minden párra kinyerhető az a legfontosabb 2, 3, vagy 4 pontos farmakofór, amely leginkább hozzájárul a szoftver szerint a kötődéshez (4.3.8. ábra). A teljes fehérjekészletre kinyert háromdimenziós farmakofórok klaszterezhetőek egy adott felbontásban (RMSD = 2 javasolt a szerzők által), és az így kapott klaszterközéppontok – a vizsgált fehérjékre nézve – az ismert, úgynevezett „hot spot”-univerzumhoz kapcsolódó ligandumok szükséges kapcsolódási mintázatának is tekinthetők. Könyvtár tervezésére úgy használható a SpotXplorer klaszterinformációja, hogy olyan fragmens-szetet próbálunk összeállítani, amely a legtöbb klaszterközéppontot lefedi. Nyolc fehérjével kapott szűrési eredmények egy csupán 96 tagú SpotXplorer-könyvtár alkalmazásával igazolták a koncepció eredményességét.
 
 
A módszer lényegéből következik, hogy kiküszöböli az ujjlenyomatok legnagyobb hiányosságát: a fehérjékhez kötődés szempontjából fontos funkciós csoportok térbeli elhelyezkedésének lefedését, illetve a bioizoszterikus funkciós csoportok felismerését. További fejlesztési lehetőségként lehet említeni, hogy a kötőzsebek vagy a ligandumok alakjának analízise nem része a technológiának, ezért az alaki felismerés fontos szerepe jelenleg nem vehető figyelembe.
Számos kutatócsoport fontos szempontnak tartja az úgynevezett kitüntetett alszerkezetek (privileged substructures, lásd 4.6.2. alfejezet) fragmenskönyvtárakba integrálását (Murcko és mtsai, 1996). Az elmúlt 15 évben számos publikáció jelent meg, amelyek az egyes kémiai szerkezeti elemeket a klinikai jelöltekben vagy gyógyszerekben való előfordulási gyakoriságuk alapján próbálják meg rangsorolni. Bizonyos szerkezeti elemek előfordulása lehet gyakoribb azért, mert gyógyszerkémiai szempontból kiállták az idő próbáját, de az is előfordulhat, hogy egyszerűen nagy valószínűséggel kötődnek fehérjezsebekhez. Mivel a fragmenstalálatok számára – az azonosíthatóság és optimalizálhatóság szempontjából – mindkét eset jelentős előny lehet, ezért érdemes a kitüntetett alszerkezetek relatív sűrűségét a fragmenskönyvtárban növelni. Ilyen például a bifenilcsoport, amely dokumentáltan gyakran fordul elő mind korai, mind előrehaladott stádiumban lévő vezérmolekulákban. Ennek egyik valószínű oka, hogy – mint az utóbbi pár évben többen is rámutattak – a bifenilek térkitöltése hasonló a fehérjék harmadrendű szerkezetében és egymással való kölcsönhatásában fontos szerepet játszó α-hélixhez.
A kitüntetett alszerkezeteken kívül – hasonló meggondolásokból – egyes kutatócsoportok gyógyszerek vagy klinikai jelöltek közül kiválasztott fragmenstulajdonságokkal rendelkező molekulákat is beépítenek a fragmenskönyvtárba. Nyilvánvalóan, a gyógyászatban már használatban lévő molekulák – ha alapos vizsgálat után is megfeleltek – farmakológiai, farmakokinetikai és toxicitási szempontból előnyösek lehetnek, de vezérmolekulaként való azonosításuknak esélye nem feltétlenül nagyobb, mint bármelyik másik fragmensé. A fragmenstalálat az optimalizálás során várhatóan jelentős változáson esik át, ezért az ismert farmakológiából vagy toxicitásból származó előnyök sem feltétlenül maradnak fent, kivéve, ha az ismert tulajdonságú elemeket sikerül a klinikai fázisig megőrizni.

Gyógyszerkémia

Tartalomjegyzék


Kiadó: Akadémiai Kiadó

Online megjelenés éve: 2026

ISBN: 978 963 664 145 0

A kötet az Akadémiai Kiadónál 2011-ben Gyógyszerkutatás kémiája címen megjelent kézikönyv hagyományaira alapozva a kismolekulás gyógyszerkutatás eszköztárára és módszertanára fókuszál. Újdonságot jelent a magyar nyelvű szakirodalomban, hogy a modern gyógyszerkémiai felfogásnak megfelelően nem pusztán a meglévő gyógyszerkincs kémiáját mutatja be, hanem betekintést enged a kismolekulás gyógyszerek felfedezésének stratégiájába is.

Hivatkozás: https://mersz.hu/keseru-gyogyszerkemia//

BibTeXEndNoteMendeleyZotero

Kivonat
fullscreenclose
printsave