Keserű György Miklós (szerk.)

Gyógyszerkémia


4.3.4. Fragmensek optimalizálása

Az alkalmazott szűrési technológiától függetlenül a fragmens-kiindulópontok az esetek túlnyomó többségében gyenge aktivitást mutatnak, tehát azok szisztematikus optimalizálásába jelentős erőforrást kell befektetni. A kihívást annyira nagynak tartják, hogy az irodalmi konszenzus szerint a fragmens–fehérje kötődés szerkezeti részleteinek ismerete elengedhetetlenül szükséges a sikerhez. Pedig a feladat gyakorlatilag azonos a HTS-találatok optimalizálásával azzal az előnnyel, hogy a kiindulópont magas ligandumhatékonysága biztosítja a minőségi kölcsönhatásokat, amelyeket az optimalizálás során részben tovább kell javítani és ki kell terjeszteni. Az optimalizálási folyamatot elegánsan kerüli meg a már korábban leírt SHAPES módszer, ahol a fragmensek szerkezete csak a vezérmolekula-szerű („lead-like”) könyvtár fókuszálására szolgál, viszont ez azzal a hátránnyal járhat, hogy a ténylegesen új molekulák felfedezésének valószínűsége csökken. A SHAPES sikere azonban arra is utal, hogy a fragmens alapvető információját megőrző vezérmolekula-szerű vegyületekhez szisztematikus gondolkodással akár a fehérjeszerkezet ismerete nélkül is el lehet jutni. A másik általánosan elfogadott kritérium az optimalizálás előtt a fragmensek minőségét jellemzi: a ligandumhatékonyság (ligand efficiency, LE) 0,3-nál magasabb kell legyen. A LE igazából 0,4 felett lenne kívánatos, de kisebb fragmenskönyvtáraktól nem lehet elvárni, hogy minden kemotípusra ideális kiindulópontot szolgáltassanak. Fragmensek 0,3-nál kisebb LE értékkel csak akkor érdemelnek figyelmet, ha nincsen jobb találatunk vagy ha a célpont különös fontosságot élvez, esetleg ha a célponttal való kölcsönhatás atomi részleteiből nyilvánvaló beavatkozási pont azonosítható. Utóbbit, ha az optimalizálást szerkezeti információk nélkül kezdjük meg, 10–50 könnyen hozzáférhető vagy szintetizálható molekula tesztelése helyettesítheti.
A kisméretű találatok optimalizálására az évek során három alapvető módszert fejlesztettek ki (4.3.10. ábra). Az első és a mai gyakorlatban meghatározó technika a fragmensek szerkezetének változtatása és kiterjesztése (azaz optimalizálása) krisztallográfiával és számítógépes modellezéssel támogatva vagy anélkül. Ez hasonló a gyógyszerkutatásban már korábban elterjedt optimalizálási módszerekhez. A második módszer különböző találatok egyesítése és összekapcsolása abban az esetben, ha az optimalizálásra több fragmens is rendelkezésre áll és azok bizonyítottan azonos, részlegesen átfedő vagy közvetlenül egymás mellett található kötőhelyekhez kötődnek (összeolvasztás vagy fúzió), illetve olyan kötőhelyeken találhatóak, amelyek egy közepes vagy kisebb híddal összekapcsolható távolságban vannak (összekapcsolás). A harmadik lehetőség, amit csak ritkán és főleg akadémiai környezetben használnak, a fragmensek fehérje segítségével (önszervező katalízis) történő felépítése. Ilyen reakció például a stabil hidrazonok előállítása, oximok szintézise vagy triazolok (klikk-) kémiája. Mivel a fehérje jelenléte nyilvánvalóan erősen limitálja az alkalmazható kémiát és ezáltal az elérhető kemotípusokat, ennek a technikának a gyakorlati jelentősége kicsi.
 
 
A fragmensek optimalizálásának gyakorlata – elsősorban az aktivitásban meglévő 2–4 nagyságrendi különbségnek köszönhetően, – jelentősen eltér a HTS-sel azonosított kiindulópontok optimalizálási gyakorlatától. A fragmenstalálatok rangsorolása nem aktivitás, hanem valamilyen ligandumhatékonysággal összefüggő mutató alapján történik. Ez azért fontos, mert a fragmenstartományban egy 150 Da-os és egy 300 Da-os molekula között kétszeres méretbeli különbség van, míg az ekkora eltérések HTS-könyvtárak esetében ritkábbak. Ha pusztán az aktivitást használnánk, az félrevezető lenne, mert egy 300 Da tömegű fragmensnél egy másik 150 Da tömegű, de 20%-kal alacsonyabb aktivitású molekula rosszabbnak tűnne. Pedig a kisebb, de kevésbé aktív fragmens fajlagos aktivitása sokkal jobb, és ezért jobb kiindulópontnak (vezérfragmensnek) tekinthető, mint a nagyobb és aktívabb társa. Fontos szempont továbbá, hogy a fragmensek előnyős tulajdonságaiból az optimalizálás során a lehető legtöbbet megőrizzünk. A fragmenskritériumok gyakorlatilag garantálják azt, hogy a fizikokémiai paraméterek szempontjából a vezérfragmens kiváló tulajdonságokkal rendelkezzen, de ezt a kiváló kiindulópontot az optimalizálás során el is lehet rontani. Ezért a fragmens–vezérmolekula fázisban (is) kritikus, hogy a javuló affinitás ne csak nagy lipofil csoportok hozzáadásával, a molekulaméretet növelésével történjen, hanem a molekulák hatékony poláris kötéseket is létesítsenek a célponttal (Keserű és mtsa, 2009). A poláris csoportok jelenléte nagymértékben segíti a vezérmolekula fizikai kémiai tulajdonságainak elfogadható szinten tartását, és hozzájárul a kötődési szabadentalpia entalpiakomponenséhez. Az utóbbi években számos utalás jelent meg az entalpiakomponens szerepéről a nem specifikus aktivitások és terápiás mellékhatások csökkentésében és ezzel együtt az úgynevezett „best-in-class” gyógyszerek kifejlesztésében (Ladbury és mtsai, 2010).
A legtöbb esetben a fragmens-hitek optimalizálását a mindennapi gyakorlatban megelőzi a kötődés atomi részleteinek felderítése NMR, röntgen vagy krio-eletronmikroszkópia segítségével. Általános vélekedés szerint ennek hiányában a feladat túl nehéz a fragmenseket preklinikai jelöltektől elválasztó nagyon jelentős távolság miatt. A fragmens kötődési részletének pontos ismerete valóban jelentős segítséget és támpontot nyújt az optimalizálás elindulásához, illetve a számítógépes molekulatervezés és az analízis közreműködéséhez, de a siker szerkezeti információ nélkül is elérhető a hagyományos szerkezet–aktivitás kapcsolati (SAR) modellek alapján. Utóbbit szemlélteti az in vitro biológiai fragmensszűrésen felfedezett AMPK kinázaktiváló fragmens optimalizálása fejlesztési jelölt státuszig a kötődés részleteinek ismerete nélkül (4.3.11. ábra, Lan és mtsai, 2017)
 
4.3.11. ábra. Fragmensoptimalizálás preklinikai jelöltig szerkezeti ismeret nélkül
 
A fragmensek szerkezeti információk által vezérelt optimalizálását a HSP90 (heat shock protein 90) fehérje gátlására talált kiindulópontból klinikai stádiumba jutatott példán mutatjuk be részletesen (Murray és mtsai, 2009, és Woodhead és mtsai, 2010).
A HSP90 (Heat Shock Protein 90) stresszfehérje számos, a rák kialakulásában és fenntartásában érintett fehérje működését támogatja, ezt a HSP90 gátlásának ígéretes sikere is megerősíti. Ezerhatszáz fragmens NMR-es szűrésekor az egyik érdekes találat egy fenolvázas fragmens volt, ami hasonlóságot mutatott a természetes anyag inhibitor „radikikol”- (monorden) molekulához, amiben két fenolcsoport is található (4.3.12. ábra).
 
4.3.12. ábra. Szerkezetalapú fragmensoptimalizálás a HSP90-gátlók példáján
Forrás: saját szerkesztés
 
Bár a kiindulási orto-metoxi-fragmens ligandumhatékonysági értéke 0,3 alatti (4.11, 4.3.12. ábra), a röntgendiffrakciós kép alapján nyilvánvaló volt, hogy ez jelentős mértékben a metoxicsoport elégtelen térkitöltésének a következménye: a 4.3.13. ábrán a 4.11 molekula felülete (kék színnel illusztrálva) nem nyúlik be a fehérje szürkére színezett zsebének jobb alsó, mélyen elhelyezkedő hidrofób részébe.
 
4.3.13. ábra. A 4.11 jelű fragmens kötődése a HSP90 aktív helyén
 
A metoxicsoport cseréje etil-, illetve terc-butil-csoportra 20-, illetve 100-szoros javulást eredményezett az izotermális titrálási kalorimetriával mért disszociációs állandóban, ami a ligandumhatékonyságot is a már elfogadható tartományba tolta (4.12, 4.3.12. ábra). Ezután az amidcsoport variálása került a reflektorfénybe. A karbonilcsoport oxigénatomja és gyűrűvel bezárt szöge fontosnak tűnt a háromdimenziós szerkezet alapján, ezért tercier amidokat szintetizáltak. A legjobb aktivitást az izoindolin-amid mutatta nanomoláris disszociációs állandóval és 0,4 feletti ligandumhatékonysággal (4.13). A ligandumhatékonyság folyamatos emelkedése is mutatta, hogy az optimalizálási folyamat valódi minőségi javulást is eredményezett a kemotipus kötődésében. A terc-butil-csoport izopropilra történő cserélését enyhe aktivitásjavulás kísérte. A fenol rezorcinolszerkezetté való átalakítását a radikikol hasonló kötődési módjának analógiájával magyarázhatjuk, mely végül is ugrásszerű javulást okozott az aktivitási és hatékonysági mutatókban (4.14). A 4.14 izoindolincsoportja a teret szűkítő 58-as lizin aminosav elmozdulásával megnyílt zsebrész kitöltésével további energianyereséget ért el, hozzájárulva a nanomolárisnál erősebb disszociációs állandó eléréséhez (4.3.14. ábra).
 
4.3.14. ábra. A 4.14 jelű inhibitor kötődése a HSP90 aktív helyén
 
A 4.14 megfelelő aktivitással rendelkezett az in vitro biológiai tesztekben, de fizikokémiai és farmakokinetikai tulajdonságai még jelentős kívánalmakat hagytak maguk után. A bázikus piperazincsoport beillesztése a szervezetben való elosztást megváltoztatva, és ezáltal a rákos sejtekben nagy koncentrációt eredményezve segítette elő a hatékonyság javulását annak ellenére, hogy a kiürülés továbbra is a kívánatosnál magasabb maradt. Az optimalizált molekula 4.15 (Astex kód: AT13387) onaleszpib néven számos rákellenes kombinációs terápiára lett kipróbálva fázis I/II vizsgálatokban, de limitált klinikai hatékonyság miatt a gyógyszerjelölt további fejlesztése abbamaradt.
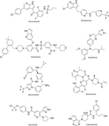
2025 első negyedévéig összesen nyolc fragmens kiindulópontra visszavezethető gyógyszer került jóváhagyásra az Amerikai Gyógyszerügynökség (FDA) által (4.3.15. ábra). Az első, történelmi jóváhagyás 2011-ben történt, amivel a Plexxikon Pharmceuticals által kifejlesztett BRAF-gátló gyógyszer, a Vemurafenib vált elérhetővé a betegek számára melanóma ellen, míg a könyv megírásáig az utolsó fragmensalapú gyógyszerjelölt elfogadása mellrák kezelésére 2023-ban a AKT-kinázinhibitor Capivaszertib volt.
 
4.3.15. ábra. Az Amerikai Gyógyszerügynökség által jóváhagyott fragmensalapú gyógyszerkutatással kifejlesztett molekulák
Forrás: saját szerkesztés
 

Gyógyszerkémia

Tartalomjegyzék


Kiadó: Akadémiai Kiadó

Online megjelenés éve: 2026

ISBN: 978 963 664 145 0

A kötet az Akadémiai Kiadónál 2011-ben Gyógyszerkutatás kémiája címen megjelent kézikönyv hagyományaira alapozva a kismolekulás gyógyszerkutatás eszköztárára és módszertanára fókuszál. Újdonságot jelent a magyar nyelvű szakirodalomban, hogy a modern gyógyszerkémiai felfogásnak megfelelően nem pusztán a meglévő gyógyszerkincs kémiáját mutatja be, hanem betekintést enged a kismolekulás gyógyszerek felfedezésének stratégiájába is.

Hivatkozás: https://mersz.hu/keseru-gyogyszerkemia//

BibTeXEndNoteMendeleyZotero

Kivonat
fullscreenclose
printsave