Általános kémia
Összefoglaló feladatok
- A π-kötésre jellemző, hogy éppen a pálya csomósíkjában van a kötéstengely. A δ-kötésre az jellemző, hogy a pálya két merőleges csomósíkjának metszésvonala esik egybe a kötéstengellyel. Milyen atompályákból és milyen orientáció mellett képződhet δ-kötés? Rajzoljon példát!
- A formaldehidmolekula összegképlete CH2O. Vajon milyen alakja van a molekulának?
- Hány magányos elektronpárja van a vízmolekulának? Mit mond erről a VSEPR-elmélet, a hibridizációs modell és az LCAO-MO modell?
- Milyen geometriája van a következő vegyületeknek: BeF2, CCl4, SeF6, MgI2, BBr3, NH+4, Te(OH)6, AuCl–2, CO2, XeO4, TiCl26–?
- Próbáljuk megbecsülni az etilénmolekula kötésszögeit!
- Hogyan néz ki a XeF4-molekula, ha
- m–m + k–k > 2 m–k
- m–m + k–k < 2 m–k.
- Az NH3- és a BF3-molekulák komplexet képeznek egymással, melyben a nitrogén elektronpárja datív kötést hoz létre a bóratommal. Milyen a kiindulási molekulák, és milyen a végtermékek geometriája?
- 7 ligandum közül 1 nagy, 6 kicsi. Pentagonális bipiramisos szerkezet esetén a nagy ligandum hol helyezkedik el?
- Milyen hibridállapotban vannak a következő molekulák központi atomjai: BeF2, CCl4, SeF6, MgI2, BBr3, NH+4, Te(OH)6, AuCl–2, CO2, XeO4, TiCl2–6?
- Milyen hibridállapotban van a xe-nonatom a következő vegyületekben: XeF2, XeF4, XeF6?
- Az NH3-nak vagy a PH3-nak nagyobb a dipólusmomentuma? A H–N–H kötésszög 107°, a H–P–H 91°.
- Milyen hibridállapotban vannak a benzol szénatomjai?
- Hogyan néz ki a XeF4-molekula?
- Tudjuk azt, hogy a periódusos rendszer egy főcsoportbeli oszlopában lefelé haladva az s-pályák egyre kisebb mértékben hibridizálódnak a p-pályákkal, az s-pálya egyre inkább inertté (azaz magános elektronpár-jellegűvé) válik. Ez alapján hogyan változik a kötésszög a hidrogénatomok között a következő molekulák esetében: NH3, PH3, AsH3, SbH3?
- A vegyértékelektronpár-taszítási elmélet alapján magyarázzuk meg, hogy az ammóniában a H–N–H kötésszög miért csak 107,9°, szemben a tetraédernek megfelelő 109,5°-kal? Hogyan változik ez a kötésszög, ha a három hidrogénatomot fluorra, klórra, illetve brómra cseréljük?
- Az alábbi molekulák közül melyek tetraéderesek: CCl4, SO42–, ClO4–, SiF4, XeF4, BF4–, [NiCl4]2–?
- Az alábbi molekulák közül melyekben van a-kötés: CH3COOH, CH3CHO, CH3CH2OH, CH3CH3?
- Melyek planárisak az alábbi molekulák közül:
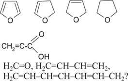
- Az alábbi molekulák közül melyek lineárisak:HC=N, HC=C–C=CH, HC=CH, H2C=CH–CH=CH2,H2C=C=CH2, HC=C–CH=CH2?
- A maleinsav és a fumársav egymás izomerjei:Mindkettő kétbázisú sav, csakhogy amíg a fumársav két ioniziációs egyensúlyi állandója között alig van különbség (pka1 = 3,03, pka2 = 4,44), a maleinsav első ionizációs egyensúlyi állandója jóval nagyobb, a második jóval kisebb, mint a fumársavé (pka1 = 1,97, pka2 = 6,07). Vajon mi lehet a magyarázat?
- Hogyan magyarázható az a meglepő tény, hogy a cseppfolyós hélium még 0 K hőmérsékleten sem szilárdul meg?
- A borazint 1926-ban állították elő először ammónia és borán reakciójával:2 B2H6 + 6 NH3 = 2 B3N3H6 + 12H2.A vegyület szerkezete igen érdekes:A B-N kötések azonos hosszúságúak, a molekula teljesen sík. Az aromás illatú folyadék termodinamikai szempontból igen stabilis.Mi jellemzi a vegyület elektronszerkezetét? Mi okozhatja a különleges stabilitást?
- Melyik molekulában nagyobb a kötéshossz és miért? (Minden esetben tekintsük a molekula alapállapotát.)
- O2, vagy O22+
- N2 vagy N22+
- LiF vagy LiF+.
- A 2-propenal sík szerkezetű molekula. A 2-propenal, etán, etén, etanol és acetaldehid számított kötéshosszai az alábbi táblázatban láthatók. Milyen tendenciát lehet észrevenni? Mi lehet ennek az oka?CH2 = CH–CHO2-propenalCH3–CH3etánCH2 = CH2etén CH3–CH2–OH etanolCH3–CHOacetaldehidA kötéshosszak az alábbiak: (Å-ben, 1 Å=10–10 m)kötésetáneténetanolacet-aldehid2-propenalC–C1,54–1,521,511,47C=C–1,34––1,34C–O––1,43––C=O–––1,211,22
- Melyik molekulának nagyobb a dipólusmomentuma: a cisz-2-buténnek, vagy a transz-2-buténnek?
- Az alábbi molekulák közül melyeknek zérus a dipólusmomentuma? PCl3, As2S3, BF3, SiCl4, BeCl2, H2O, H2S, H2Se, CaH2, PCl5.
- Milyen irányba mutat a következő molekulák dipólusmomentuma? Adjon egy dipólusmomentum-sorrendet!
- Mely molekulák képesek hidrogénhidas kötésre az alábbiak közül? NH3, CH3–O–CH3, CH4, Cl–, CH3–CH2–OH, CH3–COOH, C17H33–COOH, H2S, Na+, PH3, PF5.
- Hogyan változik a BF3-molekula geometriája az alábbi reakció során:BF3 + NH3 = BF3–NH3
- A H2Se-molekulában milyen a szelénatom hibridizációja? A H–Se–H kötésszög 91°.
- Melyek polárosak, melyek apolárosak az alábbi molekulák közül? NH3, PH3, NH4+, NO3–, CO3–, BCl2F, SeF2, SeF4, ICl3, PO43–, IF5, AlCl3, InF3, I3–, (CH3)2Ga.
- Hány betöltött molekulapálya van a következő molekulákban: H2O, NH3, CH4, CH2=CH2, C6H6, CH3COOH, SO42–?
- Milyen hibridállapotban van a nitrogén a következő molekulákban: NH3, NO2, N2O3, HNO2, HNO3?
- Milyen hibridállapotban van a klór a következő molekulákban: HCl, HOCl, HClO2, HClO3, HClO4?
- Milyen hibridállapotban van a xenon a következő molekulákban: XF2, XF4, XF6, XO3?
- Mi a hidrogén hibridállapota a HCl és a CH4 molekulákban?
- Mivel bizonyítható, hogy az NO2 molekula párosítatlan elektronja nem a delokalizált a-rendszerben van?
- Hogyan lehetséges, hogy amíg a PCl5 vagy az AsCl5 molekula létezik, addig az NCl5 nem létezik, csupán csak a három klórral koordinált NCl3?
- A CH4-molekula ideális tetraéderes szerkezetű. Hogyan változik a molekulageometria, ha az egyik hidrogént fluorra cseréljük?
- A PCl5 szabályos trigonális bipiramisos szerkezetű. Cseréljük ki két klóratomját fluorra. Vajon hogy alakul a térszerkezet? Mi történik, ha a két klóratomot brómra cseréljük?
- Adjunk becslést a PFBr4 és a PBrF4 molekulák térszerkezetére!
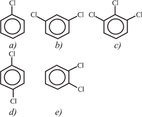
- Mi a molekulaszerkezet különbsége az ICl3 és az IF3 között?
- Hasonlítsa össze az NH3 és a PH3 térszerkezetét!
- Hasonlítsa össze az NF3 és a BF3 térszerkezetét!
- Hogyan változik a kötésszög a következő molekulákban: CH2, SiH2, GeH2?
- Mely molekulák lineárisak az alábbiak közül?ICl2–, H2Se, OF2, SnI2, SiH2, BrF2+.
- Mely molekulák planárisak az alábbiak közül?IF3, NCl3, CH3+, PH3, AlCl3, GaBr3.
- Mely molekulák tetraéderesek az alábbiak közül?ICl4–, CBr4, SiF42–, PCl4+, SF4.
- Rajzolja fel a nitrátion a-rendszeréhez tartozó molekulapályákat! Hány pályát kell felrajzolnunk? Ezek közül hány lesz betöltve és hány lesz üres?
- Az NH3, H2O és HF közül vajon melyik vegyületben a legerősebb a hidrogénkötés?
- Milyen a térszerkezete a SCl4-molekulának?
- Milyen hosszú az a polietilén lánc, mely 2000 –CH2–CH2– egységből áll?
-
ion Lewis-savként viselkedik, hasonlóan az alábbi bórvegyülethez:Ez utóbbi a sav-bázis reakciókban az üres p-pályájával vesz részt. Vajon a foszforvegyület melyik pályája aktív Lewis sav-bázis reakcióban?
- Hogyan lehetséges, hogy a benzol szigetelő, míg a grafit jó vezető?
- A szürkésfehér, rideg germánium még vékony rétegben sem átlátszó. Akkor hogyan lehetséges, hogy az infravörös sugárzást mégis átereszti?
- Hányféle rezgési állapota lehetséges a következő molekuláknak: NH3, C6H6, C12H24O12
- Miért nem lehetséges a PVC-t elpárologtatni?
- Amikor egy gumiszalagot megnyújtunk, az anyagban levő hosszú láncmolekulák „gombolyodottságát” változtatjuk meg: a molekulák ilyenkor megnyúlnak, egyenesednek. Hogyan értelmezhető, hogy a gumiszalag rugalmas, vagyis visszaugrik az eredeti, nem nyújtott pozíciójába?
- Egy kísérlet során valószínűsíthetően N2+-ionok keletkeznek. Hogyan lehetne megbizonyosodni erről?
- Adjuk meg az NO-molekula kötésrendjét!
- Mennyi a CO-molekulában a kötésrend?
- Milyen kölcsönhatások lehetségesek a következő molekulák között? HCl – HBr, NH3 – CH4, H2S – H2O, CH4 – CH4
- Az ún. Herzberg-szám a kötő és lazító pályákon levő elektronok különbsége. Melyik kétatomos molekula Herzberg-szám-értéke a legnagyobb, illetve legkisebb az alábbiak közül?Li2, Be2, B2, C2, N2, O2, F2, Ne2
Tartalomjegyzék
- Általános kémia
- Impresszum
- Előszó az új kiadáshoz
- Előszó
- 1. Fizikai mennyiségek és mérésük
- 2. Elemek és vegyületek
- 3. Keverékek és elegyek
- 4. Kémiai reakciók
- 5. Halmazok, halmazállapotok, halmazállapot-változások
- 5.1. Egykomponensű, egyfázisú rendszerek
- 5.1.1. Gázok állapotai és állapotegyenletei
- 5.1.2. Folyadékállapot
- 5.1.3. A szilárd állapot jellemzői
- 5.1.3.1. A kristályok szerkezete
- 5.1.3.2. Mi van az elemi cellában?
- 5.1.3.3. Kvázikristályok
- 5.1.3.4. Átmenet a cseppfolyós és kristályos állapotok között
- 5.1.3.5. Szilárd anyagok felületi sajátságai
- 5.1.3.6. Olvadás: a kristályrács összeomlása
- 5.1.3.7. Szilárd anyagok gőztenziója
- 5.1.3.8. Amorf anyagok
- 5.1.3.1. A kristályok szerkezete
- 5.2. Egykomponensű rendszerek fázisegyensúlyai
- 5.3. Kétkomponensű rendszerek
- Megoldások
- Ellenőrző kérdések
- Összefoglaló feladatok
- 5.1. Egykomponensű, egyfázisú rendszerek
- 6. A kémiai termodinamika alapjai
- 6.1. Intenzív és extenzív mennyiségek. Erők és áramok. Egyensúly: a termodinamika nulladik főtétele
- 6.2. Munka és energia: a termodinamika első főtétele
- 6.3. A folyamatok iránya: a II. főtétel
- 6.4. Az entrópia abszolút értéke: a III. főtétel
- 6.5. Kémiai potenciál. A fundamentális egyenlet
- 6.6. Termokémia
- 6.7. Anyagtranszport
- 6.8. Az egyensúly
- 6.9. Egyensúly és kémiai potenciál
- Megoldások
- Ellenőrző kérdések
- Összefoglaló feladatok
- 6.1. Intenzív és extenzív mennyiségek. Erők és áramok. Egyensúly: a termodinamika nulladik főtétele
- 7. Kémiai egyensúlyok
- 8. Sav-bázis elméletek
- 9. Elektrokémia
- 10. Az atomok szerkezete
- 11. A molekulák szerkezete
- 11.1. A kémiai kötés
- 11.2. A molekulák geometriája
- 11.3. A molekulák belső mozgásformái: rezgő- és forgómozgás
- 11.4. Az elektronsűrűség
- 11.5. Molekulák közötti kölcsönhatások
- 11.6. Anyagi és molekuláris tulajdonságok
- Megoldások
- Ellenőrző kérdések
- Összefoglaló feladatok
- 12. A kémiai kinetika
- Adattár
- 1. Fizikai állandók
- 2. Az elemek és tulajdonságaik
- 3. Oldhatóság vízben (%)
- 4. Elemek és ásványok kristályformái
- 5. Néhány anyag forráspontja különböző nyomásokon
- 6. Néhány anyag kritikus pontja és forráspontja (atmoszféranyomáson)
- 7. Néhány anyag olvadásponja különböző nyomásokon
- 8. Néhány anyag hármaspontja
- 9. Élelmiszerek energiatartalma
- 10. Néhány gyenge sav egyensúlyi állandója és pKs értéke
- 11. Néhány gyenge bázis egyensúlyi állandója és pKb értéke
- 12. Oldhatósági szorzatok
- 13. Standard elektródpotenciálok
- 1. Fizikai állandók
- Az összefoglaló feladatok megoldásai
Kiadó: Akadémiai Kiadó
Online megjelenés éve: 2017
ISBN: 978 963 454 051 9
A kémiának számos ága létezik (szerves, szervetlen, fizikai, analitikai, bio- és polimerkémia stb.), de általános kémia nevű diszciplínát nem ismerünk. Mégis: a General Chemistry, Allgemeine Chemie, Общая химия, kifejezések jól ismertek az egész világon. A világ minden részén százszámra találhatók ilyen címmel könyvek, és aligha van olyan egyetemi kémia fakultás, ahol ez a tantárgy ismeretlen. Az általános kémia kurzusok és könyvünk célja az, hogy az olvasó középiskolából hozott kémiai ismereteit olyan szintre segítse, amelyre a fenti szaktárgyak alapozhatnak. Feladata az alapfogalmak definiálása, mintegy a kémiai nyelv alapszókincsének megismertetése, a fontosabb fizikai és kémiai jelenségek és összefüggések megvilágítása. A könyv több - tipográfiailag is elkülönített - szinten használható. Anyaga a középiskolai kémiától elvezet az egyetemek másod- és harmadéves fizikai kémia tárgyáig. A fontos jelenségek mellé a haladók számára mélyebb magyarázatokat mellékel, melyeket a kezdők nyugodtan átugorhatnak anélkül, hogy ez gátolná a fő gondolatmenet megértését. Az olvasót számos érdekesség, tudománytörténeti kitekintés, rengeteg színes ábra, fénykép és több száz kidolgozott példa is segíti. Könyvünk elsőrendű célja tehát adott: bevezetés vagy inkább átvezetés a felsőfokú kémiába. A megcélzott olvasókör is adott: érdeklődő középiskolásoknak éppúgy szól, mint első- és másodéves, kémiát tanuló egyetemi hallgatóknak. Emellett ajánlható a középiskolák kémiatanárainak is: számos, a középiskolákban is könnyen használható anyagot tartalmaz - másként, mint ahogyan a középiskolákban általában tanítani szokás. Végül, de nem utolsósorban ajánljuk a könyvet mindazoknak, akik bármikor, bármilyen szinten belekóstoltak vagy belemerültek a kémia izgalmas világába.
Hivatkozás: https://mersz.hu/veszpremi-altalanos-kemia//
BibTeXEndNoteMendeleyZotero