Lantos Béla

Irányítási rendszerek elmélete és tervezése I.

Egyváltozós szabályozások


PEM modell identifikációja

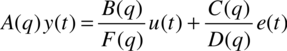
Az PEM modell esetén is a kvázi Newton-módszer szerinti optimum keresés javasolható a paraméterek meghatározására. A PEM modell a következő alakra hozható:

Irányítási rendszerek elmélete és tervezése I.

Tartalomjegyzék


Kiadó: Akadémiai Kiadó

Online megjelenés éve: 2016

ISBN: 978 963 059 848 4

Az irányítástechnika a műszaki tudományoknak azon ága, amely a különféle (műszaki, biológiai, közgazdasági stb.) területeken az irányítási műveletek általános törvényszerűségeivel, vizsgálati módszereivel, az irányítások tervezésével és realizálásával foglalkozik. Az irányítástechnika elengedhetetlen alapját képezi a technikai fejlődésnek, nélküle nem hozhatók létre biztonságos erőművi rendszerek, robotizált gyártórendszerek, repülőgépek és űrtechnikai berendezések.

A három kötetre tervezett sorozat eme első kötete az irányítástechnika klasszikus és modern irányzatait mutatja be. Általános rendszertechnikai összefoglalót ad a folytonosidejű és diszkrétidejű rendszerekről, a rendszerek különféle leírásairól többváltozós (MIMO) rendszerek esetén. Bemutatja a nemlineáris rendszerek stabilitásvizsgálati módszereit (Ljapunov-tételek) és a lineáris rendszerek (Hurwitz, Nyquist és Bode) stabilitáskritériumait. A rendszerelméleti bevezetésre alapozva bemutatja az egyváltozós (SIPOS) lineáris szabályozások elméletét és a leginkább bevált SISO szabályozótervezési módszereket frekvencia tartományban és állapottérben mind folytonosidejű (analóg), mind pedig diszkrétidejű (mintavételes) esetben. A klasszikus, fázistöbbleten alapuló módszereket kiegészítik a korszerű, polinomiális tervezési módszerek, továbbá az állapot-visszacsatoláson és állapotmegfigyelőn alapuló állapottérbeli szabályozási módszerek. Részletesen tárgyalja a PID szabályozók tervezését, az analóg szabályozók mintavételes implementálását, a mintavételes szabályozók tervezését bilineáris transzformációval, a végesbeállású szabályozást, holtidős rendszerek szabályozását Smith-prediktorral, a kétszabadságfokú szabályozások tervezését, a pólusáthelyezési feladat megoldását állapot-visszacsatolással, a teljesrendű állapotmegfigyelő tervezését és a zavarójel becslést. Bemutatja a statikus optimalizálás és a paraméterbecslés módszereit és alkalmazásukat a diszkrétidejű rendszerek identifikációjánál, valamint a többváltozós (MIMO) rendszerek altér-bázisú identifikációját. A módszereket példák illusztrálják, amelyek a MATLAB-ot és toolboxait használják.

A kötet jól hasznosítható az egyetemi és főiskolai szabályozástechnikai alap-, szakirányú és PhD képzésben, és rendszertechnikailag megalapozza a sorozat további köteteit (II. Korszerű szabályozási rendszerek, III. Soft Computing: fuzzy, neurális és genetikus algoritmusok.)

Hivatkozás: https://mersz.hu/lantos-iranyitasi-rendszerek-elmelete-es-tervezese-i//

BibTeXEndNoteMendeleyZotero

Kivonat
fullscreenclose
printsave