Irányítási rendszerek elmélete és tervezése I.
Egyváltozós szabályozások
F5.1 Másodrendű rendszerek diszkrétidejű átviteli függvényei
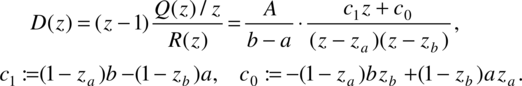
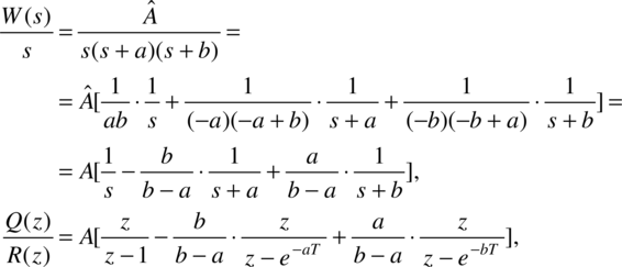
- Kéttárolós szakasz eseténBontsuk a W(s)/s kifejezést részlettörtekre és alkalmazzuk az (F4.16) összefüggéseket:Egyszerű átalakítások után a következő végeredményt kapjuk a kéttárolós szakasz diszkrétidejű átviteli függvényére:
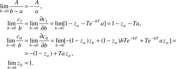
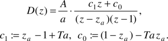
- Egytárolós integráló szakasz eseténEzért használható az (F5.3) eredmény, de venni kell a következő határértékeket:A határértékeket a L’Hospital-szabállyal értékeltük ki (a “nulla/nulla” alak miatt). Innen következik, hogy az egytárolós integráló szakasz diszkrétidejű átviteli függvénye új jelölések bevezetése után a következő lesz:
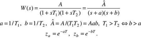
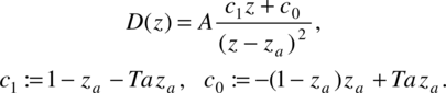
- Ha a két időállandó egyforma, akkorahonnan ismét (F5.3) és a L’Hospital-szabály felhasználásával, valamint új jelölésekkel kapjuk, hogy
- Kettősintegrátor esetén közvetlenül felhasználhatjuk az (F4.18) összefüggést:
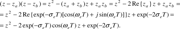
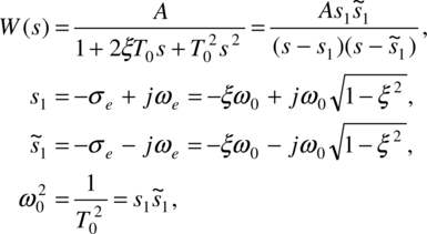
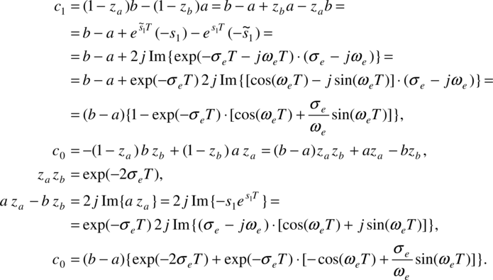
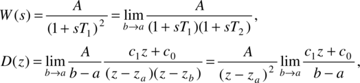
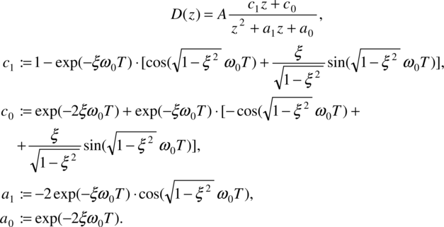
- Kéttárolós lengőtag esetén (0 ≤ ξ < 1):ezért a = –s1, b = –͠s1, za = es1T, zb = e͠͠s1T választható, és alkalmazható (F5.3). Felhasználjuk még, hogy z1z2 - ͠z1͠z2 = 2 j Im {z1z2}, továbbá b – a = 2jωe. Ezért (F5.3) alapján írható, hogyA karakterisztikus egyenlet a következő alakra hozható:Ezért a mintavételezett kéttárolós lengőtag diszkrétidejű átviteli függvénye új jelölések bevezetése után a következő lesz:
- Harmonikus oszcillátor esetén ξ = 0, ezért (F5.12) alapján
Tartalomjegyzék
- IRÁNYÍTÁSI RENDSZEREK ELMÉLETE ÉS TERVEZÉSE I. EGYVÁLTOZÓS SZABÁLYOZÁSOK
- Impresszum
- Előszó
- JELÖLÉSEK
- EGYVÁLTOZÓS SZABÁLYOZÁSOK
- 1. BEVEZETÉS
- 2. DINAMIKUS RENDSZEREK
- 3. FOLYTONOSIDEJŰ LINEÁRIS DINAMIKUS RENDSZEREK
- 4. DISZKRÉTIDEJŰ LINEÁRIS DINAMIKUS RENDSZEREK
- 5. FOLYTONOSIDEJŰ NEMLINEÁRIS RENDSZEREK
- 6. FOLYTONOSIDEJŰ LINEÁRIS SZABÁLYOZÁSOK ANALÍZISE
- 7. FOLYTONOSIDEJŰ LINEÁRIS SZABÁLYOZÁSOK TERVEZÉSE
- 7.1. PID típusú szabályozók
- 7.2. Szabályozó beállítás tervezése előírt statikus pontosság és fázistöbblet esetén
- 7.3. Szabályozó beállítás tervezése a hibanégyzet-integrál minimalizálásával
- 7.4. Gyökhelygörbe módszer
- 7.5. Holtidős tagot tartalmazó rendszerek irányítása
- 7.6. Szabályozó beállítás tervezése a beavatkozó jelre előírt korlátozás esetén
- 7.6.1. Statikus pontosság
- 7.6.2. Kompenzálási stratégia
- 7.6.3. A maximális beavatkozó jelre vonatkozó feltétel kapcsolata a szabályozó átmeneti függvényével
- 7.6.4. A felnyitott kör frekvenciafüggvényére vonatkozó feltételek
- 7.6.5. A tervezési feltételek megfogalmazása nemlineáris egyenletrendszer alakjában
- 7.6.6. Induló közelítések fsolve meghívásához
- 7.6.7. A tervezési feladat megoldása PID kompenzálás esetén
- 7.6.1. Statikus pontosság
- 7.7. Példa háromhurkos kaszkádszabályozás tervezésére
- 7.8. Szabályozók kísérleti beállítása
- 8. DISZKRÉTIDEJŰ LINEÁRIS SZABÁLYOZÁSOK ANALÍZISE
- 8.1. Shannon-féle mintavételezési törvény
- 8.2. Tartószervek
- 8.3. A jelterjedés leírása mintavételezett rendszerekben frekvenciatartományban
- 8.4. A jelterjedés leírása mintavételezett rendszerekben állapottérben
- 8.5. Analóg kompenzáló tagok mintavételes implementálása
- 8.6. A domináns póluspár helye a z-síkon
- 8.7. Mintavételes rendszerek stabilitása
- 8.8. Példa analóg PID szabályozó mintavételes megvalósítására
- 8.1. Shannon-féle mintavételezési törvény
- 9. DISZKRÉTIDEJŰ LINEÁRIS SZABÁLYOZÁSOK TERVEZÉSE
- 9.1. Mintavételes szabályozás tervezése bilineáris transzformációval
- 9.2. Véges beállási idejű (dead-beat) szabályozás
- 9.3. Kétszabadságfokú mintavételes szabályozás tervezése
- 9.3.1. Referencia modell és megfigyelő polinom
- 9.3.2. A tervezés visszavezetése diophantoszi egyenletre
- 9.3.3. Kauzalitási feltételek konvertálása fokszám feltételekké
- 9.3.4. Kétszabadságfokú szabályozás tervezési algoritmusa
- 9.3.5. A paraméterváltozások hatása
- 9.3.6. Példa kétszabadságfokú szabályozó tervezésére
- 9.3.7. Modell-követő szabályozás
- 9.3.8. A módszer általánosítási lehetőségei
- 9.3.9. Példa aktív csillapításra
- 9.3.1. Referencia modell és megfigyelő polinom
- 9.4. Holtidős rendszer mintavételes szabályozása Smith-prediktorral
- 10. IRÁNYÍTHATÓSÁG ÉS MEGFIGYELHETŐSÉG
- 10.1. Folytonosidejű lineáris rendszerek irányíthatósága
- 10.2. Folytonosidejű lineáris rendszerek megfigyelhetősége
- 10.3. Folytonosidejű lineáris időinvariáns rendszerek Kalman-féle felbontása
- 10.4. Diszkrétidejű rendszerek irányíthatósága és elérhetősége
- 10.5. Diszkrétidejű rendszerek megfigyelhetősége és rekonstruálhatósága
- 10.6. Pólusáthelyezés és állapotmegfigyelés diszkrét időben
- 11. SZABÁLYOZÁSOK TERVEZÉSE ÁLLAPOTTÉRBEN
- 11.1. Folytonosidejű szabályozások tervezése állapottérben
- 11.1.1. Pólusáthelyezés állapot-visszacsatolással
- 11.1.2. Ackermann-képlet
- 11.1.3. Állapot-visszacsatolás realizálása megfigyelővel
- 11.1.4. Alapjel miatti korrekció folytonos időben
- 11.1.5. Integráló szabályozás
- 11.1.6. Terhelésbecslés
- 11.1.7. Pólus/zérus kiejtés állapot-visszacsatolás, megfigyelő és alapjel miatti korrekció együttes alkalmazásakor
- 11.1.8. Példa folytonosidejű szabályozás tervezésére állapottérben
- 11.1.1. Pólusáthelyezés állapot-visszacsatolással
- 11.2. Diszkrétidejű szabályozások tervezése állapottérben
- 11.1. Folytonosidejű szabályozások tervezése állapottérben
- 12. OPTIMALIZÁLÁS ÉS PARAMÉTERBECSLÉS
- 13. DISZKRÉTIDEJŰ LINEÁRIS RENDSZEREK IDENTIFIKÁCIÓJA
- FÜGGELÉK
- A F1. VEKTOR ÉS MÁTRIX ALGEBRA
- B F2. KOMPLEX FÜGGVÉNYTANI ALAPOK
- C F3. FOURIER- ÉS LAPLACE-TRANSZFORMÁLT
- D F4. Z-TRANSZFORMÁLT
- E F5. MINTAVÉTELEZETT RENDSZEREK ÁTVITELI FÜGGVÉNYEI
- F F6. STABIL LINEÁRIS OPERÁTOROK A SOROZATOK l2 TERÉBEN
- G F7. A SZTOCHASZTIKUS FOLYAMATOK ALAPJAI
- H F8. MATLAB, SIMULINK, TOOLBOXOK
- IRODALOMJEGYZÉK
Kiadó: Akadémiai Kiadó
Online megjelenés éve: 2016
ISBN: 978 963 059 848 4
Az irányítástechnika a műszaki tudományoknak azon ága, amely a különféle (műszaki, biológiai, közgazdasági stb.) területeken az irányítási műveletek általános törvényszerűségeivel, vizsgálati módszereivel, az irányítások tervezésével és realizálásával foglalkozik. Az irányítástechnika elengedhetetlen alapját képezi a technikai fejlődésnek, nélküle nem hozhatók létre biztonságos erőművi rendszerek, robotizált gyártórendszerek, repülőgépek és űrtechnikai berendezések. A három kötetre tervezett sorozat eme első kötete az irányítástechnika klasszikus és modern irányzatait mutatja be. Általános rendszertechnikai összefoglalót ad a folytonosidejű és diszkrétidejű rendszerekről, a rendszerek különféle leírásairól többváltozós (MIMO) rendszerek esetén. Bemutatja a nemlineáris rendszerek stabilitásvizsgálati módszereit (Ljapunov-tételek) és a lineáris rendszerek (Hurwitz, Nyquist és Bode) stabilitáskritériumait. A rendszerelméleti bevezetésre alapozva bemutatja az egyváltozós (SIPOS) lineáris szabályozások elméletét és a leginkább bevált SISO szabályozótervezési módszereket frekvencia tartományban és állapottérben mind folytonosidejű (analóg), mind pedig diszkrétidejű (mintavételes) esetben. A klasszikus, fázistöbbleten alapuló módszereket kiegészítik a korszerű, polinomiális tervezési módszerek, továbbá az állapot-visszacsatoláson és állapotmegfigyelőn alapuló állapottérbeli szabályozási módszerek. Részletesen tárgyalja a PID szabályozók tervezését, az analóg szabályozók mintavételes implementálását, a mintavételes szabályozók tervezését bilineáris transzformációval, a végesbeállású szabályozást, holtidős rendszerek szabályozását Smith-prediktorral, a kétszabadságfokú szabályozások tervezését, a pólusáthelyezési feladat megoldását állapot-visszacsatolással, a teljesrendű állapotmegfigyelő tervezését és a zavarójel becslést. Bemutatja a statikus optimalizálás és a paraméterbecslés módszereit és alkalmazásukat a diszkrétidejű rendszerek identifikációjánál, valamint a többváltozós (MIMO) rendszerek altér-bázisú identifikációját. A módszereket példák illusztrálják, amelyek a MATLAB-ot és toolboxait használják. A kötet jól hasznosítható az egyetemi és főiskolai szabályozástechnikai alap-, szakirányú és PhD képzésben, és rendszertechnikailag megalapozza a sorozat további köteteit (II. Korszerű szabályozási rendszerek, III. Soft Computing: fuzzy, neurális és genetikus algoritmusok.)
Hivatkozás: https://mersz.hu/lantos-iranyitasi-rendszerek-elmelete-es-tervezese-i//
BibTeXEndNoteMendeleyZotero