Nagy Péter Tamás

Bevezetés az áramlások numerikus szimulációjába


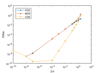
3.3. ábra. A különböző véges differenciasémák összehasonlítása az esetén pont körül. FDS - Előrelépéses Euler-módszer, BDS - Hátralépéses Euler-módszer, CDS - Másodrendű középponti differenciaséma

Bevezetés az áramlások numerikus szimulációjába

Tartalomjegyzék


Kiadó: Akadémiai Kiadó

Online megjelenés éve: 2020

ISBN: 978 963 454 533 0

Ennek a jegyzetnek a célja, hogy az áramlástan iránt érdeklődők elsajátítsák a numerikus modellezés alapvető elemeit. Megismerkedünk a modellezés folyamatával, majd az ehhez szükséges elméleti alapismeretekkel. Felelevenítjük, hogy milyen parciális differenciálegyenletekkel tudjuk modellezni az áramlásokat, adott esetben milyen elhanyagolásokkal élhetünk. Közben felidézzük a korábbi áramlástani és vektoralgebrai ismereteinket. Később ezt a pár egyenletet próbáljuk megoldani. Egy egyszerű problémától, az időben állandó egydimenziós áramlástól jutunk el az időben változó, több-dimenziós problémákig.

Hivatkozás: https://mersz.hu/nagy-bevezetes-az-aramlasok-numerikus-szimulaciojaba//

BibTeXEndNoteMendeleyZotero

Kivonat
fullscreenclose
printsave