7.1. Magyar és amerikai érzelmi válaszok összehasonlítás
Jegyzet elhelyezéséhez, kérjük, lépj be.!
Hivatkozások
Válaszd ki a számodra megfelelő hivatkozásformátumot:
Harvard
Deák Anita (2024): Képi ingerek alkalmazása érzelemkutatásokban. : Akadémiai Kiadó.
https://doi.org/10.1556/9789636640422Letöltve: https://mersz.hu/hivatkozas/m1250kiaek_346/#m1250kiaek_346 (2026. 03. 12.)
Chicago
Deák Anita. 2024. Képi ingerek alkalmazása érzelemkutatásokban. : Akadémiai Kiadó.
https://doi.org/10.1556/9789636640422
(Letöltve: 2026. 03. 12.https://mersz.hu/hivatkozas/m1250kiaek_346/#m1250kiaek_346)
APA
Deák A. (2024). Képi ingerek alkalmazása érzelemkutatásokban. Akadémiai Kiadó.
https://doi.org/10.1556/9789636640422.
(Letöltve: 2026. 03. 12.https://mersz.hu/hivatkozas/m1250kiaek_346/#m1250kiaek_346)
A magyar adaptáció elkészítésének első lépéseként a magyar mintán felvett adatokat összevetettük a standard amerikai adatokkal (Lang és mtsai, 2005). Az összehasonlítás arra a kérdésre válaszolt, hogy az IAPS-képekre adott reakciók a három affektív dimenzión mérve vajon kultúrától függetlenek-e? Melyik dimenzión érvényesül leginkább a kultúra hatása?
Jegyzet elhelyezéséhez, kérjük, lépj be.!
Hivatkozások
Válaszd ki a számodra megfelelő hivatkozásformátumot:
Harvard
Deák Anita (2024): Képi ingerek alkalmazása érzelemkutatásokban. : Akadémiai Kiadó.
https://doi.org/10.1556/9789636640422Letöltve: https://mersz.hu/hivatkozas/m1250kiaek_347/#m1250kiaek_347 (2026. 03. 12.)
Chicago
Deák Anita. 2024. Képi ingerek alkalmazása érzelemkutatásokban. : Akadémiai Kiadó.
https://doi.org/10.1556/9789636640422
(Letöltve: 2026. 03. 12.https://mersz.hu/hivatkozas/m1250kiaek_347/#m1250kiaek_347)
APA
Deák A. (2024). Képi ingerek alkalmazása érzelemkutatásokban. Akadémiai Kiadó.
https://doi.org/10.1556/9789636640422.
(Letöltve: 2026. 03. 12.https://mersz.hu/hivatkozas/m1250kiaek_347/#m1250kiaek_347)
Lang és munkatársainak bifázisos modellje alapján feltételeztük, hogy a képek univerzális érzelmi reakciókat váltanak ki a kísérleti személyekből a megközelítő és elkerülő/védekező rendszerek aktivációjának köszönhetően. Következésképpen, nem vártunk különbséget a magyar és az eredeti, amerikai átlagok összehasonlításakor. Feltételeztük, hogy a valencia és arousaldimenziók által meghatározott affektív térben megkapjuk a jellegzetes „bumeráng” alakú görbét.
Jegyzet elhelyezéséhez, kérjük, lépj be.!
Hivatkozások
Válaszd ki a számodra megfelelő hivatkozásformátumot:
Harvard
Deák Anita (2024): Képi ingerek alkalmazása érzelemkutatásokban. : Akadémiai Kiadó.
https://doi.org/10.1556/9789636640422Letöltve: https://mersz.hu/hivatkozas/m1250kiaek_348/#m1250kiaek_348 (2026. 03. 12.)
Chicago
Deák Anita. 2024. Képi ingerek alkalmazása érzelemkutatásokban. : Akadémiai Kiadó.
https://doi.org/10.1556/9789636640422
(Letöltve: 2026. 03. 12.https://mersz.hu/hivatkozas/m1250kiaek_348/#m1250kiaek_348)
APA
Deák A. (2024). Képi ingerek alkalmazása érzelemkutatásokban. Akadémiai Kiadó.
https://doi.org/10.1556/9789636640422.
(Letöltve: 2026. 03. 12.https://mersz.hu/hivatkozas/m1250kiaek_348/#m1250kiaek_348)
A nemzetközi eredményekhez hasonló nemi különbséget vártunk a képekre adott válaszokban, azaz a nők kellemetlenebbnek, intenzívebbnek és kevésbé kontrollálhatónak tartják a képek által kiváltott érzéseiket, mint a férfiak.
Jegyzet elhelyezéséhez, kérjük, lépj be.!
Hivatkozások
Válaszd ki a számodra megfelelő hivatkozásformátumot:
Harvard
Deák Anita (2024): Képi ingerek alkalmazása érzelemkutatásokban. : Akadémiai Kiadó.
https://doi.org/10.1556/9789636640422Letöltve: https://mersz.hu/hivatkozas/m1250kiaek_349/#m1250kiaek_349 (2026. 03. 12.)
Chicago
Deák Anita. 2024. Képi ingerek alkalmazása érzelemkutatásokban. : Akadémiai Kiadó.
https://doi.org/10.1556/9789636640422
(Letöltve: 2026. 03. 12.https://mersz.hu/hivatkozas/m1250kiaek_349/#m1250kiaek_349)
APA
Deák A. (2024). Képi ingerek alkalmazása érzelemkutatásokban. Akadémiai Kiadó.
https://doi.org/10.1556/9789636640422.
(Letöltve: 2026. 03. 12.https://mersz.hu/hivatkozas/m1250kiaek_349/#m1250kiaek_349)
A magyar mintát 108 egyetemi hallgató (26 férfi, 80 nő) alkotta. Átlagéletkoruk 19,96 év volt (szórás: 1,22 év). Az adatgyűjtés egyetemi előadások keretein belül, csoportosan zajlott pszichológia, szociológia, pedagógia, kommunikáció, turizmus és médiaszakos hallgatók bevonásával fővárosi és vidéki egyetemeken. Az amerikai adatokat a Floridai Egyetemen gyűjtötték bevezető pszichológiai kurzusokon. A kísérletben részt vevők pontos számát, átlagéletkorát és nemi megoszlását a szerzők nem említik (Lang és mtsai, 2005).
Jegyzet elhelyezéséhez, kérjük, lépj be.!
Hivatkozások
Válaszd ki a számodra megfelelő hivatkozásformátumot:
Harvard
Deák Anita (2024): Képi ingerek alkalmazása érzelemkutatásokban. : Akadémiai Kiadó.
https://doi.org/10.1556/9789636640422Letöltve: https://mersz.hu/hivatkozas/m1250kiaek_350/#m1250kiaek_350 (2026. 03. 12.)
Chicago
Deák Anita. 2024. Képi ingerek alkalmazása érzelemkutatásokban. : Akadémiai Kiadó.
https://doi.org/10.1556/9789636640422
(Letöltve: 2026. 03. 12.https://mersz.hu/hivatkozas/m1250kiaek_350/#m1250kiaek_350)
APA
Deák A. (2024). Képi ingerek alkalmazása érzelemkutatásokban. Akadémiai Kiadó.
https://doi.org/10.1556/9789636640422.
(Letöltve: 2026. 03. 12.https://mersz.hu/hivatkozas/m1250kiaek_350/#m1250kiaek_350)
Az IAPS 2005-ös verzióját alkotó több mint 900 képből (Lang és mtsai, 2005) 60 képet választottunk egy reprezentatív minta összeállításának céljából. A kiválasztásnál Verschuere, Crombez és Koster (2001) tanulmányában leírt, flamand mintán elvégzett validálási szempontokat követtük egy későbbi kultúrközi összehasonlító vizsgálat megkönnyítése érdekében. A flamand kutatásban mindhárom változó esetében (valencia, arousal, dominancia/kontroll) három tartományt különítettek el egymástól: alacsony (x < 4), közepes (4 ≤ x ≤ 6) és magas (6 < x). Ennek alapján 3 x 3 x 3, azaz 27 térbeli egységet kaptak a három dimenzió által meghatározott affektív térben. Következésképp minden kép beilleszthető a 27 térbeli egység valamelyikébe, ugyanakkor nem szükségszerű, hogy minden terület tartalmazzon legalább egy elemet. Például a 1660-as számú kép (gorilla) a magas valenciájú, átlagos arousalkiváltó értékű és átlagos mértékben kontrollálható térbeli egységhez tartozik. Verschuere és munkatársai (2001) összeszámolták, hány kép tartozik egy adott térbeli egységbe, és kiszámolták, hogy az összes kép hány százaléka esik az adott régióba. Így létrehoztak egy 60 képből álló „rövidített verziót”, amely az akkori teljes ingeranyag-készletnek (604 kép) tizedét alkotta, és reprezentatívnak volt tekinthető. Ha például 604 képből 25, azaz 4% tartozik a magas valenciájú (kellemes), magas arousalkiváltó értékű (intenzív) és nagymértékben kontrollálható egységbe, akkor a 60-as mintában is 4%-ban szerepelnek képek ebből az egységből (2,4 kerekítve 2). A kerekítés minden esetben lefelé történt. Az így kapott 50 képhez a szerzők további 10-et tettek hozzá azokból a szegmensekből, ahol a kerekítés a legnagyobb mértékű volt.
Jegyzet elhelyezéséhez, kérjük, lépj be.!
Hivatkozások
Válaszd ki a számodra megfelelő hivatkozásformátumot:
Harvard
Deák Anita (2024): Képi ingerek alkalmazása érzelemkutatásokban. : Akadémiai Kiadó.
https://doi.org/10.1556/9789636640422Letöltve: https://mersz.hu/hivatkozas/m1250kiaek_351/#m1250kiaek_351 (2026. 03. 12.)
Chicago
Deák Anita. 2024. Képi ingerek alkalmazása érzelemkutatásokban. : Akadémiai Kiadó.
https://doi.org/10.1556/9789636640422
(Letöltve: 2026. 03. 12.https://mersz.hu/hivatkozas/m1250kiaek_351/#m1250kiaek_351)
APA
Deák A. (2024). Képi ingerek alkalmazása érzelemkutatásokban. Akadémiai Kiadó.
https://doi.org/10.1556/9789636640422.
(Letöltve: 2026. 03. 12.https://mersz.hu/hivatkozas/m1250kiaek_351/#m1250kiaek_351)
Hasonlóan a nemzetközi gyakorlathoz a magyar kísérleti személyek minden képet három dimenzió (kellemesség, intenzitás és kontrollálhatóság) mentén értékeltek. Arra kértük a kísérleti személyeket, hogy az adott képpel kapcsolatos pillanatnyi érzelmi állapotukat jelöljék. A gyakorlási szakaszban három képet mutattunk be: egy pozitív (2030 – fiatal nő), egy semleges (7010 – kosár) és egy negatív képet (3100 – égési sérülést szenvedett ember). Erre azért volt szükség, hogy a kísérleti személyek viszonyítási alapot (lehorgonyzási pontokat) tudjanak kialakítani, másrészt megértsék a dimenziók jelentését, továbbá gyakorolják a SAMU-figurákon történő értékelést. Egy-egy képet 5 másodperig mutattunk, majd a kísérleti személyek 15 másodperc alatt értékelték a látott képet mindhárom dimenzió mentén. Az adatfelvétel teljes időtartama kb. egy óra volt.
Jegyzet elhelyezéséhez, kérjük, lépj be.!
Hivatkozások
Válaszd ki a számodra megfelelő hivatkozásformátumot:
Harvard
Deák Anita (2024): Képi ingerek alkalmazása érzelemkutatásokban. : Akadémiai Kiadó.
https://doi.org/10.1556/9789636640422Letöltve: https://mersz.hu/hivatkozas/m1250kiaek_352/#m1250kiaek_352 (2026. 03. 12.)
Chicago
Deák Anita. 2024. Képi ingerek alkalmazása érzelemkutatásokban. : Akadémiai Kiadó.
https://doi.org/10.1556/9789636640422
(Letöltve: 2026. 03. 12.https://mersz.hu/hivatkozas/m1250kiaek_352/#m1250kiaek_352)
APA
Deák A. (2024). Képi ingerek alkalmazása érzelemkutatásokban. Akadémiai Kiadó.
https://doi.org/10.1556/9789636640422.
(Letöltve: 2026. 03. 12.https://mersz.hu/hivatkozas/m1250kiaek_352/#m1250kiaek_352)
A többszempontos varianciaanalízis eredményei alapján a magyar kísérleti személyek kellemesség dimenzióra adott értékeinek átlaga 4,92 (szórás: 2,13), az arousal dimenzióé 5,3 (1,5), a kontrollálhatóságé pedig 5,61 (1,24) volt. Az amerikai mintán kapott átlagok az alábbiak szerint alakultak: a valenciadimenzión 5,01 (1,94), az arousal dimenzión 4,86 (1,21), a kontrollálás dimenzión pedig 5,15 (1,18). A magyar csoport tagjai úgy ítélték meg, hogy a képek által kiváltott érzelmi válaszaikat nagyobb mértékben tudták kontrollálni, mint az amerikaiak. (Nemzetek tekintetében valencia: F = 0,31; p>0,05; arousal: F = 2,99; p>0,05; kontrollálás: F = 15,05; p < 0,05.) A férfiak szignifikánsan magasabb értékeket rendeltek az érzelmi állapotok kontrollálásához, mint a nők. (Nemek tekintetében kellemesség: F = 0,73; p>0,05; arousal: F = 3,07; p>0,05; kontrollálás: F = 13,68; p < 0,05.) A változók között nem találtunk szignifikáns interakciót (nem * nemzet kellemesség: F = 0,11; p>0,05; arousal: F = 0,83; p>0,05; kontrollálás: F = 0,89; p>0,05). (Lásd 23. ábra és 10. táblázat.)
Jegyzet elhelyezéséhez, kérjük, lépj be.!
Hivatkozások
Válaszd ki a számodra megfelelő hivatkozásformátumot:
Harvard
Deák Anita (2024): Képi ingerek alkalmazása érzelemkutatásokban. : Akadémiai Kiadó.
https://doi.org/10.1556/9789636640422Letöltve: https://mersz.hu/hivatkozas/m1250kiaek_354/#m1250kiaek_354 (2026. 03. 12.)
Chicago
Deák Anita. 2024. Képi ingerek alkalmazása érzelemkutatásokban. : Akadémiai Kiadó.
https://doi.org/10.1556/9789636640422
(Letöltve: 2026. 03. 12.https://mersz.hu/hivatkozas/m1250kiaek_354/#m1250kiaek_354)
APA
Deák A. (2024). Képi ingerek alkalmazása érzelemkutatásokban. Akadémiai Kiadó.
https://doi.org/10.1556/9789636640422.
(Letöltve: 2026. 03. 12.https://mersz.hu/hivatkozas/m1250kiaek_354/#m1250kiaek_354)
10. táblázat. Magyar és amerikai átlagok összehasonlítása a nemek tekintetében. Zárójelben feltüntettük a szórást
|
Összesített
|
Férfiak
|
Nők
|
||||
|
magyar
|
amerikai
|
magyar
|
amerikai
|
magyar
|
amerikai
|
|
|
Valencia
|
4,92 (2,13)
|
5,01 (1,94)
|
5,03 (1,87)
|
5,26 (1,77)
|
4,89 (2,23)
|
4,95 (2,16)
|
|
Arousal
|
5,3 (1,5)
|
4,86 (1,21)
|
4,92 (1,57)
|
4,77 (1,26)
|
5,41 (1,52)
|
4,92 (1,26)
|
|
Kontrollálás
|
5,61 (1,24)
|
5,15 (1,18)
|
6,11 (1,48)
|
5,31 (1,19)
|
5,79 (1,21)
|
4,98 (1,22)
|
Hivatkozások
Válaszd ki a számodra megfelelő hivatkozásformátumot:
Harvard
Deák Anita (2024): Képi ingerek alkalmazása érzelemkutatásokban. : Akadémiai Kiadó.
https://doi.org/10.1556/9789636640422Letöltve: https://mersz.hu/hivatkozas/m1250kiaek_355/#m1250kiaek_355 (2026. 03. 12.)
Chicago
Deák Anita. 2024. Képi ingerek alkalmazása érzelemkutatásokban. : Akadémiai Kiadó.
https://doi.org/10.1556/9789636640422
(Letöltve: 2026. 03. 12.https://mersz.hu/hivatkozas/m1250kiaek_355/#m1250kiaek_355)
APA
Deák A. (2024). Képi ingerek alkalmazása érzelemkutatásokban. Akadémiai Kiadó.
https://doi.org/10.1556/9789636640422.
(Letöltve: 2026. 03. 12.https://mersz.hu/hivatkozas/m1250kiaek_355/#m1250kiaek_355)
23. ábra. Magyar és amerikai adatok összehasonlítása a valencia, az arousal és a kontroll dimenziója mentén
Jegyzet elhelyezéséhez, kérjük, lépj be.!
Hivatkozások
Válaszd ki a számodra megfelelő hivatkozásformátumot:
Harvard
Deák Anita (2024): Képi ingerek alkalmazása érzelemkutatásokban. : Akadémiai Kiadó.
https://doi.org/10.1556/9789636640422Letöltve: https://mersz.hu/hivatkozas/m1250kiaek_357/#m1250kiaek_357 (2026. 03. 12.)
Chicago
Deák Anita. 2024. Képi ingerek alkalmazása érzelemkutatásokban. : Akadémiai Kiadó.
https://doi.org/10.1556/9789636640422
(Letöltve: 2026. 03. 12.https://mersz.hu/hivatkozas/m1250kiaek_357/#m1250kiaek_357)
APA
Deák A. (2024). Képi ingerek alkalmazása érzelemkutatásokban. Akadémiai Kiadó.
https://doi.org/10.1556/9789636640422.
(Letöltve: 2026. 03. 12.https://mersz.hu/hivatkozas/m1250kiaek_357/#m1250kiaek_357)
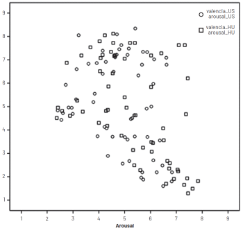
Egy további elemzés során a magyar és amerikai csoportok 60 képre adott átlagait elhelyeztük a valencia és arousal dimenziók által meghatározott affektív térben. Ahogy az a 24. ábrán látható, a két eloszlás nagymértékben megfelelt egymásnak.
Hivatkozások
Válaszd ki a számodra megfelelő hivatkozásformátumot:
Harvard
Deák Anita (2024): Képi ingerek alkalmazása érzelemkutatásokban. : Akadémiai Kiadó.
https://doi.org/10.1556/9789636640422Letöltve: https://mersz.hu/hivatkozas/m1250kiaek_358/#m1250kiaek_358 (2026. 03. 12.)
Chicago
Deák Anita. 2024. Képi ingerek alkalmazása érzelemkutatásokban. : Akadémiai Kiadó.
https://doi.org/10.1556/9789636640422
(Letöltve: 2026. 03. 12.https://mersz.hu/hivatkozas/m1250kiaek_358/#m1250kiaek_358)
APA
Deák A. (2024). Képi ingerek alkalmazása érzelemkutatásokban. Akadémiai Kiadó.
https://doi.org/10.1556/9789636640422.
(Letöltve: 2026. 03. 12.https://mersz.hu/hivatkozas/m1250kiaek_358/#m1250kiaek_358)
24. ábra. A képek eloszlása magyar és amerikai mintán
Jegyzet elhelyezéséhez, kérjük, lépj be.!
Hivatkozások
Válaszd ki a számodra megfelelő hivatkozásformátumot:
Harvard
Deák Anita (2024): Képi ingerek alkalmazása érzelemkutatásokban. : Akadémiai Kiadó.
https://doi.org/10.1556/9789636640422Letöltve: https://mersz.hu/hivatkozas/m1250kiaek_360/#m1250kiaek_360 (2026. 03. 12.)
Chicago
Deák Anita. 2024. Képi ingerek alkalmazása érzelemkutatásokban. : Akadémiai Kiadó.
https://doi.org/10.1556/9789636640422
(Letöltve: 2026. 03. 12.https://mersz.hu/hivatkozas/m1250kiaek_360/#m1250kiaek_360)
APA
Deák A. (2024). Képi ingerek alkalmazása érzelemkutatásokban. Akadémiai Kiadó.
https://doi.org/10.1556/9789636640422.
(Letöltve: 2026. 03. 12.https://mersz.hu/hivatkozas/m1250kiaek_360/#m1250kiaek_360)
A szakirodalom „bumeráng” alakzatként utal erre a sajátos eloszlási mintázatra, ugyanakkor felmerül a kérdés, hogy lineáris vagy négyzetes összefüggést mutatnak-e az adatok?
Jegyzet elhelyezéséhez, kérjük, lépj be.!
Hivatkozások
Válaszd ki a számodra megfelelő hivatkozásformátumot:
Harvard
Deák Anita (2024): Képi ingerek alkalmazása érzelemkutatásokban. : Akadémiai Kiadó.
https://doi.org/10.1556/9789636640422Letöltve: https://mersz.hu/hivatkozas/m1250kiaek_361/#m1250kiaek_361 (2026. 03. 12.)
Chicago
Deák Anita. 2024. Képi ingerek alkalmazása érzelemkutatásokban. : Akadémiai Kiadó.
https://doi.org/10.1556/9789636640422
(Letöltve: 2026. 03. 12.https://mersz.hu/hivatkozas/m1250kiaek_361/#m1250kiaek_361)
APA
Deák A. (2024). Képi ingerek alkalmazása érzelemkutatásokban. Akadémiai Kiadó.
https://doi.org/10.1556/9789636640422.
(Letöltve: 2026. 03. 12.https://mersz.hu/hivatkozas/m1250kiaek_361/#m1250kiaek_361)
A regressziós elemzés alapján megállapítottuk, hogy az amerikai mintára négyzetes függvény illeszkedik, míg a magyar adatokra mind a négyzetes, mind a lineáris összefüggés igaz (25. ábra). Ez azt jelenti, hogy az amerikai kísérleti személyek a közepes valenciájú semleges képekhez alacsony arousalkiváltó értéket társítottak, míg az arousal növekedésével két ág különíthető el. A középvonaltól balra az alacsony valenciájú, azaz a kellemetlen képek helyezkednek el, míg jobbra a magas valenciájú, vagyis a kellemes képek találhatók. A magyar adatokra illeszkedő négyzetes függvény ugyanígy értelmezhető. A magyar mintán talált lineáris összefüggés arra utalhat, hogy a valencia növekedésével kis mértékben együttjárhat az arousal csökkenése, más szavakkal, feszültségkeltőbbnek ítélik az alanyok a kellemetlen képeket, mint a semlegeseket és a kellemeseket.
Hivatkozások
Válaszd ki a számodra megfelelő hivatkozásformátumot:
Harvard
Deák Anita (2024): Képi ingerek alkalmazása érzelemkutatásokban. : Akadémiai Kiadó.
https://doi.org/10.1556/9789636640422Letöltve: https://mersz.hu/hivatkozas/m1250kiaek_362/#m1250kiaek_362 (2026. 03. 12.)
Chicago
Deák Anita. 2024. Képi ingerek alkalmazása érzelemkutatásokban. : Akadémiai Kiadó.
https://doi.org/10.1556/9789636640422
(Letöltve: 2026. 03. 12.https://mersz.hu/hivatkozas/m1250kiaek_362/#m1250kiaek_362)
APA
Deák A. (2024). Képi ingerek alkalmazása érzelemkutatásokban. Akadémiai Kiadó.
https://doi.org/10.1556/9789636640422.
(Letöltve: 2026. 03. 12.https://mersz.hu/hivatkozas/m1250kiaek_362/#m1250kiaek_362)
25. ábra. Az amerikai adatokra négyzetes függvény illeszthető, míg a magyar adatok négyzetes és lineáris összefüggést is mutatnak
Jegyzet elhelyezéséhez, kérjük, lépj be.!
Hivatkozások
Válaszd ki a számodra megfelelő hivatkozásformátumot:
Harvard
Deák Anita (2024): Képi ingerek alkalmazása érzelemkutatásokban. : Akadémiai Kiadó.
https://doi.org/10.1556/9789636640422Letöltve: https://mersz.hu/hivatkozas/m1250kiaek_364/#m1250kiaek_364 (2026. 03. 12.)
Chicago
Deák Anita. 2024. Képi ingerek alkalmazása érzelemkutatásokban. : Akadémiai Kiadó.
https://doi.org/10.1556/9789636640422
(Letöltve: 2026. 03. 12.https://mersz.hu/hivatkozas/m1250kiaek_364/#m1250kiaek_364)
APA
Deák A. (2024). Képi ingerek alkalmazása érzelemkutatásokban. Akadémiai Kiadó.
https://doi.org/10.1556/9789636640422.
(Letöltve: 2026. 03. 12.https://mersz.hu/hivatkozas/m1250kiaek_364/#m1250kiaek_364)
A tíz legkellemesebb és tíz legkellemetlenebb képet elemezve megállapíthatjuk, hogy a kellemetlen ingerek esetében tízből nyolc közös az amerikai és a magyar mintán. (Az összehasonlítást a 11. táblázatban ás a 12. táblázatban mutatjuk be.) Ezek a képek tartalmukat tekintve általában fenyegetettséget (vicsorgó állatok, fegyveres támadás), sérülést, kiszolgáltatottságot ábrázolnak. A két eltérő kép esetében a magyarok egy mellamputációs képet és egy részeg autóvezető perspektívájából látott képet tartanak kellemetlennek, míg az amerikaiak egy sebesülést és egy süllyedő hajót. Ez utóbbi kategóriából kettő is szerepel a tíz legkellemetlenebb kép között. A kellemes ingerek esetében nagyobb variabilitást mutatnak az adatok. A tíz legkellemesebb kép közül hat megegyezik: ezek állatkölyköket, kisbabákat, tájképet és kellemes társas helyzeteket ábrázolnak. A magyar mintán a további négy kép között találunk szexualitással kapcsolatos képeket, illetve egy állatkerti jelenetet. Az amerikaiak preferálják az édességet, valamint az égboltot, egy vízesést és egy űrhajóst ábrázoló képet emelnek a legpozitívabb ingerek közé.
Jegyzet elhelyezéséhez, kérjük, lépj be.!
Hivatkozások
Válaszd ki a számodra megfelelő hivatkozásformátumot:
Harvard
Deák Anita (2024): Képi ingerek alkalmazása érzelemkutatásokban. : Akadémiai Kiadó.
https://doi.org/10.1556/9789636640422Letöltve: https://mersz.hu/hivatkozas/m1250kiaek_366/#m1250kiaek_366 (2026. 03. 12.)
Chicago
Deák Anita. 2024. Képi ingerek alkalmazása érzelemkutatásokban. : Akadémiai Kiadó.
https://doi.org/10.1556/9789636640422
(Letöltve: 2026. 03. 12.https://mersz.hu/hivatkozas/m1250kiaek_366/#m1250kiaek_366)
APA
Deák A. (2024). Képi ingerek alkalmazása érzelemkutatásokban. Akadémiai Kiadó.
https://doi.org/10.1556/9789636640422.
(Letöltve: 2026. 03. 12.https://mersz.hu/hivatkozas/m1250kiaek_366/#m1250kiaek_366)
11. táblázat. A tíz legkellemesebbnek és a tíz legkellemetlenebbnek tartott kép magyar és amerikai megítélők szerint
|
10 legpozitívabb inger magyar mintán
|
10 legpozitívabb inger amerikai mintán
|
||||
|
sorszám
|
kép
|
valencia
|
sorszám
|
kép
|
valencia
|
|
1710
|
kutyakölykök
|
8,18
|
1710
|
kutyakölykök
|
8,34
|
|
1463
|
macskakölykök
|
8,12
|
2080
|
babák
|
8,09
|
|
8461
|
baráti társaság
|
8,05
|
5760
|
tájkép
|
8,05
|
|
2080
|
babák
|
7,89
|
7200
|
sütemény (brownie)
|
7,63
|
|
8540
|
győztes sportolók
|
7,78
|
8540
|
győztes sportolók
|
7,48
|
|
1601
|
zsiráfok
|
7,66
|
1463
|
macskakölykök
|
7,45
|
|
5760
|
tájkép
|
7,65
|
5594
|
égbolt
|
7,39
|
|
4669
|
szex
|
7,52
|
5260
|
vízesés (Niagara?)
|
7,34
|
|
4532
|
fiatal férfi
|
7,5
|
5460
|
űrhajós (USA zászló!)
|
7,33
|
|
2030
|
nő a tengerparton
|
7,47
|
8461
|
baráti társaság
|
7,22
|
Jegyzet elhelyezéséhez, kérjük, lépj be.!
Hivatkozások
Válaszd ki a számodra megfelelő hivatkozásformátumot:
Harvard
Deák Anita (2024): Képi ingerek alkalmazása érzelemkutatásokban. : Akadémiai Kiadó.
https://doi.org/10.1556/9789636640422Letöltve: https://mersz.hu/hivatkozas/m1250kiaek_368/#m1250kiaek_368 (2026. 03. 12.)
Chicago
Deák Anita. 2024. Képi ingerek alkalmazása érzelemkutatásokban. : Akadémiai Kiadó.
https://doi.org/10.1556/9789636640422
(Letöltve: 2026. 03. 12.https://mersz.hu/hivatkozas/m1250kiaek_368/#m1250kiaek_368)
APA
Deák A. (2024). Képi ingerek alkalmazása érzelemkutatásokban. Akadémiai Kiadó.
https://doi.org/10.1556/9789636640422.
(Letöltve: 2026. 03. 12.https://mersz.hu/hivatkozas/m1250kiaek_368/#m1250kiaek_368)
12. táblázat. A tíz legkellemetlenebbnek tartott kép magyar és amerikai megítélők szerint
|
10 legnegatívabb inger magyar mintán
|
10 legnegatívabb inger amerikai mintán
|
||||
|
sorszám
|
kép
|
valencia
|
sorszám
|
kép
|
valencia
|
|
3100
|
égési sérülés
|
1,6
|
3100
|
égési sérülés
|
1,26
|
|
3530
|
fegyveres támadás
|
1,8
|
3350
|
koraszülött
|
1,45
|
|
3350
|
koraszülött
|
1,88
|
9140
|
állattetem
|
1,58
|
|
9571
|
macskatetem
|
1,96
|
9571
|
macskatetem
|
1,68
|
|
9140
|
állattetem
|
2,19
|
3530
|
fegyveres támadás
|
1,69
|
|
6570
|
fegyver a fejhez
|
2,19
|
6570
|
fegyver a fejhez
|
1,72
|
|
6540
|
támadás késsel
|
2,19
|
9600
|
süllyedő hajó
|
2,18
|
|
9600
|
süllyedő hajó
|
2,48
|
6540
|
támadás késsel
|
2,28
|
|
9432
|
mellamputáció
|
2,56
|
9620
|
süllyedő hajó
|
2,51
|
|
2751
|
részeg autóvezető
|
2,67
|
3190
|
seb
|
2,72
|
Jegyzet elhelyezéséhez, kérjük, lépj be.!
Hivatkozások
Válaszd ki a számodra megfelelő hivatkozásformátumot:
Harvard
Deák Anita (2024): Képi ingerek alkalmazása érzelemkutatásokban. : Akadémiai Kiadó.
https://doi.org/10.1556/9789636640422Letöltve: https://mersz.hu/hivatkozas/m1250kiaek_369/#m1250kiaek_369 (2026. 03. 12.)
Chicago
Deák Anita. 2024. Képi ingerek alkalmazása érzelemkutatásokban. : Akadémiai Kiadó.
https://doi.org/10.1556/9789636640422
(Letöltve: 2026. 03. 12.https://mersz.hu/hivatkozas/m1250kiaek_369/#m1250kiaek_369)
APA
Deák A. (2024). Képi ingerek alkalmazása érzelemkutatásokban. Akadémiai Kiadó.
https://doi.org/10.1556/9789636640422.
(Letöltve: 2026. 03. 12.https://mersz.hu/hivatkozas/m1250kiaek_369/#m1250kiaek_369)
Az első vizsgálat célja az volt, hogy összehasonlítsuk a magyar adatokat az amerikai standarddal. Első hipotézisünk, amelyben szignifikáns különbség hiányát tételeztük fel, csak részben teljesült. A kellemesség és az intenzitás megítélésében a két nemzet nem különbözött, viszont a kontrollálhatóság dimenzión a magyarok magasabb értéket értek el, azaz megítélésük szerint a képek által kiváltott érzelmi állapotok felett jobban tudnak uralkodni, mint ahogy az amerikaiak önmagukat jellemzik. A valencia és arousal dimenziókon kapott eredményt magyarázhatnánk azzal, hogy az érzelmek univerzalitása mutatkozott meg, de óvatosságra inthet bennünket az a tény, hogy a 60 képre adott átlagolt válaszok kerültek összehasonlításra, így a szélsőségesen negatív (valencia skálán alacsony értékek) és szélsőségesen pozitív képek (valenciaskálán magas értékek) átlaga a skála közepére esik. Pontosabb eredményt kapnánk olyan elemzésből, amelyben képenkénti összehasonlítás történik vagy képcsoportokra (pl. negatív, pozitív, semleges) adott válaszokat vetnénk össze.
Jegyzet elhelyezéséhez, kérjük, lépj be.!
Hivatkozások
Válaszd ki a számodra megfelelő hivatkozásformátumot:
Harvard
Deák Anita (2024): Képi ingerek alkalmazása érzelemkutatásokban. : Akadémiai Kiadó.
https://doi.org/10.1556/9789636640422Letöltve: https://mersz.hu/hivatkozas/m1250kiaek_370/#m1250kiaek_370 (2026. 03. 12.)
Chicago
Deák Anita. 2024. Képi ingerek alkalmazása érzelemkutatásokban. : Akadémiai Kiadó.
https://doi.org/10.1556/9789636640422
(Letöltve: 2026. 03. 12.https://mersz.hu/hivatkozas/m1250kiaek_370/#m1250kiaek_370)
APA
Deák A. (2024). Képi ingerek alkalmazása érzelemkutatásokban. Akadémiai Kiadó.
https://doi.org/10.1556/9789636640422.
(Letöltve: 2026. 03. 12.https://mersz.hu/hivatkozas/m1250kiaek_370/#m1250kiaek_370)
Azt találtuk, hogy a magyar adatok eloszlása az amerikaihoz hasonló – jellegzetes „bumeráng” alakú – mintázatot mutatott a valencia és arousal dimenziók által határolt affektív térben. A „bumeráng” alsó szárán helyezkednek el azok a képek, amelyek magas értékkel bírnak az arousal dimenzión, és alacsony értéket vesznek fel a kellemesség tengelyén. Ezek a feszültéget kiváltó, kellemetlen képek. A „bumeráng” másik száránál található képeknek szintén magas az arousalkiváltó értékük, ugyanakkor ezekhez magas valenciaérték társul. Ide sorolhatók az izgatottságot kiváltó kellemes képek. A „bumeráng” középső részén találhatók a semleges képek, amelyek arousalkiváltó értéke alacsony, és a valenciájuk a középső tartományba esik, se nem kellemesek, se nem kellemetlenek, azaz semlegesek. Megállapítottuk, hogy az amerikai adatokra négyzetes függvény illeszthető, ezzel szemben a magyar mintán a négyzetes mellett lineáris összefüggés is feltárható. Ez arra utal, hogy az amerikai kultúrában mind a pozitív, mind a negatív ingerekhez társulhat intenzív feszültség, míg a magyar személyek számára több jelentést hordoz ez a fogalom. Nevezetesen, a magyar mintában vannak olyan személyek, akik számára a feszültségnövekedés együtt változik az érzelem kellemetlenségével, ily módon a feszültség inkább negatív érzésekhez társul, míg mások számára a pozitív érzelmek és a negatív érzelmek egyaránt kiválthatnak nagyon intenzív érzelmeket, ahogy ezt az amerikaiak esetében láthatjuk.
Jegyzet elhelyezéséhez, kérjük, lépj be.!
Hivatkozások
Válaszd ki a számodra megfelelő hivatkozásformátumot:
Harvard
Deák Anita (2024): Képi ingerek alkalmazása érzelemkutatásokban. : Akadémiai Kiadó.
https://doi.org/10.1556/9789636640422Letöltve: https://mersz.hu/hivatkozas/m1250kiaek_371/#m1250kiaek_371 (2026. 03. 12.)
Chicago
Deák Anita. 2024. Képi ingerek alkalmazása érzelemkutatásokban. : Akadémiai Kiadó.
https://doi.org/10.1556/9789636640422
(Letöltve: 2026. 03. 12.https://mersz.hu/hivatkozas/m1250kiaek_371/#m1250kiaek_371)
APA
Deák A. (2024). Képi ingerek alkalmazása érzelemkutatásokban. Akadémiai Kiadó.
https://doi.org/10.1556/9789636640422.
(Letöltve: 2026. 03. 12.https://mersz.hu/hivatkozas/m1250kiaek_371/#m1250kiaek_371)
A nemek közti különbségre vonatkozó, harmadik feltevésünk részben igazolódott. Az első két dimenzión nem kaptunk szignifikáns különbséget, azonban a harmadik dimenzió mentén eltérés mutatkozott. A férfiak átlaga magasabb volt, mint a nőké, vagyis a férfiak arról számoltak be, hogy nagyobb mértékben képesek kontrollálni az érzéseiket, azok kevésbé uralkodnak el rajtuk. Ezt az eredményt a konzervatív nemi szerepekkel magyarázhatjuk, vagyis a társadalmi normákhoz igazodva a férfiak kevésbé tartják magukat „érzelgősnek”, kevésbé mutatják ki az érzéseiket, jobban kontrollálják az érzelmeiket. Ahogy a közmondás tartja: „A sírás asszonyi fogás”. Az IAPS-képekkel végzett nemzetközi eredmények összehasonlítása azonban pontosabb képet adhat a kulturális azonosságokról és különbségekről.
Jegyzet elhelyezéséhez, kérjük, lépj be.!
Hivatkozások
Válaszd ki a számodra megfelelő hivatkozásformátumot:
Harvard
Deák Anita (2024): Képi ingerek alkalmazása érzelemkutatásokban. : Akadémiai Kiadó.
https://doi.org/10.1556/9789636640422Letöltve: https://mersz.hu/hivatkozas/m1250kiaek_372/#m1250kiaek_372 (2026. 03. 12.)
Chicago
Deák Anita. 2024. Képi ingerek alkalmazása érzelemkutatásokban. : Akadémiai Kiadó.
https://doi.org/10.1556/9789636640422
(Letöltve: 2026. 03. 12.https://mersz.hu/hivatkozas/m1250kiaek_372/#m1250kiaek_372)
APA
Deák A. (2024). Képi ingerek alkalmazása érzelemkutatásokban. Akadémiai Kiadó.
https://doi.org/10.1556/9789636640422.
(Letöltve: 2026. 03. 12.https://mersz.hu/hivatkozas/m1250kiaek_372/#m1250kiaek_372)
Összefoglalásként elmondható tehát, hogy a magyar adatok nem tértek el jelentős mértékben az amerikai standardtól. A képek által kiváltott érzelmi állapotok kellemesség- és intenzitásbeli megítélése nagyon hasonlóan alakult, míg a kontrollálhatóság dimenzión kapott eltolódásból (ti. magyarok magasabb átlaga) a kultúra érzelemszabályozó hatására következtettünk. Ugyancsak tetten érhető a kultúra hatása, amikor a tíz legkellemesebb és tíz legkellemetlenebbnek tartott képet hasonlítjuk össze tartalmuk szerint. A kellemetlen képek esetében nagyobb mértékű az univerzalitás, magasabb szintű megfelelés mutatható ki az amerikai és a magyar választások között. Mindebből arra következtethetünk, hogy az életet és a biztonságot fenyegető helyzetek felismerése egyetemes. A kultúra hatása inkább a pozitív képek választásában érvényesült. A magyar fiatalok az aktuális életszakaszuknak megfelelően a párválasztással, szexualitással kapcsolatos ingereket választották, míg az amerikaiak a kultúra „termékeire” voltak fogékonyak. Például, az egyik bemutatott képen látható sütemény amerikai „találmány” (brownie). Hasonlóképpen feltételezhető, hogy a vízesést a Niagarával azonosították, míg az űrhajós vállán felfedezték az amerikai zászlót, ami a magyar csoportnak irreleváns képi részlet volt.