6.2.1. Szakirodalmi háttér
Jegyzet elhelyezéséhez, kérjük, lépj be.!
Hivatkozások
Válaszd ki a számodra megfelelő hivatkozásformátumot:
Harvard
Juhász Kornélia (2025): A mandarin beszédhangok produkciója kínaiul tanuló magyar anyanyelvűek ejtésében. : Akadémiai Kiadó.
https://doi.org/10.1556/9789636641467Letöltve: https://mersz.hu/hivatkozas/m1313amandny_708/#m1313amandny_708 (2026. 04. 14.)
Chicago
Juhász Kornélia. 2025. A mandarin beszédhangok produkciója kínaiul tanuló magyar anyanyelvűek ejtésében. : Akadémiai Kiadó.
https://doi.org/10.1556/9789636641467
(Letöltve: 2026. 04. 14.https://mersz.hu/hivatkozas/m1313amandny_708/#m1313amandny_708)
APA
Juhász K. (2025). A mandarin beszédhangok produkciója kínaiul tanuló magyar anyanyelvűek ejtésében. Akadémiai Kiadó.
https://doi.org/10.1556/9789636641467.
(Letöltve: 2026. 04. 14.https://mersz.hu/hivatkozas/m1313amandny_708/#m1313amandny_708)
Ebben az alfejezetben bevezetett kísérlet célja, hogy kínaiul tanuló magyar anyanyelvűek produkciójában vizsgálja meg a mandarin kínai nyelv három olyan magánhangzóját, melyek a magyar anyanyelvűek számára képzésükben számos új, az anyanyelvi beszédhangjaikra nem jellemző tulajdonságot hordoznak: az illabiális veláris [ɤ] magánhangzót, az alveoláris approximánst [ɹ], valamint a posztalveoláris approximánst [ɻ]. E beszédhangok vizsgálatakor fontos megemlítenünk, hogy fonológiai szempontból mindhárom vokalikus szegmentum kontextusfüggő allofónként jelenik meg. Az illabiális veláris magánhangzó [ɤ] az /e/ fonéma egy olyan allofónja, amely csak nyílt szótagokban fordul elő nukleuszként, míg az alveoláris approximáns [ɹ], valamint a posztalveoláris approximáns [ɻ] csak a velük megegyező képzési helyű obstruensek után jelenik meg, szintén nyílt szótagokban. (vö. 3.1.1.2.1. fejezet).
Jegyzet elhelyezéséhez, kérjük, lépj be.!
Hivatkozások
Válaszd ki a számodra megfelelő hivatkozásformátumot:
Harvard
Juhász Kornélia (2025): A mandarin beszédhangok produkciója kínaiul tanuló magyar anyanyelvűek ejtésében. : Akadémiai Kiadó.
https://doi.org/10.1556/9789636641467Letöltve: https://mersz.hu/hivatkozas/m1313amandny_709/#m1313amandny_709 (2026. 04. 14.)
Chicago
Juhász Kornélia. 2025. A mandarin beszédhangok produkciója kínaiul tanuló magyar anyanyelvűek ejtésében. : Akadémiai Kiadó.
https://doi.org/10.1556/9789636641467
(Letöltve: 2026. 04. 14.https://mersz.hu/hivatkozas/m1313amandny_709/#m1313amandny_709)
APA
Juhász K. (2025). A mandarin beszédhangok produkciója kínaiul tanuló magyar anyanyelvűek ejtésében. Akadémiai Kiadó.
https://doi.org/10.1556/9789636641467.
(Letöltve: 2026. 04. 14.https://mersz.hu/hivatkozas/m1313amandny_709/#m1313amandny_709)
Mint ahogy az 1.2.3. fejezetben bemutattam, a magánhangzók produkcióját kváziperiodikus akusztikai jel és akadály nélküli, nyílt toldalékcső kíséri. A kínai illabiális veláris [ɤ] magánhangzó esetében a nyelvtest hátrahúzódik a szájüreg hátulsó részébe, ahol középső nyelvállással szűkületet képez, és a szegmentum ejtését nem kíséri ajakkerekítés (Lin 2007). Ezt akusztikai mérőszámokra lefordítva az [ɤ] ejtésekor a nyelvtest a hátulsó üreg felé húzódva csökkenti annak térfogatát, ami alacsonyabb F2-értéket eredményez, azonban mivel az ejtést nem kíséri ajakkerekítés, ezért az F3 értéke viszonylag magas lesz.
Jegyzet elhelyezéséhez, kérjük, lépj be.!
Hivatkozások
Válaszd ki a számodra megfelelő hivatkozásformátumot:
Harvard
Juhász Kornélia (2025): A mandarin beszédhangok produkciója kínaiul tanuló magyar anyanyelvűek ejtésében. : Akadémiai Kiadó.
https://doi.org/10.1556/9789636641467Letöltve: https://mersz.hu/hivatkozas/m1313amandny_710/#m1313amandny_710 (2026. 04. 14.)
Chicago
Juhász Kornélia. 2025. A mandarin beszédhangok produkciója kínaiul tanuló magyar anyanyelvűek ejtésében. : Akadémiai Kiadó.
https://doi.org/10.1556/9789636641467
(Letöltve: 2026. 04. 14.https://mersz.hu/hivatkozas/m1313amandny_710/#m1313amandny_710)
APA
Juhász K. (2025). A mandarin beszédhangok produkciója kínaiul tanuló magyar anyanyelvűek ejtésében. Akadémiai Kiadó.
https://doi.org/10.1556/9789636641467.
(Letöltve: 2026. 04. 14.https://mersz.hu/hivatkozas/m1313amandny_710/#m1313amandny_710)
Az illabiális veláris magánhangzó képzés közbeni nyelvműködését a 71. ábra mutatja be.
Hivatkozások
Válaszd ki a számodra megfelelő hivatkozásformátumot:
Harvard
Juhász Kornélia (2025): A mandarin beszédhangok produkciója kínaiul tanuló magyar anyanyelvűek ejtésében. : Akadémiai Kiadó.
https://doi.org/10.1556/9789636641467Letöltve: https://mersz.hu/hivatkozas/m1313amandny_711/#m1313amandny_711 (2026. 04. 14.)
Chicago
Juhász Kornélia. 2025. A mandarin beszédhangok produkciója kínaiul tanuló magyar anyanyelvűek ejtésében. : Akadémiai Kiadó.
https://doi.org/10.1556/9789636641467
(Letöltve: 2026. 04. 14.https://mersz.hu/hivatkozas/m1313amandny_711/#m1313amandny_711)
APA
Juhász K. (2025). A mandarin beszédhangok produkciója kínaiul tanuló magyar anyanyelvűek ejtésében. Akadémiai Kiadó.
https://doi.org/10.1556/9789636641467.
(Letöltve: 2026. 04. 14.https://mersz.hu/hivatkozas/m1313amandny_711/#m1313amandny_711)
71. ábra: A mandarin illabiális veláris [ɤ] magánhangzó nyelvultrahangos képe oldalnézeti keresztmetszetben (balra): a fehér vonal mutatja a nyelv felszínét, a kép bal oldalán helyezkedik el a nyelvgyök, jobbra pedig a nyelv csúcsa (Chen et al. 2019: 378. nyomán); illetve a [ɤ] nyelvultrahangos képének háromdimenziós modellje (jobbra) (Chen et al. 2019: 380)
Jegyzet elhelyezéséhez, kérjük, lépj be.!
Hivatkozások
Válaszd ki a számodra megfelelő hivatkozásformátumot:
Harvard
Juhász Kornélia (2025): A mandarin beszédhangok produkciója kínaiul tanuló magyar anyanyelvűek ejtésében. : Akadémiai Kiadó.
https://doi.org/10.1556/9789636641467Letöltve: https://mersz.hu/hivatkozas/m1313amandny_713/#m1313amandny_713 (2026. 04. 14.)
Chicago
Juhász Kornélia. 2025. A mandarin beszédhangok produkciója kínaiul tanuló magyar anyanyelvűek ejtésében. : Akadémiai Kiadó.
https://doi.org/10.1556/9789636641467
(Letöltve: 2026. 04. 14.https://mersz.hu/hivatkozas/m1313amandny_713/#m1313amandny_713)
APA
Juhász K. (2025). A mandarin beszédhangok produkciója kínaiul tanuló magyar anyanyelvűek ejtésében. Akadémiai Kiadó.
https://doi.org/10.1556/9789636641467.
(Letöltve: 2026. 04. 14.https://mersz.hu/hivatkozas/m1313amandny_713/#m1313amandny_713)
A jelen kísérletben az illabiális veláris [ɤ] mellett két approximánst is vizsgálok, az alveoláris [ɹ]-t, és a posztalveoláris [ɻ]-t. Fontos megemlíteni, hogy az IPA fonetikus lejegyzési rendszerben [ɹ] jelöli a dentális, alveoláris és posztaveoláris approximánsokat egyaránt. Mivel azonban a jelen kutatásban ugyanazzal az IPA szimbólummal jelölt, de két eltérő képzési helyű beszédhangot hasonlítok össze, ezért a képzési hely eltérését az IPA lejegyzésben is jelölöm Lee és Zee (2001) illetve Lee-Kim (2014) munkáját véve alapul. Az alveoláris és posztalveoláris approximáns fonológiai szempontból – mint fentebb említettem – a mandarinban az /i/ fonéma allofónjai, melyek fonotaktikailag szótagmagi szerepet töltenek be, emiatt ezeket a beszédhangokat apikális magánhangzónak is tekintik (Zhou–Wu 1963, lásd a 3.1.1.2.1. fejezetet). Ugyanazon fonéma allofónjai lévén a két approximáns egymással komplementáris disztribúcióban áll, azaz míg az alveoláris approximáns csak dentális/alveoláris [s] szibiláns (és annak affrikáta [d̥͡s], [t͡sʰ] módosulata) után, addig a posztalveoláris approximáns csak kváziretroflex posztalveoláris [ʂ] szibiláns (vagy annak affrikáta módosulata [d̥͡ʂ], [t͡ʂʰ]) után valósul meg (Duanmu 2000). Ezek a beszédhangok az őket megelőző mássalhangzókkal homorgánok, azaz azonos képzési helyűek, más szóval az approximánsok képzése úgy írható le, hogy a turbulens zörejt okozó szűkület szélesítésével a frikatíva approximánssá oldódik. Ebből fakadóan ezeknek a beszédhangok nak az ejtésekor a nyelv „megőrzi” a frikatíva ejtésére jellemző pozícióját és formáját (Lee-Kim 2014). A dentialveoláris és posztalveoláris képzési hely megőrződése mellett mindkét approximánsra jellemző a nyelvgyök retrakciója, azaz hátrahúzódása is. Továbbá, bár ezeket a szegmentumokat a tudományos konszenzus apikális ejtésűként tartja számon (Zhou–Wu 1963), más források szerint a posztalveoláris [ɻ] szegmentum esetében apiko-predrozális, predorzális ejtés is előfordulhat (Lee-Kim 2014). Végül a posztalveoláris approximáns ejtésében a nyelv elülső részének megemelkedésével egy nyelv alatti, szublingvális üreg is létrejön (Hamann 2003). A [ɹ] és a [ɻ] ejtését a 72. ábra szemlélteti.
Hivatkozások
Válaszd ki a számodra megfelelő hivatkozásformátumot:
Harvard
Juhász Kornélia (2025): A mandarin beszédhangok produkciója kínaiul tanuló magyar anyanyelvűek ejtésében. : Akadémiai Kiadó.
https://doi.org/10.1556/9789636641467Letöltve: https://mersz.hu/hivatkozas/m1313amandny_714/#m1313amandny_714 (2026. 04. 14.)
Chicago
Juhász Kornélia. 2025. A mandarin beszédhangok produkciója kínaiul tanuló magyar anyanyelvűek ejtésében. : Akadémiai Kiadó.
https://doi.org/10.1556/9789636641467
(Letöltve: 2026. 04. 14.https://mersz.hu/hivatkozas/m1313amandny_714/#m1313amandny_714)
APA
Juhász K. (2025). A mandarin beszédhangok produkciója kínaiul tanuló magyar anyanyelvűek ejtésében. Akadémiai Kiadó.
https://doi.org/10.1556/9789636641467.
(Letöltve: 2026. 04. 14.https://mersz.hu/hivatkozas/m1313amandny_714/#m1313amandny_714)
72. ábra: A mandarin dentialveoláris frikatíva (balra fent) és a kváziretroflex frikatíva (jobbra fent) röntgenfelvételéből készített sematikus keresztmetszeti ábrák (Ladefoged–Maddieson 1996: 151. nyomán), illetve a velük homorgán képzési helyű alveoláris approximáns (balra lent) és posztalveoláris approximáns (jobbra lent) nyelvultrahangos felvétele oldalnézeti keresztmetszetben, a fentiekkel egyező orientációban (Lee-Kim 2014: 268. nyomán)
Jegyzet elhelyezéséhez, kérjük, lépj be.!
Hivatkozások
Válaszd ki a számodra megfelelő hivatkozásformátumot:
Harvard
Juhász Kornélia (2025): A mandarin beszédhangok produkciója kínaiul tanuló magyar anyanyelvűek ejtésében. : Akadémiai Kiadó.
https://doi.org/10.1556/9789636641467Letöltve: https://mersz.hu/hivatkozas/m1313amandny_716/#m1313amandny_716 (2026. 04. 14.)
Chicago
Juhász Kornélia. 2025. A mandarin beszédhangok produkciója kínaiul tanuló magyar anyanyelvűek ejtésében. : Akadémiai Kiadó.
https://doi.org/10.1556/9789636641467
(Letöltve: 2026. 04. 14.https://mersz.hu/hivatkozas/m1313amandny_716/#m1313amandny_716)
APA
Juhász K. (2025). A mandarin beszédhangok produkciója kínaiul tanuló magyar anyanyelvűek ejtésében. Akadémiai Kiadó.
https://doi.org/10.1556/9789636641467.
(Letöltve: 2026. 04. 14.https://mersz.hu/hivatkozas/m1313amandny_716/#m1313amandny_716)
A posztalveoláris approximáns esetében megjelenő szublingvális üreg a toldalékcső meghosszabbításához hasonló hatással van: jelentősen lecsökkenti az F3 frekvenciaértékét (Stevens 2000, Toda et al. 2010, vö. 1.2.3. és 5.1. fejezet). A képzés helye, valamint a nyelvgyök hátrahúzódása az F2-értékre hat: Mint az 1.2.3. és 5.2. fejezetben bemutattam, F2-érték tekintetében a palatálisnál előrébb elhelyezkedő szűkület esetében az alveoláris approximánsok ejtését alacsonyabb F2-érték jellemzi a posztalveoláris képzési helyű beszédhangokhoz képest. Továbbá az alveoláris approximáns alacsony F2-értéke azzal is magyarázható, hogy az alveoláris szegmentum esetében a nyelvgyök jobban hátrahúzódik (a posztalveoláris approximánshoz képest, vö. 72. ábra), aminek következtében lényegében egy második szűkület keletkezik a veláris-garati régióban. Mivel pedig ez a szűkület közel esik ahhoz a szájüregi pozícióhoz, ahol a második formáns állóhulláma a legmagasabb amplitúdójú, ezért a szűkület az F2 frekvenciáját lefelé tolja el (Howson–Monahan 2019, vö. 1.2.3. fejezet). Az approximánsok F1-értéke tükrözi az 1.2.3. fejezetben megfogalmazott összefüggéseket: a posztalveoláris [ɹ] approximáns szűkülete hátrébb helyezkedve el a szájüregben magasabb F1-et eredményez, mint az ajkakhoz közelebbi szűkülettel képzett alveoláris [ɹ] approximáns esetében.
Jegyzet elhelyezéséhez, kérjük, lépj be.!
Hivatkozások
Válaszd ki a számodra megfelelő hivatkozásformátumot:
Harvard
Juhász Kornélia (2025): A mandarin beszédhangok produkciója kínaiul tanuló magyar anyanyelvűek ejtésében. : Akadémiai Kiadó.
https://doi.org/10.1556/9789636641467Letöltve: https://mersz.hu/hivatkozas/m1313amandny_717/#m1313amandny_717 (2026. 04. 14.)
Chicago
Juhász Kornélia. 2025. A mandarin beszédhangok produkciója kínaiul tanuló magyar anyanyelvűek ejtésében. : Akadémiai Kiadó.
https://doi.org/10.1556/9789636641467
(Letöltve: 2026. 04. 14.https://mersz.hu/hivatkozas/m1313amandny_717/#m1313amandny_717)
APA
Juhász K. (2025). A mandarin beszédhangok produkciója kínaiul tanuló magyar anyanyelvűek ejtésében. Akadémiai Kiadó.
https://doi.org/10.1556/9789636641467.
(Letöltve: 2026. 04. 14.https://mersz.hu/hivatkozas/m1313amandny_717/#m1313amandny_717)
A jelen vizsgálat esetében is a Flege-féle SLM és SLM-r modellek szolgáltatják a hipotézisek alapját. Ebben az esetben is arra számítok, hogy a kínaiul tanuló magyar anyanyelvűek az anyanyelvi beszédhangoktól eltérő célnyelvi szegmentumokat az anyanyelvi megfelelőjükkel helyettesítik az ekvivalensként való osztályozásnak köszönhetően. Mivel pedig a korábbi szakirodalmi források és kísérletek tanúsága szerint a formánsok közül az első kettő az, amely a magánhangzó minőségét a legnagyobb valószínűséggel kódolja az észlelés számára (Hollien et al. 2000, Gósy 1987), az is feltehető, hogy ez a percepciós és produkciós megfeleltetési folyamat elsősorban az F1- és az F2-értékekre hagyatkozva történik. (Azt is meg kell jegyezni, hogy az F3 egyes források szerint inkább másodlagos felismerési kulcsnak tekinthető (Gósy 1989), és csak bizonyos beszédhangok – a magyar /i/ és /u/ – esetében látszik elsődlegesnek (Kiss 1985)).
Jegyzet elhelyezéséhez, kérjük, lépj be.!
Hivatkozások
Válaszd ki a számodra megfelelő hivatkozásformátumot:
Harvard
Juhász Kornélia (2025): A mandarin beszédhangok produkciója kínaiul tanuló magyar anyanyelvűek ejtésében. : Akadémiai Kiadó.
https://doi.org/10.1556/9789636641467Letöltve: https://mersz.hu/hivatkozas/m1313amandny_718/#m1313amandny_718 (2026. 04. 14.)
Chicago
Juhász Kornélia. 2025. A mandarin beszédhangok produkciója kínaiul tanuló magyar anyanyelvűek ejtésében. : Akadémiai Kiadó.
https://doi.org/10.1556/9789636641467
(Letöltve: 2026. 04. 14.https://mersz.hu/hivatkozas/m1313amandny_718/#m1313amandny_718)
APA
Juhász K. (2025). A mandarin beszédhangok produkciója kínaiul tanuló magyar anyanyelvűek ejtésében. Akadémiai Kiadó.
https://doi.org/10.1556/9789636641467.
(Letöltve: 2026. 04. 14.https://mersz.hu/hivatkozas/m1313amandny_718/#m1313amandny_718)
A legközelebbi anyanyelvi magánhangzó-kategóriák meghatározásakor a jelen kutatás – percepciós teszt hiányában – Kiss (1985) munkájának eredményeit veszi alapul, mely számszerűsítve közöl adatokat a magyar percepciós magánhangzótér alakulásáról. Ha összehasonlítjuk a kínai anyanyelvű nők produkciójában mért formánsértékeket (Lee–Zee 2001), valamint a Kiss (1985) által meghatározott percepciós F1-F2 átlagértékeket a magyarra nézve, akkor azt láthatjuk, hogy a kínai alveoláris [ɹ] és posztalveoláris [ɻ] F1–F2 meghatározta pozíciójához a magyar labiális, mediális felső nyelvállású [y]/[yː], míg a kínai illabiális veláris magánhangzóhoz [ɤ] a magyar labiális, mediális középső nyelvállású [ø]/[øː] helyezkedik el a legközelebb (73. ábra). Kérdésként merülhet fel, hogy az illabiális veláris [ɤ] beszédhang esetében miért nem inkább egy egy labiális veláris [o] vagy egy illabiális palatális [ɛ/eː] L1 magánhangzó ejtésére lehetne számítani. Ha magyar magánhangzótér releváns részét, vagyis a középső/alsó nyelvállású magánhangzókat kizárólag hangszín szempontjából tekintjük (mivel a kínai nyelvben a fonológiai időtartam nem kontrasztív), akkor 4 magánhangzót, vagyis az e /ɛ/, é /eː/, o /o/ és ö /ø/ magánhangzókat (és esetleg a nem kontrasztív kategóriaként megjelenő svát [ə]) tudjuk elkülöníteni egymástól. A kínai nyelvben középső nyelvállású magánhangzók esetében allofónok szintjén az e [ɛ], é [eː], o [o] (és a svá [ə]) szintén megjelenik, tehát ezen kínai és magyar beszédhangok között közvetlen kapcsolat alakulhat ki a nyelvtanulók elméjében. A fennmaradó kínai beszédhangok számára, vagyis a kérdéses illabiális-veláris e [ɤ] és a fonémaként megjelenő rotacizált er /ɚ/ beszédhangok számára azonban „fennmarad” egy kihasználatlan kontrasztív anyanyelvi kategória, ami az /ø/ kategóriája. Véleményem szerint ez a kizárólagosság motiválja – az akusztikai és percepciós paraméterek hasonlósága mellett – az illabiális veláris [ɤ] magánhangzó /ø/-ként való kategorizációját a kínaiul tanuló magyar anyanyelvűek szempontjából. Kérdésként merülhet fel az is, hogy vajon a rotacizált er /ɚ/ nem szorítja-e ki az illabiális veláris [ɤ]-t az /ø/ kategóriájából, azonban ezt véleményem szerint az ortográfiai megjelenítése nem támogatja: ortográfiailag a rotacizált er /ɚ/ egy e+r beszédhangkapcsolattal van megjelenítve, és ebben a grafémakapcsolatban ugyanazon e graféma jelenik meg mint az illabiális veláris magánhangzó esetében, és az ortográfiai jelölés ilyetén egybeesése feltételezhetően nem motiválja – a rotacizációtól eltekintve – a két hang eltérő kategorizációját.
Jegyzet elhelyezéséhez, kérjük, lépj be.!
Hivatkozások
Válaszd ki a számodra megfelelő hivatkozásformátumot:
Harvard
Juhász Kornélia (2025): A mandarin beszédhangok produkciója kínaiul tanuló magyar anyanyelvűek ejtésében. : Akadémiai Kiadó.
https://doi.org/10.1556/9789636641467Letöltve: https://mersz.hu/hivatkozas/m1313amandny_719/#m1313amandny_719 (2026. 04. 14.)
Chicago
Juhász Kornélia. 2025. A mandarin beszédhangok produkciója kínaiul tanuló magyar anyanyelvűek ejtésében. : Akadémiai Kiadó.
https://doi.org/10.1556/9789636641467
(Letöltve: 2026. 04. 14.https://mersz.hu/hivatkozas/m1313amandny_719/#m1313amandny_719)
APA
Juhász K. (2025). A mandarin beszédhangok produkciója kínaiul tanuló magyar anyanyelvűek ejtésében. Akadémiai Kiadó.
https://doi.org/10.1556/9789636641467.
(Letöltve: 2026. 04. 14.https://mersz.hu/hivatkozas/m1313amandny_719/#m1313amandny_719)
Mindezek alapján tehát feltehető, hogy a kínai alveoláris [ɹ] és posztalveoláris [ɻ] a magyar labiális, mediális felső nyelvállású [y]/[yː]-vel, míg a kínai illabiális veláris magánhangzó [ɤ] pedig a magyar labiális, mediális középső nyelvállású [ø]/[øː]-vel) azonosítódnak az észlelésben, ami pedig azt is jelenti, hogy a magyar anyanyelvűek produkciójában a tárgyalt kínai hangoknak várhatóan az itt megadott anyanyelvi megfelelőjéhez közelít az ejtésük.
Hivatkozások
Válaszd ki a számodra megfelelő hivatkozásformátumot:
Harvard
Juhász Kornélia (2025): A mandarin beszédhangok produkciója kínaiul tanuló magyar anyanyelvűek ejtésében. : Akadémiai Kiadó.
https://doi.org/10.1556/9789636641467Letöltve: https://mersz.hu/hivatkozas/m1313amandny_720/#m1313amandny_720 (2026. 04. 14.)
Chicago
Juhász Kornélia. 2025. A mandarin beszédhangok produkciója kínaiul tanuló magyar anyanyelvűek ejtésében. : Akadémiai Kiadó.
https://doi.org/10.1556/9789636641467
(Letöltve: 2026. 04. 14.https://mersz.hu/hivatkozas/m1313amandny_720/#m1313amandny_720)
APA
Juhász K. (2025). A mandarin beszédhangok produkciója kínaiul tanuló magyar anyanyelvűek ejtésében. Akadémiai Kiadó.
https://doi.org/10.1556/9789636641467.
(Letöltve: 2026. 04. 14.https://mersz.hu/hivatkozas/m1313amandny_720/#m1313amandny_720)
73. ábra: A mandarin magánhangzók mandarin anyanyelvű nők ejtésében az F1–F2 által meghatározott térben (balra, Lee–Zee 2001: 644. nyomán), illetve a magyar magánhangzók percepciós F1 és F2átlagértékei (jobbra, Kiss 1985 és Bolla 1995: 295. nyomán)
Jegyzet elhelyezéséhez, kérjük, lépj be.!
Hivatkozások
Válaszd ki a számodra megfelelő hivatkozásformátumot:
Harvard
Juhász Kornélia (2025): A mandarin beszédhangok produkciója kínaiul tanuló magyar anyanyelvűek ejtésében. : Akadémiai Kiadó.
https://doi.org/10.1556/9789636641467Letöltve: https://mersz.hu/hivatkozas/m1313amandny_722/#m1313amandny_722 (2026. 04. 14.)
Chicago
Juhász Kornélia. 2025. A mandarin beszédhangok produkciója kínaiul tanuló magyar anyanyelvűek ejtésében. : Akadémiai Kiadó.
https://doi.org/10.1556/9789636641467
(Letöltve: 2026. 04. 14.https://mersz.hu/hivatkozas/m1313amandny_722/#m1313amandny_722)
APA
Juhász K. (2025). A mandarin beszédhangok produkciója kínaiul tanuló magyar anyanyelvűek ejtésében. Akadémiai Kiadó.
https://doi.org/10.1556/9789636641467.
(Letöltve: 2026. 04. 14.https://mersz.hu/hivatkozas/m1313amandny_722/#m1313amandny_722)
Azt a feltételezést, hogy a magyar anyanyelvűek a két kérdéses approximánst egyetlen kategóriába sorolják, az a tény is támogatja, hogy az approximánsok a mögöttes fonémák mintájára a pinyinben (azaz a kínai karakterek transzkripciójában) egyöntetűen i, az illabiális veláris magánhangzó pedig e grafémával van megjelenítve. Mivel a magyar helyesírás fonematikus, azt feltételezhetjük, hogy a magyar anyanyelvűek az azonos grafémával jelölt beszédhangokat hajlamosabbak azonosként (vagy legalábbis egyetlen fonéma kontextusfüggő variánsaiként) azonosítani, míg az eltérő grafémák esetében inkább sorolják azokat két elkülönült beszédhang-kategóriába.
Jegyzet elhelyezéséhez, kérjük, lépj be.!
Hivatkozások
Válaszd ki a számodra megfelelő hivatkozásformátumot:
Harvard
Juhász Kornélia (2025): A mandarin beszédhangok produkciója kínaiul tanuló magyar anyanyelvűek ejtésében. : Akadémiai Kiadó.
https://doi.org/10.1556/9789636641467Letöltve: https://mersz.hu/hivatkozas/m1313amandny_723/#m1313amandny_723 (2026. 04. 14.)
Chicago
Juhász Kornélia. 2025. A mandarin beszédhangok produkciója kínaiul tanuló magyar anyanyelvűek ejtésében. : Akadémiai Kiadó.
https://doi.org/10.1556/9789636641467
(Letöltve: 2026. 04. 14.https://mersz.hu/hivatkozas/m1313amandny_723/#m1313amandny_723)
APA
Juhász K. (2025). A mandarin beszédhangok produkciója kínaiul tanuló magyar anyanyelvűek ejtésében. Akadémiai Kiadó.
https://doi.org/10.1556/9789636641467.
(Letöltve: 2026. 04. 14.https://mersz.hu/hivatkozas/m1313amandny_723/#m1313amandny_723)
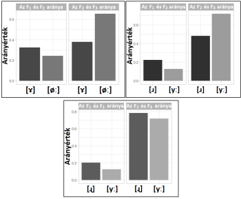
Habár a formánsok abszolút értékei a toldalékcső méretével, azaz a nemmel és a korral együtt változnak, és így lényegében egyénspecifikusan eltérnek, a magánhangzószerű hangokat mégis a toldalékcső méretétől, azaz az abszolút formánsértékektől függetlenül azonosítani tudjuk. Ebből arra szokás következtetni, hogy a beszédhangok akusztikumának feldolgozásakor normalizáció történik, mely által „kiszűrődnek” az egyéni jellegzetességek. Mivel pedig a beszédhangok formánsainak aránya megközelítőleg állandónak tekinthető, egy elterjedt feltételezés szerint a zenei hangokhoz hasonlóan a (formáns)frekvenciák aránya képezi az akusztikai kulcsokat a beszédhangok azonosításához (Lloyd 1890; Potter–Steinberg 1950; Nearey 1978; Miller 1989). A fenti okból a hipotézisem megfogalmazásához a kínai és a magyar beszédhangok átlagos produkciós formánsértékeit (74. ábra) arányokként vetettem össze a megfelelő (akusztikailag legközelebb álló) párokban (75. ábra) (azaz lényegében normalizálva): egyrészről az F1 és az F2, másrészről az F2 és az F3 hányadosát. Az átlagos formánsfrekvencia-értékek a magyar anyanyelvűek esetében 5 nő ejtéséből származnak, akik izolált szavakba ágyazva ejtették ki ezeket a hangzókat (Bolla 1995: 293–294), a kínaiak esetében 50 nő ejtését elemezték szintén izolált CV szerkezetű szavak produkciójában (Lee–Zee 2001: 644).
Hivatkozások
Válaszd ki a számodra megfelelő hivatkozásformátumot:
Harvard
Juhász Kornélia (2025): A mandarin beszédhangok produkciója kínaiul tanuló magyar anyanyelvűek ejtésében. : Akadémiai Kiadó.
https://doi.org/10.1556/9789636641467Letöltve: https://mersz.hu/hivatkozas/m1313amandny_724/#m1313amandny_724 (2026. 04. 14.)
Chicago
Juhász Kornélia. 2025. A mandarin beszédhangok produkciója kínaiul tanuló magyar anyanyelvűek ejtésében. : Akadémiai Kiadó.
https://doi.org/10.1556/9789636641467
(Letöltve: 2026. 04. 14.https://mersz.hu/hivatkozas/m1313amandny_724/#m1313amandny_724)
APA
Juhász K. (2025). A mandarin beszédhangok produkciója kínaiul tanuló magyar anyanyelvűek ejtésében. Akadémiai Kiadó.
https://doi.org/10.1556/9789636641467.
(Letöltve: 2026. 04. 14.https://mersz.hu/hivatkozas/m1313amandny_724/#m1313amandny_724)
74. ábra: A vizsgált mandarin beszédhangok (átlag)formánsértékei (Lee–Zee 2001: 644), valamint a feltételezett hozzájuk legközelebb elhelyezkedő magyar beszédhangok (Bolla 1995: 293–294)
Hivatkozások
Válaszd ki a számodra megfelelő hivatkozásformátumot:
Harvard
Juhász Kornélia (2025): A mandarin beszédhangok produkciója kínaiul tanuló magyar anyanyelvűek ejtésében. : Akadémiai Kiadó.
https://doi.org/10.1556/9789636641467Letöltve: https://mersz.hu/hivatkozas/m1313amandny_726/#m1313amandny_726 (2026. 04. 14.)
Chicago
Juhász Kornélia. 2025. A mandarin beszédhangok produkciója kínaiul tanuló magyar anyanyelvűek ejtésében. : Akadémiai Kiadó.
https://doi.org/10.1556/9789636641467
(Letöltve: 2026. 04. 14.https://mersz.hu/hivatkozas/m1313amandny_726/#m1313amandny_726)
APA
Juhász K. (2025). A mandarin beszédhangok produkciója kínaiul tanuló magyar anyanyelvűek ejtésében. Akadémiai Kiadó.
https://doi.org/10.1556/9789636641467.
(Letöltve: 2026. 04. 14.https://mersz.hu/hivatkozas/m1313amandny_726/#m1313amandny_726)
75. ábra: A 74. ábrán látható átlagos formánsértékek (Lee–Zee 2001: 644, Bolla 1995: 293–294) arányainak páros összevetése a vizsgált mandarin és magyar szegmentumok között (F1 : F2; balra, illetve F2 : F3; jobbra)
Jegyzet elhelyezéséhez, kérjük, lépj be.!
Hivatkozások
Válaszd ki a számodra megfelelő hivatkozásformátumot:
Harvard
Juhász Kornélia (2025): A mandarin beszédhangok produkciója kínaiul tanuló magyar anyanyelvűek ejtésében. : Akadémiai Kiadó.
https://doi.org/10.1556/9789636641467Letöltve: https://mersz.hu/hivatkozas/m1313amandny_728/#m1313amandny_728 (2026. 04. 14.)
Chicago
Juhász Kornélia. 2025. A mandarin beszédhangok produkciója kínaiul tanuló magyar anyanyelvűek ejtésében. : Akadémiai Kiadó.
https://doi.org/10.1556/9789636641467
(Letöltve: 2026. 04. 14.https://mersz.hu/hivatkozas/m1313amandny_728/#m1313amandny_728)
APA
Juhász K. (2025). A mandarin beszédhangok produkciója kínaiul tanuló magyar anyanyelvűek ejtésében. Akadémiai Kiadó.
https://doi.org/10.1556/9789636641467.
(Letöltve: 2026. 04. 14.https://mersz.hu/hivatkozas/m1313amandny_728/#m1313amandny_728)
E kísérlet fő célja tehát annak a kérdésnek a vizsgálata, hogy a kínaiul tanuló magyar anyanyelvűek az illabiális veláris magánhangzót [ɤ], az alveoláris approximánst [ɹ], valamint a posztalveoláris approximánst [ɻ] a kínai anyanyelvi beszélőktől eltérően képzik-e, és hogy az eltérés iránya megerősíti-e azt a feltételezést, hogy ezeket a kínai beszédhangokat a magyar megfelelőikhez közelítve képzik a formánsfrekvenciák arányainak szempontjából. Ebben az esetben pusztán az eltérés irányából következtetek az anyanyelvi beszédhangok alkalmazására, a vizsgált kínai szegmentumokat e kísérlet keretein belül magyar megfelelőikkel nem vetem össze. A vizsgálathoz tartozó hipotéziseket a következő, 6.2.2. fejezet mutatja be.