7.4.1.2. Ereszkedő dallamok
Jegyzet elhelyezéséhez, kérjük, lépj be.!
Hivatkozások
Válaszd ki a számodra megfelelő hivatkozásformátumot:
Harvard
Juhász Kornélia (2025): A mandarin beszédhangok produkciója kínaiul tanuló magyar anyanyelvűek ejtésében. : Akadémiai Kiadó.
https://doi.org/10.1556/9789636641467Letöltve: https://mersz.hu/hivatkozas/m1313amandny_816/#m1313amandny_816 (2026. 04. 14.)
Chicago
Juhász Kornélia. 2025. A mandarin beszédhangok produkciója kínaiul tanuló magyar anyanyelvűek ejtésében. : Akadémiai Kiadó.
https://doi.org/10.1556/9789636641467
(Letöltve: 2026. 04. 14.https://mersz.hu/hivatkozas/m1313amandny_816/#m1313amandny_816)
APA
Juhász K. (2025). A mandarin beszédhangok produkciója kínaiul tanuló magyar anyanyelvűek ejtésében. Akadémiai Kiadó.
https://doi.org/10.1556/9789636641467.
(Letöltve: 2026. 04. 14.https://mersz.hu/hivatkozas/m1313amandny_816/#m1313amandny_816)
Az ereszkedő dallamok esetében is befolyásolta a közléstípuS az f0 maximumát, minimumát és a közlések alaphangtartományát is (f0max F(2, 25) = 188, p < 0,001; f0min F(2, 25) = 22; p < 0,0001; alaphangtartomány: F(2, 25) = 34; p < 0,001). A post hoc tesztek a maximum f0 tekintetében nem mutattak eltérést a kínai 4. tónus és a magyar felszólító dallam között, azonban a magyar kijelentés a másik két dallamhoz viszonyítva szignifikánsan alacsonyabb f0max-értékkel valósult meg (p < 0,001). A magyar felszólítás emellett szignifikánsan magasabb f0min-mal rendelkezett a magyar kijelentő dallamnál, és a kínai 4. tónus az f0min tekintetében a magyar nyelvű közlések ereszkedő dallamától sem tért el. Az alaphangtartományt illetően a magyar kijelentő dallam szignifikánsan alacsonyabb f0-tartománnyal valósult meg a kínai 4. tónushoz (p < 0,05) és a magyar felszólításhoz képest (p < 0,001). Fontos megjegyezni, hogy a 4. tónust átlagértékében a magyar felszólító dallamhoz viszonyítva magasabb f0-tartomány jellemezte, azonban az adatok a 4. tónus esetében jobban szóródtak. Az ereszkedő dallamívek hangterjedelmét illetően a kínai 4. tónussal megvalósuló közlések alapfrekvenciája átlagosan 9,2 félhangot, azaz egy nagy szextet ereszkedett, míg az alaphangmagasság a magyar felszólítás esetében 8,3 félhangot, azaz egy kis szextet, és a magyar kijelentés esetében 5,9 félhangot, azaz egy szűkített kvintet csökkent (84. ábra).
Hivatkozások
Válaszd ki a számodra megfelelő hivatkozásformátumot:
Harvard
Juhász Kornélia (2025): A mandarin beszédhangok produkciója kínaiul tanuló magyar anyanyelvűek ejtésében. : Akadémiai Kiadó.
https://doi.org/10.1556/9789636641467Letöltve: https://mersz.hu/hivatkozas/m1313amandny_817/#m1313amandny_817 (2026. 04. 14.)
Chicago
Juhász Kornélia. 2025. A mandarin beszédhangok produkciója kínaiul tanuló magyar anyanyelvűek ejtésében. : Akadémiai Kiadó.
https://doi.org/10.1556/9789636641467
(Letöltve: 2026. 04. 14.https://mersz.hu/hivatkozas/m1313amandny_817/#m1313amandny_817)
APA
Juhász K. (2025). A mandarin beszédhangok produkciója kínaiul tanuló magyar anyanyelvűek ejtésében. Akadémiai Kiadó.
https://doi.org/10.1556/9789636641467.
(Letöltve: 2026. 04. 14.https://mersz.hu/hivatkozas/m1313amandny_817/#m1313amandny_817)
84. ábra: Az ereszkedő dallamok (a kínai 4. tónus és a magyar felszólító, és kijelentő modalitású közlések) minimum és maximum f0-értéke félhangokban (balra), és az f0-terjedelem szintén félhangokban (jobbra)
Jegyzet elhelyezéséhez, kérjük, lépj be.!
Hivatkozások
Válaszd ki a számodra megfelelő hivatkozásformátumot:
Harvard
Juhász Kornélia (2025): A mandarin beszédhangok produkciója kínaiul tanuló magyar anyanyelvűek ejtésében. : Akadémiai Kiadó.
https://doi.org/10.1556/9789636641467Letöltve: https://mersz.hu/hivatkozas/m1313amandny_819/#m1313amandny_819 (2026. 04. 14.)
Chicago
Juhász Kornélia. 2025. A mandarin beszédhangok produkciója kínaiul tanuló magyar anyanyelvűek ejtésében. : Akadémiai Kiadó.
https://doi.org/10.1556/9789636641467
(Letöltve: 2026. 04. 14.https://mersz.hu/hivatkozas/m1313amandny_819/#m1313amandny_819)
APA
Juhász K. (2025). A mandarin beszédhangok produkciója kínaiul tanuló magyar anyanyelvűek ejtésében. Akadémiai Kiadó.
https://doi.org/10.1556/9789636641467.
(Letöltve: 2026. 04. 14.https://mersz.hu/hivatkozas/m1313amandny_819/#m1313amandny_819)
A közléstípus főhatása szignifikánsan befolyásolta a közlések időtartamát mind az emelkedő, mind az ereszkedő dallamok esetében (emelkedő: F(2, 25) = 259, p < 0,001); ereszkedő: F(2, 25) = 17, p < 0,001). Az emelkedő dallamok közül mindhárom közléstípus, a 2. tónus, a magyar egy szótagú és a magyar alternatív kérdés is eltért egymástól (p < 0,001) mégpedig úgy, hogy a 2. tónus rendelkezett a leghosszabb, az alternatív kérdés emelkedő dallama pedig a legrövidebb időtartammal. A magyar egy szótagú kérdés pedig az előbb említett emelkedő dallamokhoz képest köztes időtartammal valósult meg. Az ereszkedő dallamok közül csak a magyar felszólító és a magyar kijelentő dallam megvalósulása tért el szignifikánsan egymástól (p < 0,001), mégpedig úgy, hogy a felszólító közlés időtartama volt a kijelentőéhez képest hosszabb. Ez azt is jelenti, hogy nem találtunk szignifikáns eltérést a kínai 4. tónus és a két magyar ereszkedő dallamú közlés időtartama között, feltételezhetően azért, mert a 4. tónus átlaga éppen a két magyar közlés átlagos időtartama közötti értéket vett fel (85. ábra).
Hivatkozások
Válaszd ki a számodra megfelelő hivatkozásformátumot:
Harvard
Juhász Kornélia (2025): A mandarin beszédhangok produkciója kínaiul tanuló magyar anyanyelvűek ejtésében. : Akadémiai Kiadó.
https://doi.org/10.1556/9789636641467Letöltve: https://mersz.hu/hivatkozas/m1313amandny_820/#m1313amandny_820 (2026. 04. 14.)
Chicago
Juhász Kornélia. 2025. A mandarin beszédhangok produkciója kínaiul tanuló magyar anyanyelvűek ejtésében. : Akadémiai Kiadó.
https://doi.org/10.1556/9789636641467
(Letöltve: 2026. 04. 14.https://mersz.hu/hivatkozas/m1313amandny_820/#m1313amandny_820)
APA
Juhász K. (2025). A mandarin beszédhangok produkciója kínaiul tanuló magyar anyanyelvűek ejtésében. Akadémiai Kiadó.
https://doi.org/10.1556/9789636641467.
(Letöltve: 2026. 04. 14.https://mersz.hu/hivatkozas/m1313amandny_820/#m1313amandny_820)
85. ábra: A vizsgált emelkedő és ereszkedő közlések időtartama
Jegyzet elhelyezéséhez, kérjük, lépj be.!
Hivatkozások
Válaszd ki a számodra megfelelő hivatkozásformátumot:
Harvard
Juhász Kornélia (2025): A mandarin beszédhangok produkciója kínaiul tanuló magyar anyanyelvűek ejtésében. : Akadémiai Kiadó.
https://doi.org/10.1556/9789636641467Letöltve: https://mersz.hu/hivatkozas/m1313amandny_822/#m1313amandny_822 (2026. 04. 14.)
Chicago
Juhász Kornélia. 2025. A mandarin beszédhangok produkciója kínaiul tanuló magyar anyanyelvűek ejtésében. : Akadémiai Kiadó.
https://doi.org/10.1556/9789636641467
(Letöltve: 2026. 04. 14.https://mersz.hu/hivatkozas/m1313amandny_822/#m1313amandny_822)
APA
Juhász K. (2025). A mandarin beszédhangok produkciója kínaiul tanuló magyar anyanyelvűek ejtésében. Akadémiai Kiadó.
https://doi.org/10.1556/9789636641467.
(Letöltve: 2026. 04. 14.https://mersz.hu/hivatkozas/m1313amandny_822/#m1313amandny_822)
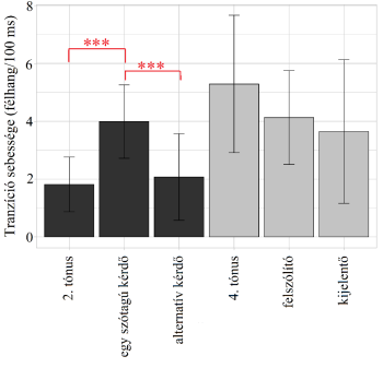
A tranzíció sebességét a közléstípus főhatása szignifikánsan befolyásolta az emelkedő dallamok esetében, míg az ereszkedők esetében nem (emelkedő: F(2, 25) = 185, p < 0,001); ereszkedő: F(2, 25) = 4, p < 0,001). A tranzíció sebessége megmutatja az egy időegység, azaz jelen esetben 100 ms alatt bekövetkezett alaphangmagasság-változást félhangokban. Fontos kiemelni, hogy az alaphangmagasság-változáson jelen esetben a dallamív maximumának és a minimumának különbségét, azaz az alaphangtartományt értem. Az emelkedő dallamok esetében a magyar egy szótagú kérdés tranzíciós sebessége szignifikánsan magasabb volt a kínai 2. tónushoz és az alternatív kérdéshez viszonyítva (86. ábra). Az emelkedő közlések között a kínai 2. tónus rendelkezett tendenciózusan a legalacsonyabb sebességértékkel a mérsékelten kiterjedt alaphangtartomány dacára, amely eredmény a közlés nagy időtartamának tulajdonítható. A magyar egy szótagú kérdés esetében a magas sebességérték a kiterjedt alaphangtartományból és a többi közléshez képest közepesen hosszú időtartamból fakadt. Az alternatív kérdés dallamát a kis hangterjedelem és a viszonylag rövid időtartam révén nem jellemezte gyors tranzíció. Az ereszkedő dallamok között a post hoc tesztek nem találtak szignifikáns eltérést, azonban tendenciák szintjén a kínai 4. tónus rendelkezett a legnagyobb sebességgel, a viszonylag rövid időtartamból, ám terjedelmes f0-tartományból fakadóan. Az ereszkedő dallamok között a legalacsonyabb sebesség-átlagértékkel a kijelentő közlés valósult meg, és a felszólító dallam a két ereszkedő dallamhoz viszonyítva köztes tranzícióssebesség-átlagértékkel realizálódott.
Hivatkozások
Válaszd ki a számodra megfelelő hivatkozásformátumot:
Harvard
Juhász Kornélia (2025): A mandarin beszédhangok produkciója kínaiul tanuló magyar anyanyelvűek ejtésében. : Akadémiai Kiadó.
https://doi.org/10.1556/9789636641467Letöltve: https://mersz.hu/hivatkozas/m1313amandny_823/#m1313amandny_823 (2026. 04. 14.)
Chicago
Juhász Kornélia. 2025. A mandarin beszédhangok produkciója kínaiul tanuló magyar anyanyelvűek ejtésében. : Akadémiai Kiadó.
https://doi.org/10.1556/9789636641467
(Letöltve: 2026. 04. 14.https://mersz.hu/hivatkozas/m1313amandny_823/#m1313amandny_823)
APA
Juhász K. (2025). A mandarin beszédhangok produkciója kínaiul tanuló magyar anyanyelvűek ejtésében. Akadémiai Kiadó.
https://doi.org/10.1556/9789636641467.
(Letöltve: 2026. 04. 14.https://mersz.hu/hivatkozas/m1313amandny_823/#m1313amandny_823)
86. ábra: A vizsgált dallamok tranzíciójának sebessége (félhang/100 ms)