5. A kínai és magyar szibiláns réshangok képzési jegyeinek összehasonlítása1
Jegyzet elhelyezéséhez, kérjük, lépj be.!
Hivatkozások
Válaszd ki a számodra megfelelő hivatkozásformátumot:
Harvard
Juhász Kornélia (2025): A mandarin beszédhangok produkciója kínaiul tanuló magyar anyanyelvűek ejtésében. : Akadémiai Kiadó.
https://doi.org/10.1556/9789636641467Letöltve: https://mersz.hu/hivatkozas/m1313amandny_411/#m1313amandny_411 (2026. 04. 14.)
Chicago
Juhász Kornélia. 2025. A mandarin beszédhangok produkciója kínaiul tanuló magyar anyanyelvűek ejtésében. : Akadémiai Kiadó.
https://doi.org/10.1556/9789636641467
(Letöltve: 2026. 04. 14.https://mersz.hu/hivatkozas/m1313amandny_411/#m1313amandny_411)
APA
Juhász K. (2025). A mandarin beszédhangok produkciója kínaiul tanuló magyar anyanyelvűek ejtésében. Akadémiai Kiadó.
https://doi.org/10.1556/9789636641467.
(Letöltve: 2026. 04. 14.https://mersz.hu/hivatkozas/m1313amandny_411/#m1313amandny_411)
Ahogy azt a 3.2.1. fejezetben bemutattam, a magyar és kínai zöngétlen szibiláns réshangokat összevetve a magyar szibilánsok esetében kettős szembenállást figyelhető meg a dentialveoláris /s/ és a posztalveoláris /ʃ/ között (Bolla 1995). Ezzel szemben a vizsgált idegen nyelvben, a mandarin kínaiban a szibilánsok hármas oppozícióban állnak: elkülöníthetünk dentális /s/-t, alveolopalatális /ɕ/-t, illetve kváziretroflex posztalveoláris /ʂ/-t (Ladefoged–Maddieson 1996; Lin 2007). A magyar és a mandarin kínai szibilánsok szembenállását az 8. táblázat mutatja be.
Jegyzet elhelyezéséhez, kérjük, lépj be.!
Hivatkozások
Válaszd ki a számodra megfelelő hivatkozásformátumot:
Harvard
Juhász Kornélia (2025): A mandarin beszédhangok produkciója kínaiul tanuló magyar anyanyelvűek ejtésében. : Akadémiai Kiadó.
https://doi.org/10.1556/9789636641467Letöltve: https://mersz.hu/hivatkozas/m1313amandny_413/#m1313amandny_413 (2026. 04. 14.)
Chicago
Juhász Kornélia. 2025. A mandarin beszédhangok produkciója kínaiul tanuló magyar anyanyelvűek ejtésében. : Akadémiai Kiadó.
https://doi.org/10.1556/9789636641467
(Letöltve: 2026. 04. 14.https://mersz.hu/hivatkozas/m1313amandny_413/#m1313amandny_413)
APA
Juhász K. (2025). A mandarin beszédhangok produkciója kínaiul tanuló magyar anyanyelvűek ejtésében. Akadémiai Kiadó.
https://doi.org/10.1556/9789636641467.
(Letöltve: 2026. 04. 14.https://mersz.hu/hivatkozas/m1313amandny_413/#m1313amandny_413)
8. táblázat: A magyar és a mandarin frikatívapárok összehasonlítása képzési helyük szerint, valamint a képzésben érintett nyelvi régió szerint (Bolla 1995; Gósy 2004; Lin 2007)
|
Dentális/
dentialveoláris
|
Posztalveoláris
|
|||
|
Palato-alveoláris
|
(Kvázi)retroflex
|
Alveolopalatális
|
||
|
Magyar
|
/s/
Dentialveoláris,
predorzális
|
/ʃ/
Posztalveoláris
predorzális
|
||
|
Kínai
|
/s/
Dentális
apikális
|
/ʂ/
Kváziretroflex posztalveoláris
apikális vagy apikopredorzális vagy predorzális (Ladefoged–Wu, 1984, Lee-Kim 2014)
|
Alveolopalatális /ɕ/
|
|
Jegyzet elhelyezéséhez, kérjük, lépj be.!
Hivatkozások
Válaszd ki a számodra megfelelő hivatkozásformátumot:
Harvard
Juhász Kornélia (2025): A mandarin beszédhangok produkciója kínaiul tanuló magyar anyanyelvűek ejtésében. : Akadémiai Kiadó.
https://doi.org/10.1556/9789636641467Letöltve: https://mersz.hu/hivatkozas/m1313amandny_414/#m1313amandny_414 (2026. 04. 14.)
Chicago
Juhász Kornélia. 2025. A mandarin beszédhangok produkciója kínaiul tanuló magyar anyanyelvűek ejtésében. : Akadémiai Kiadó.
https://doi.org/10.1556/9789636641467
(Letöltve: 2026. 04. 14.https://mersz.hu/hivatkozas/m1313amandny_414/#m1313amandny_414)
APA
Juhász K. (2025). A mandarin beszédhangok produkciója kínaiul tanuló magyar anyanyelvűek ejtésében. Akadémiai Kiadó.
https://doi.org/10.1556/9789636641467.
(Letöltve: 2026. 04. 14.https://mersz.hu/hivatkozas/m1313amandny_414/#m1313amandny_414)
A kínai és magyar dentális/dentialveoláris /s/ és posztalveoláris /ʃ, ʂ/ szibilánsok képzése az egyes szakirodalmi források szerint eltér a képzésben részt vevő nyelvi régiók szerint. Míg a magyar frikatíváknál a predorzális ejtés a jellemző, addig ezzel szemben a mandarinoknál inkább az apikális régió érintett a produkcióban. Ez alól kivételt képez a mandarin kváziretroflex posztalveoláris /ʂ/ beszédhang, ami ejtésében variábilisabb, az apikális képzésmód mellett apiko-predorzálisan és predorzálisan is megvalósulhat a mandarin anyanyelvűek ejtésében (Ladefoged–Wu 1984; Lee-Kim 2014).
Jegyzet elhelyezéséhez, kérjük, lépj be.!
Hivatkozások
Válaszd ki a számodra megfelelő hivatkozásformátumot:
Harvard
Juhász Kornélia (2025): A mandarin beszédhangok produkciója kínaiul tanuló magyar anyanyelvűek ejtésében. : Akadémiai Kiadó.
https://doi.org/10.1556/9789636641467Letöltve: https://mersz.hu/hivatkozas/m1313amandny_415/#m1313amandny_415 (2026. 04. 14.)
Chicago
Juhász Kornélia. 2025. A mandarin beszédhangok produkciója kínaiul tanuló magyar anyanyelvűek ejtésében. : Akadémiai Kiadó.
https://doi.org/10.1556/9789636641467
(Letöltve: 2026. 04. 14.https://mersz.hu/hivatkozas/m1313amandny_415/#m1313amandny_415)
APA
Juhász K. (2025). A mandarin beszédhangok produkciója kínaiul tanuló magyar anyanyelvűek ejtésében. Akadémiai Kiadó.
https://doi.org/10.1556/9789636641467.
(Letöltve: 2026. 04. 14.https://mersz.hu/hivatkozas/m1313amandny_415/#m1313amandny_415)
A mandarin kváziretroflex /ʂ/ (Ladefoged–Wu 1984) ejtése több ponton sem vág egybe a klasszikus retroflex beszédhangok tipikus ejtésével és képzési jellemzőivel. Habár van egy jelentősebb méretű szublingvális (nyelv alatti) üreg, és a radix (nyelvgyök) retrakciója is megvalósul, azonban a beszédhang nevét adó nyelvhátrahajlás nem. Ebből következően a nyelv alsó felszíne helyett a felszíni terület közelíti meg a kemény szájpadot. Végül, de nem utolsósorban a mandarin anyanyelvűeknél az apikális ejtés – mint a 8. táblázatban is láthatjuk – sem szükségszerűen valósul meg (Ladefoged–Maddieson 1996; Hamann 2003). A klasszikus retroflex beszédhang és a kváziretroflex beszédhang ejtési különbségét a 35. ábra két ejtési sémája mutatja be.
Hivatkozások
Válaszd ki a számodra megfelelő hivatkozásformátumot:
Harvard
Juhász Kornélia (2025): A mandarin beszédhangok produkciója kínaiul tanuló magyar anyanyelvűek ejtésében. : Akadémiai Kiadó.
https://doi.org/10.1556/9789636641467Letöltve: https://mersz.hu/hivatkozas/m1313amandny_416/#m1313amandny_416 (2026. 04. 14.)
Chicago
Juhász Kornélia. 2025. A mandarin beszédhangok produkciója kínaiul tanuló magyar anyanyelvűek ejtésében. : Akadémiai Kiadó.
https://doi.org/10.1556/9789636641467
(Letöltve: 2026. 04. 14.https://mersz.hu/hivatkozas/m1313amandny_416/#m1313amandny_416)
APA
Juhász K. (2025). A mandarin beszédhangok produkciója kínaiul tanuló magyar anyanyelvűek ejtésében. Akadémiai Kiadó.
https://doi.org/10.1556/9789636641467.
(Letöltve: 2026. 04. 14.https://mersz.hu/hivatkozas/m1313amandny_416/#m1313amandny_416)
35. ábra: A klasszikus retroflex beszédhangok (balra, Ladefoged–Maddieson 1996: 27) és a kváziretroflex /ʂ/ (jobbra, Ladefoged–Maddieson 1996: 151) röntgenfelvételek alapján készített ejtési sémája
Jegyzet elhelyezéséhez, kérjük, lépj be.!
Hivatkozások
Válaszd ki a számodra megfelelő hivatkozásformátumot:
Harvard
Juhász Kornélia (2025): A mandarin beszédhangok produkciója kínaiul tanuló magyar anyanyelvűek ejtésében. : Akadémiai Kiadó.
https://doi.org/10.1556/9789636641467Letöltve: https://mersz.hu/hivatkozas/m1313amandny_418/#m1313amandny_418 (2026. 04. 14.)
Chicago
Juhász Kornélia. 2025. A mandarin beszédhangok produkciója kínaiul tanuló magyar anyanyelvűek ejtésében. : Akadémiai Kiadó.
https://doi.org/10.1556/9789636641467
(Letöltve: 2026. 04. 14.https://mersz.hu/hivatkozas/m1313amandny_418/#m1313amandny_418)
APA
Juhász K. (2025). A mandarin beszédhangok produkciója kínaiul tanuló magyar anyanyelvűek ejtésében. Akadémiai Kiadó.
https://doi.org/10.1556/9789636641467.
(Letöltve: 2026. 04. 14.https://mersz.hu/hivatkozas/m1313amandny_418/#m1313amandny_418)
A kínai szibilánsok hármas oppozíciójának harmadik eleme az alveolopalatális /ɕ/ szegmentum. Ladefoged és Maddieson (1996) szerint e szegmentum egy palatalizált posztalveoláris beszédhang, melynek ejtésekor a nyelv egyszerre, egy időben közelíti meg mind a posztalveoláris, mind a palatális képzési helyet a kemény szájpadon. Ennek következtében a többi szibilánshoz képest relatíve hosszú és szűk palatális csatorna jön létre az ejtés során, a nyelvcsúcs lefelé néz, és a nyelvtest előrehúzódva helyezkedik el, ami a frikatív szűkület feloldásakor egy hallható [j] approximáns megjelenését indukálja (Recasens 2013) (36. ábra).
Hivatkozások
Válaszd ki a számodra megfelelő hivatkozásformátumot:
Harvard
Juhász Kornélia (2025): A mandarin beszédhangok produkciója kínaiul tanuló magyar anyanyelvűek ejtésében. : Akadémiai Kiadó.
https://doi.org/10.1556/9789636641467Letöltve: https://mersz.hu/hivatkozas/m1313amandny_419/#m1313amandny_419 (2026. 04. 14.)
Chicago
Juhász Kornélia. 2025. A mandarin beszédhangok produkciója kínaiul tanuló magyar anyanyelvűek ejtésében. : Akadémiai Kiadó.
https://doi.org/10.1556/9789636641467
(Letöltve: 2026. 04. 14.https://mersz.hu/hivatkozas/m1313amandny_419/#m1313amandny_419)
APA
Juhász K. (2025). A mandarin beszédhangok produkciója kínaiul tanuló magyar anyanyelvűek ejtésében. Akadémiai Kiadó.
https://doi.org/10.1556/9789636641467.
(Letöltve: 2026. 04. 14.https://mersz.hu/hivatkozas/m1313amandny_419/#m1313amandny_419)
36. ábra: A mandarin dentális /s/ (balra), a posztalveoláris kváziretroflex /ʂ/ frikatíva (jobbra) és az alveolopalatális /ɕ/ (középen) röntgenfelvételéből készített sematikus keresztmetszeti ábrák (Ladefoged–Wu 1984: 269. nyomán)
Jegyzet elhelyezéséhez, kérjük, lépj be.!
Hivatkozások
Válaszd ki a számodra megfelelő hivatkozásformátumot:
Harvard
Juhász Kornélia (2025): A mandarin beszédhangok produkciója kínaiul tanuló magyar anyanyelvűek ejtésében. : Akadémiai Kiadó.
https://doi.org/10.1556/9789636641467Letöltve: https://mersz.hu/hivatkozas/m1313amandny_421/#m1313amandny_421 (2026. 04. 14.)
Chicago
Juhász Kornélia. 2025. A mandarin beszédhangok produkciója kínaiul tanuló magyar anyanyelvűek ejtésében. : Akadémiai Kiadó.
https://doi.org/10.1556/9789636641467
(Letöltve: 2026. 04. 14.https://mersz.hu/hivatkozas/m1313amandny_421/#m1313amandny_421)
APA
Juhász K. (2025). A mandarin beszédhangok produkciója kínaiul tanuló magyar anyanyelvűek ejtésében. Akadémiai Kiadó.
https://doi.org/10.1556/9789636641467.
(Letöltve: 2026. 04. 14.https://mersz.hu/hivatkozas/m1313amandny_421/#m1313amandny_421)
A kínai szibilánsok ejtésében és azonosításában nagy szerepe van a magánhangzó-környezetnek is. A jelen értekezés szempontjából az /a/ és az /i/ fonemikus magánhangzó példáját emelném ki (9. táblázat). Az /i/ magánhangzó esetében a szibilánskontextus indukálja az /i/ fonéma adott allofónjának megjelenését. Ez azt jelenti, hogy dentális obstruens után a [ɹ], míg posztalveoláris obstruens után a [ɻ] allofón (szillabikus approximáns) jelenik meg, míg az alveolopalatális képzési helyű szibilánst pedig palatális [i] allofón követ. Ezzel szemben az /a/ magánhangzó nem alternál, és kontextusfüggetlenül bármelyik szibiláns után előfordulhat. Ezért a fentebb tárgyalt alveolopalatális szibiláns palatalizált ejtése, és a képzéséből fakadó [j]-szerű tranzíció azért is kiemelt fontosságú, mert a vokalikus környezetből nem kikövetkeztethető a szibiláns megvalósulása.
Jegyzet elhelyezéséhez, kérjük, lépj be.!
Hivatkozások
Válaszd ki a számodra megfelelő hivatkozásformátumot:
Harvard
Juhász Kornélia (2025): A mandarin beszédhangok produkciója kínaiul tanuló magyar anyanyelvűek ejtésében. : Akadémiai Kiadó.
https://doi.org/10.1556/9789636641467Letöltve: https://mersz.hu/hivatkozas/m1313amandny_423/#m1313amandny_423 (2026. 04. 14.)
Chicago
Juhász Kornélia. 2025. A mandarin beszédhangok produkciója kínaiul tanuló magyar anyanyelvűek ejtésében. : Akadémiai Kiadó.
https://doi.org/10.1556/9789636641467
(Letöltve: 2026. 04. 14.https://mersz.hu/hivatkozas/m1313amandny_423/#m1313amandny_423)
APA
Juhász K. (2025). A mandarin beszédhangok produkciója kínaiul tanuló magyar anyanyelvűek ejtésében. Akadémiai Kiadó.
https://doi.org/10.1556/9789636641467.
(Letöltve: 2026. 04. 14.https://mersz.hu/hivatkozas/m1313amandny_423/#m1313amandny_423)
9. táblázat: Az /a/ és /i/ fonémák megvalósulása a három kínai szibilás környezetében (ahol a pinyin transzkripciót a fonémaszekvenciák, illetve a beszédhangok IPA-átirata követi)
|
Dentális /s/
|
Posztalveoláris /ʂ/
|
Alveolopalatális /ɕ/
|
|
|
/a/
|
sa /sa/ [sa]
|
sha /ʂa/ [ʂa]
|
xia /ɕa/ [ɕja]
|
|
/i/
|
si /si/ [sɹ]
|
shi /ʂɻ/ [ʂɻ]
|
xi /ɕi/ [ɕi]
|
Jegyzet elhelyezéséhez, kérjük, lépj be.!
Hivatkozások
Válaszd ki a számodra megfelelő hivatkozásformátumot:
Harvard
Juhász Kornélia (2025): A mandarin beszédhangok produkciója kínaiul tanuló magyar anyanyelvűek ejtésében. : Akadémiai Kiadó.
https://doi.org/10.1556/9789636641467Letöltve: https://mersz.hu/hivatkozas/m1313amandny_424/#m1313amandny_424 (2026. 04. 14.)
Chicago
Juhász Kornélia. 2025. A mandarin beszédhangok produkciója kínaiul tanuló magyar anyanyelvűek ejtésében. : Akadémiai Kiadó.
https://doi.org/10.1556/9789636641467
(Letöltve: 2026. 04. 14.https://mersz.hu/hivatkozas/m1313amandny_424/#m1313amandny_424)
APA
Juhász K. (2025). A mandarin beszédhangok produkciója kínaiul tanuló magyar anyanyelvűek ejtésében. Akadémiai Kiadó.
https://doi.org/10.1556/9789636641467.
(Letöltve: 2026. 04. 14.https://mersz.hu/hivatkozas/m1313amandny_424/#m1313amandny_424)
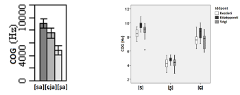
A frikatív szűkület relatív helyét a toldalékcsőben – mint azt az 1.2.5.1. fejezetben láthattuk – a spektrális középpont/súlypont értékével (centre of gravity, COG) szokás megragadni. A COG értéke a szűkület előtti üreg hosszával áll fordított arányban, azaz nagyobb elülső üreg esetében kisebb COG-értékre számítunk (Li 2008). Vizsgálatok szerint ez az érték mindhárom mandarin frikatívát elkülöníti egymástól, mégpedig úgy, hogy a dentialveoláris /s/ rendelkezik a legkisebb elülső üreggel, ezáltal a legmagasabb COG-értékkel, valamint a kváziretroflex posztalveoláris /ʂ/ szegmentum esetében számítunk a legalacsonyabb COG-értékre (37. ábra) (Lee 1999; Li 2008; Lee-Kim 2011). Felmerülhet a kérdés, hogy a COG-értékre hatással lehet-e az apikalitás-laminalitás kontrasztja, tehát az ejtésben részt vevő nyelvi régió minősége: Icht és Ben-David (2017) vizsgálata szerint a héber alveoláris szibilánsok COG-értékére nincs hatással az ejtésben érintett nyelvi régió.
Hivatkozások
Válaszd ki a számodra megfelelő hivatkozásformátumot:
Harvard
Juhász Kornélia (2025): A mandarin beszédhangok produkciója kínaiul tanuló magyar anyanyelvűek ejtésében. : Akadémiai Kiadó.
https://doi.org/10.1556/9789636641467Letöltve: https://mersz.hu/hivatkozas/m1313amandny_425/#m1313amandny_425 (2026. 04. 14.)
Chicago
Juhász Kornélia. 2025. A mandarin beszédhangok produkciója kínaiul tanuló magyar anyanyelvűek ejtésében. : Akadémiai Kiadó.
https://doi.org/10.1556/9789636641467
(Letöltve: 2026. 04. 14.https://mersz.hu/hivatkozas/m1313amandny_425/#m1313amandny_425)
APA
Juhász K. (2025). A mandarin beszédhangok produkciója kínaiul tanuló magyar anyanyelvűek ejtésében. Akadémiai Kiadó.
https://doi.org/10.1556/9789636641467.
(Letöltve: 2026. 04. 14.https://mersz.hu/hivatkozas/m1313amandny_425/#m1313amandny_425)
37. ábra: A három mandarin szibiláns, a dentális /s/, az alveolopalatális /ɕ/, valamint a kváziretroflex posztalveoláris /ʂ/ COG-értékei a frikatív fázis időbeli középpontjában mérve (balra, Li 2008: 42), valamint három időpontban mérve, azaz a frikatív fázis kezdetén, a középpontjában, illetve a végén (jobbra, Lee-Kim 2011: 1180 alapján)
Jegyzet elhelyezéséhez, kérjük, lépj be.!
Hivatkozások
Válaszd ki a számodra megfelelő hivatkozásformátumot:
Harvard
Juhász Kornélia (2025): A mandarin beszédhangok produkciója kínaiul tanuló magyar anyanyelvűek ejtésében. : Akadémiai Kiadó.
https://doi.org/10.1556/9789636641467Letöltve: https://mersz.hu/hivatkozas/m1313amandny_427/#m1313amandny_427 (2026. 04. 14.)
Chicago
Juhász Kornélia. 2025. A mandarin beszédhangok produkciója kínaiul tanuló magyar anyanyelvűek ejtésében. : Akadémiai Kiadó.
https://doi.org/10.1556/9789636641467
(Letöltve: 2026. 04. 14.https://mersz.hu/hivatkozas/m1313amandny_427/#m1313amandny_427)
APA
Juhász K. (2025). A mandarin beszédhangok produkciója kínaiul tanuló magyar anyanyelvűek ejtésében. Akadémiai Kiadó.
https://doi.org/10.1556/9789636641467.
(Letöltve: 2026. 04. 14.https://mersz.hu/hivatkozas/m1313amandny_427/#m1313amandny_427)
Ladefoged és Maddieson (1996) palatográfiát alkalmazó kutatásukban azt is megállapították, hogy az alveolopalatális /ɕ/ képzésekor a létrejövő szűkület – a palatogramok alapján – a dentális /s/-nél hátrébb, azonban a kváziretroflex posztalveoláris /ʂ/-nél előrébb helyezkedik el. Ez azt jelenti, hogy az alveolopalatális /ɕ/ kínai frikatíva képzési helye a másik két mandarin szibiláns között van. Ennek az artikulációs kutatásnak az eredményei visszaköszönnek a mandarin szibilánsok akusztikai szerkezetét illető eredményekben is: Li (2008) és Lee-Kim (2011) azt találta, hogy az alveolopalatális /ɕ/ a dentialveoláris /s/ és kváziretroflex /ʂ/-hez képest köztes COG-értékkel rendelkezik. Ebből arra következtethetünk, hogy a mandarin alveolopalatális /ɕ/ elülső ürege azaz a palatális csatorna előtt, a szájnyílás felé elhelyezkedő ürege a dentális /s/ esetében tapasztalhatónál nagyobb, azonban a kváziretroflex posztalveoláris /ʂ/ esetében tapasztalhatónál kisebb. Toda és munkatársai (2010) a lengyel /ɕ/ produkcióját MRI-vel vizsgálva a kínaiban látottakhoz hasonló artikulációs beállításokat találtak. Azonban az akusztikai szerkezet megvalósulását (a COG alakulását) egy másik tényező is befolyásolhatja: a lengyel alveolopalatális szibiláns akusztikai modelljét vizsgálva Toda és munkatársai (2010) arra a megállapításra jutottak, hogy a lengyel /ɕ/ akusztikai jellemzőit vélhetően a frikatív szűkület előtti üreg hossza és a szűkület hosszú és keskeny palatális csatornája együttesen határozza meg.
Jegyzet elhelyezéséhez, kérjük, lépj be.!
Hivatkozások
Válaszd ki a számodra megfelelő hivatkozásformátumot:
Harvard
Juhász Kornélia (2025): A mandarin beszédhangok produkciója kínaiul tanuló magyar anyanyelvűek ejtésében. : Akadémiai Kiadó.
https://doi.org/10.1556/9789636641467Letöltve: https://mersz.hu/hivatkozas/m1313amandny_428/#m1313amandny_428 (2026. 04. 14.)
Chicago
Juhász Kornélia. 2025. A mandarin beszédhangok produkciója kínaiul tanuló magyar anyanyelvűek ejtésében. : Akadémiai Kiadó.
https://doi.org/10.1556/9789636641467
(Letöltve: 2026. 04. 14.https://mersz.hu/hivatkozas/m1313amandny_428/#m1313amandny_428)
APA
Juhász K. (2025). A mandarin beszédhangok produkciója kínaiul tanuló magyar anyanyelvűek ejtésében. Akadémiai Kiadó.
https://doi.org/10.1556/9789636641467.
(Letöltve: 2026. 04. 14.https://mersz.hu/hivatkozas/m1313amandny_428/#m1313amandny_428)
A következőkben azt mutatom be, hogy az aperiodikus turbulens zörejes fázisban a COG-érték tekintetében milyen palatalizációs mintázatok jelenhetnek meg, és ebben az esetben az alveolopalatális /ɕ/ szegmentum képzése kerül középpontba. Attól függően, hogy a szibilánsokat palatalizált vagy palatalizálódó ejtés jellemezi, a COG frekvenciájának a mássalhangzó időtartama alatt tapasztalható változásában két különböző mintázat különíthető el. Az alveolopalatális (palatalizált) ejtést a lengyel (38. ábra, bal oldali panel) és a kínai (37. ábra) alveolopalatális /ɕ/ szegmentumok COG-mintázataival szemléltetem (Zsiga 2000; Zygis–Hamann 2003; Lee-Kim 2011).
Jegyzet elhelyezéséhez, kérjük, lépj be.!
Hivatkozások
Válaszd ki a számodra megfelelő hivatkozásformátumot:
Harvard
Juhász Kornélia (2025): A mandarin beszédhangok produkciója kínaiul tanuló magyar anyanyelvűek ejtésében. : Akadémiai Kiadó.
https://doi.org/10.1556/9789636641467Letöltve: https://mersz.hu/hivatkozas/m1313amandny_429/#m1313amandny_429 (2026. 04. 14.)
Chicago
Juhász Kornélia. 2025. A mandarin beszédhangok produkciója kínaiul tanuló magyar anyanyelvűek ejtésében. : Akadémiai Kiadó.
https://doi.org/10.1556/9789636641467
(Letöltve: 2026. 04. 14.https://mersz.hu/hivatkozas/m1313amandny_429/#m1313amandny_429)
APA
Juhász K. (2025). A mandarin beszédhangok produkciója kínaiul tanuló magyar anyanyelvűek ejtésében. Akadémiai Kiadó.
https://doi.org/10.1556/9789636641467.
(Letöltve: 2026. 04. 14.https://mersz.hu/hivatkozas/m1313amandny_429/#m1313amandny_429)
Mind a lengyel, mind a mandarin kínai nyelv esetében az alveolopalatális /ɕ/ COG-értékei minden ponton elkülönülnek a dentális, illetve a posztalveoláris képzési helyű szibilánsokétól, és e szegmentumokhoz képest a /ɕ/ köztes COG-értékkel rendelkezik. Ezek az esetek azt illusztrálják, hogy miként valósul meg akusztikailag a palatalizáció, mint szimultán másodlagos artikulációs mozzanat.
Jegyzet elhelyezéséhez, kérjük, lépj be.!
Hivatkozások
Válaszd ki a számodra megfelelő hivatkozásformátumot:
Harvard
Juhász Kornélia (2025): A mandarin beszédhangok produkciója kínaiul tanuló magyar anyanyelvűek ejtésében. : Akadémiai Kiadó.
https://doi.org/10.1556/9789636641467Letöltve: https://mersz.hu/hivatkozas/m1313amandny_430/#m1313amandny_430 (2026. 04. 14.)
Chicago
Juhász Kornélia. 2025. A mandarin beszédhangok produkciója kínaiul tanuló magyar anyanyelvűek ejtésében. : Akadémiai Kiadó.
https://doi.org/10.1556/9789636641467
(Letöltve: 2026. 04. 14.https://mersz.hu/hivatkozas/m1313amandny_430/#m1313amandny_430)
APA
Juhász K. (2025). A mandarin beszédhangok produkciója kínaiul tanuló magyar anyanyelvűek ejtésében. Akadémiai Kiadó.
https://doi.org/10.1556/9789636641467.
(Letöltve: 2026. 04. 14.https://mersz.hu/hivatkozas/m1313amandny_430/#m1313amandny_430)
Ezzel szemben a palatalizálódó ejtés esetében a frikatív fázis második felében a frikatíva után következő palatális szegmentum koartikulációs hatása figyelhető meg, ahogyan a /s/ és a rákövetkező palatális /j/ gesztusai átfednek (Zsiga 1995, 2000). Zsiga (1995) angol szibilánsok produkcióját vizsgálta elektropalatográfiával. Eredményei szerint a /sj/ szekvenciában a két szegmentum koartikulációs hatást fejt ki egymásra, így a szibiláns palatalizálódik, azaz az elülső alveoláris szájpadi szűkülethez az időben előrehaladva a hátrébb elhelyezkedő (alveolo)palatális [j] artikulációs gesztusa is társul. Ez azt eredményezi, hogy megnövekszik az egymáshoz közelítő artikulátorok által alkotott szűkület felszíne, úgy, hogy a nyelvfelszín hátsóbb régiója (azaz a nyelvtest) is megemelkedik, és a képzés ezáltal palatalizálódik. Végeredményben tehát ez idézi elő a graduális csökkenést a mássalhangzó időtartama alatt a COG frekvenciaértékében (Zsiga 1995) (38. ábra, jobb panel).
Hivatkozások
Válaszd ki a számodra megfelelő hivatkozásformátumot:
Harvard
Juhász Kornélia (2025): A mandarin beszédhangok produkciója kínaiul tanuló magyar anyanyelvűek ejtésében. : Akadémiai Kiadó.
https://doi.org/10.1556/9789636641467Letöltve: https://mersz.hu/hivatkozas/m1313amandny_431/#m1313amandny_431 (2026. 04. 14.)
Chicago
Juhász Kornélia. 2025. A mandarin beszédhangok produkciója kínaiul tanuló magyar anyanyelvűek ejtésében. : Akadémiai Kiadó.
https://doi.org/10.1556/9789636641467
(Letöltve: 2026. 04. 14.https://mersz.hu/hivatkozas/m1313amandny_431/#m1313amandny_431)
APA
Juhász K. (2025). A mandarin beszédhangok produkciója kínaiul tanuló magyar anyanyelvűek ejtésében. Akadémiai Kiadó.
https://doi.org/10.1556/9789636641467.
(Letöltve: 2026. 04. 14.https://mersz.hu/hivatkozas/m1313amandny_431/#m1313amandny_431)
38. ábra: Az alveolopalatális (palatalizált) szibilánsok COG értékének változása a szibiláns tartama alatt a lengyel alveolopalatális /ɕ/ esetében (balra, Zygis–Hamann 2003: 5), valamint a koartikuláció hatására palatalizálódó /s/ ejtésének akusztikai vetülete az angol nyelvben (jobbra, Zsiga 2000: 87, 89)
Jegyzet elhelyezéséhez, kérjük, lépj be.!
Hivatkozások
Válaszd ki a számodra megfelelő hivatkozásformátumot:
Harvard
Juhász Kornélia (2025): A mandarin beszédhangok produkciója kínaiul tanuló magyar anyanyelvűek ejtésében. : Akadémiai Kiadó.
https://doi.org/10.1556/9789636641467Letöltve: https://mersz.hu/hivatkozas/m1313amandny_433/#m1313amandny_433 (2026. 04. 14.)
Chicago
Juhász Kornélia. 2025. A mandarin beszédhangok produkciója kínaiul tanuló magyar anyanyelvűek ejtésében. : Akadémiai Kiadó.
https://doi.org/10.1556/9789636641467
(Letöltve: 2026. 04. 14.https://mersz.hu/hivatkozas/m1313amandny_433/#m1313amandny_433)
APA
Juhász K. (2025). A mandarin beszédhangok produkciója kínaiul tanuló magyar anyanyelvűek ejtésében. Akadémiai Kiadó.
https://doi.org/10.1556/9789636641467.
(Letöltve: 2026. 04. 14.https://mersz.hu/hivatkozas/m1313amandny_433/#m1313amandny_433)
A második vizsgálati szempont a szibilánsok produkciójában szintén az elülső üreg akusztikai vetületével kapcsolatos: ez a vizsgálati szempont az apikalitáls-laminalitás kontrasztjának akusztikai vetületét hivatott megjeleníteni, vagyis a szűkület képzésekor érintett nyelvi régiót vizsgálni. Ahogy azt korábban, az 1.2.5.2.3. fejezetben bemutattam, a szibiláns képzésében érintett nyelvi régió a koartikulációból fakadóan vizsgálható a frikatíva után következő vokalikus szegmentum kezdetén mért F3-értékkel. Annak következményeképpen, hogy az apikális ejtés során a nyelvcsúcs megemelkedik, a nyelvtest alatt egy addicionális, úgy nevezett szublingvális üreg jön létre, ami az ajakkerekítéssel hasonló hatással rendelkezik, vagyis csökkenti az F3-értékét (az azonos képzési helyű, de predorzális ejtésű beszédhangokhoz képest). A predorzális ejtés esetében azonban feltételezhetően a nyelvcsúcs „belelóg” a szibiláns szűkület előtt elhelyezkedő elülső rezonátorüregbe, csökkentve ennek térfogatát. Ez F3-értékek tekintetében azt jelenti, hogy míg egy apikális képzés esetében az elülső üreg – a szublingvális üreggel kiegészülve – nagyobb, ezáltal alacsonyabb F3-értékre számíthatunk. Ezzel szemben predorzális képzésmód esetében az apikális ejtéshez viszonyítva kisebb elülső üregre és ezért magasabb F3-értékre számíthatunk (Stevens 2000). Ezeket az akusztikai összefüggéseket Dart (1991) tanulmányában a francia szibilánsok vizsgálatakor is megerősítette. Azonban azt újra hangsúlyozni kell, hogy ezek az összefüggések csak és kizárólag akkor alkalmazhatók, ha a szűkület helyét illetően nincs eltérés a produkcióban.
Jegyzet elhelyezéséhez, kérjük, lépj be.!
Hivatkozások
Válaszd ki a számodra megfelelő hivatkozásformátumot:
Harvard
Juhász Kornélia (2025): A mandarin beszédhangok produkciója kínaiul tanuló magyar anyanyelvűek ejtésében. : Akadémiai Kiadó.
https://doi.org/10.1556/9789636641467Letöltve: https://mersz.hu/hivatkozas/m1313amandny_434/#m1313amandny_434 (2026. 04. 14.)
Chicago
Juhász Kornélia. 2025. A mandarin beszédhangok produkciója kínaiul tanuló magyar anyanyelvűek ejtésében. : Akadémiai Kiadó.
https://doi.org/10.1556/9789636641467
(Letöltve: 2026. 04. 14.https://mersz.hu/hivatkozas/m1313amandny_434/#m1313amandny_434)
APA
Juhász K. (2025). A mandarin beszédhangok produkciója kínaiul tanuló magyar anyanyelvűek ejtésében. Akadémiai Kiadó.
https://doi.org/10.1556/9789636641467.
(Letöltve: 2026. 04. 14.https://mersz.hu/hivatkozas/m1313amandny_434/#m1313amandny_434)
A szűkület előtti üreg hosszával összefüggésben álló COG- és F3-érték mellett a palatalizáció mértékét is vizsgálom, azonban a kínai szibilánsok ejtésében ezt az ejtési tulajdonságot a frikatív szűkület mögötti üreg nagyságának akusztikai vetületével ragadom meg. Mint ahogy azt az 1.2.5.2.2. fejezetben bemutattam a koartikulációból fakadóan a szibiláns képzési helyét a szibiláns után következő vokalikus szegmentum elején mért második formáns (F2) frekvenciaértékével szokás számszerűsíteni (Li et al. 2007; Li 2008). Koronális szibilánsok esetében a szibilánst követő vokalikus szegmentum kezdetén mért F2-érték (a továbbiakban: kezdeti F2-érték) és a szűkület mögötti üreg nagysága között fordított arányosságot feltételezhetünk (Nittrouer et al. 1988; Li 2008). Ez azt jelenti, hogy mivel a dentális /s/-nél helyezkedik el legelőrébb a frikatív szűkület, ezáltal ebben az esetben számíthatunk a kínai szibilánsok között a legnagyobb hátulsó üregre és a legalacsonyabb F2-értékre. Mivel a kváziretroflex posztalveoláris /ʂ/ esetében a szűkület hátrébb helyezkedik el a dentális /s/-ben tapasztalhatónál, a /ʂ/ esetében magasabb kezdeti F2-értéket várható, mint a /s/ esetében. Az alveolopalatális /ɕ/ esetében az előző szegmentumokkal szemben az erősen palatalizált ejtésből fakadóan a nyelvtest megemelkedése révén a szűkület mögötti, garat felőli üreg térfogata lecsökken, és ezáltal az várható, hogy ez a szegmentum rendelkezik a kínai szibilánsok között a legmagasabb kezdeti F2-értékkel. Ezeket a várakozásokat korábbi akusztikai elemzések alátámasztották (39. ábra).
Hivatkozások
Válaszd ki a számodra megfelelő hivatkozásformátumot:
Harvard
Juhász Kornélia (2025): A mandarin beszédhangok produkciója kínaiul tanuló magyar anyanyelvűek ejtésében. : Akadémiai Kiadó.
https://doi.org/10.1556/9789636641467Letöltve: https://mersz.hu/hivatkozas/m1313amandny_435/#m1313amandny_435 (2026. 04. 14.)
Chicago
Juhász Kornélia. 2025. A mandarin beszédhangok produkciója kínaiul tanuló magyar anyanyelvűek ejtésében. : Akadémiai Kiadó.
https://doi.org/10.1556/9789636641467
(Letöltve: 2026. 04. 14.https://mersz.hu/hivatkozas/m1313amandny_435/#m1313amandny_435)
APA
Juhász K. (2025). A mandarin beszédhangok produkciója kínaiul tanuló magyar anyanyelvűek ejtésében. Akadémiai Kiadó.
https://doi.org/10.1556/9789636641467.
(Letöltve: 2026. 04. 14.https://mersz.hu/hivatkozas/m1313amandny_435/#m1313amandny_435)
39. ábra: A három mandarin szibiláns, a dentális /s/, az alveolopalatális /ɕ/, valamint a kváziretroflex posztalveoláris /ʂ/ után következő vokalikus szegmentum kezdetén mért F2-értékek az /a/ kontextus esetében
(Li 2008: 42. nyomán)
Jegyzet elhelyezéséhez, kérjük, lépj be.!
Hivatkozások
Válaszd ki a számodra megfelelő hivatkozásformátumot:
Harvard
Juhász Kornélia (2025): A mandarin beszédhangok produkciója kínaiul tanuló magyar anyanyelvűek ejtésében. : Akadémiai Kiadó.
https://doi.org/10.1556/9789636641467Letöltve: https://mersz.hu/hivatkozas/m1313amandny_438/#m1313amandny_438 (2026. 04. 14.)
Chicago
Juhász Kornélia. 2025. A mandarin beszédhangok produkciója kínaiul tanuló magyar anyanyelvűek ejtésében. : Akadémiai Kiadó.
https://doi.org/10.1556/9789636641467
(Letöltve: 2026. 04. 14.https://mersz.hu/hivatkozas/m1313amandny_438/#m1313amandny_438)
APA
Juhász K. (2025). A mandarin beszédhangok produkciója kínaiul tanuló magyar anyanyelvűek ejtésében. Akadémiai Kiadó.
https://doi.org/10.1556/9789636641467.
(Letöltve: 2026. 04. 14.https://mersz.hu/hivatkozas/m1313amandny_438/#m1313amandny_438)
A kínai szibiláns réshangokkal kapcsolatosan két kísérletet mutatok be: az első kísérlet egy elővizsgálatnak tekinthető, amelyben kizárólag a kínai dentális /s/ és kváziretroflex posztalveoláris /ʂ/ szegmentumok ejtését vizsgálom a szűkület relatív pozíciója (COG) és a produkcióban érintett nyelvi régió (kezdeti F3-érték) szempontjából (5.1. fejezet). A második kísérletben pedig már mindhárom kínai szibiláns frikatívát vizsgálom (kizárólag /a/ vokalikus kontextusban), valamint ezeket a beszédhangokat a kísérlet keretein belül a magyar szibilánsok ejtésével is összevetem (5.2. fejezet).
| 1 | A kínai és magyar szibiláns réshangok képzési jegyeinek akusztikai vizsgálata a következő megjelent tanulmányokon alapul: Juhász 2020b; Juhász–Deme 2022a. |