Közgazdaságtan
Összefoglalás
A szöveg a tőke és kamat alapfogalmait, valamint a tőke-, profit- és kamatelméletet tárgyalja. A tőke tartós eszközöket jelent, amelyeket a termelésben használnak, míg a kamat a pénzügyi eszközök hozamát jelzi. A kamatlábak különböző tényezők, például a hitelek futamideje és kockázata, valamint az infláció hatására változnak. A reálkamatláb az inflációval korrigált hozamot mutatja. A jelenérték számítása segít a jövőbeli jövedelemáramlás mai értékének meghatározásában. A tőkeberuházás elhalasztott fogyasztást jelent, amely a jövőbeli fogyasztás növelését célozza. A kamat ösztönzi a megtakarítást és segít a legjövedelmezőbb beruházások kiválasztásában. A tőke felhalmozása csökkenő hozadékot eredményez, ami a kamatlábak csökkenéséhez vezet. A megtakarítás és beruházás kölcsönhatása határozza meg a kamatlábakat és a tőke hozamrátáját. A profit a bevételek és költségek különbsége, amely különböző forrásokból származhat, mint például az implicit hozam, kockázati prémium és innovációs profit.
- Vegyük sorra a legfontosabb fogalmakat:
- Tőke: egtermelt tartós eszközök, melyeket a termelési folyamatban használnak.
- Bérleti díj: tőkejavak bérbeadásának nettó éves pénzhozama.
- Beruházás hozamrátája: tőke nettó éves eredménye osztva a tőke pénzértékével (mértékegysége: százalék/év).
- Kamatláb: pénzügyi eszközök hozama, mérőszáma: százalék/év.
- Reálkamatláb: pénzügyi eszközök inflációval korrigált hozama, ezt szintén százalék/év formában kell megadni.
- Jelenérték: gy eszköz jövőbeli jövedelemáramlásának a mai napra átszámított értéke.
- A kamatláb a pénzügyi eszközök hozamrátája, százalék/év formában kifejezve. Az emberek készek megfizetni a kamatot, mivel a kölcsönvett összegek lehetővé teszik számukra javak és szolgáltatások megvásárlását folyó fogyasztás vagy jövedelmező beruházások céljából.
- Sokféle kamatláb létezik, s ezek jelentősen különböznek egymástól. Több tényező felelős a kamatlábak eltéréséért, például a hitelek futamideje és kockázata, a befektetések likviditásának foka és a kamatjövedelmek adóztatásának mértéke.
- A nominális vagy pénzben kifejezett kamatlábak rendszerint emelkednek az inflációs időszakokban, ebben tükröződik, hogy csökken a pénz vásárlóereje az árak emelkedésével. A kamatjövedelmeket azonban a javak és szolgáltatások mennyiségében is ki lehet fejezni. Erre szolgál a reálkamatláb, ami a nominális kamatláb és az inflációs ráta különbsége.
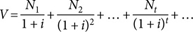
- Az aktívák jövedelemáramlást eredményeznek jövőbeli időszakokban. A jelenérték számítása révén ezt a jövőbeli jövedelemáramlást átváltjuk egyetlen mai értékké. Ez megmutatja, mekkora jelenbeli pénzösszeg nyújtaná a feltételezett jövőbeli jövedelemáramlást, ha ezt a piaci kamatláb mellett fektetnénk be.
- A jelenérték számításának pontos formulája a következő. Minden egyes t év múlva esedékes dollár V-vel jelölt jelenértéke: V = 1$/(1 + i)t. Így bármely (N1, N2, …, Nt, …) jövedelemáramlás esetében, ahol Nt a jövőben esedékes nettó bevétel pénzértéke t év múlva, azt kapjuk, hogy:
- A harmadik termelési tényező a tőke; a tőkejavak megtermelt tartós eszközök, amelyek a termelésben maradnak további felhasználásra. A szó legáltalánosabb értelmében a tőkeberuházás elhalasztott fogyasztást jelent. A társadalom bővíti jövőbeli fogyasztását a jelenbeli fogyasztás későbbre halasztásával, épületek, gépek és berendezések termelésével. Gazdasági tény, hogy a kerülő utas termelés pozitív hozamrátával rendelkezik.
- A kamatnak két funkciója van a gazdaságban. Motiváló tényezőként ösztönzi az embereket a megtakarításra és vagyonfelhalmozásra. Adagolási eszközként pedig lehetővé teszi a társadalomnak, hogy kiválassza a legmagasabb hozamrátát ígérő beruházásokat. Egyre több és több tőke felhalmozásával azonban érvényesül a csökkenő hozadék elve, ezért a verseny leszorítja a tőke hozamrátáját és a kamatlábat. A csökkenő kamatlábak azt jelzik a társadalomnak, hogy tőkeigényesebb beruházásokat valósítson meg, alacsonyabb hozamrátával.
- A megtakarítás és beruházás azt jelenti, hogy jövőbeli fogyasztásra várunk a jelenbeli fogyasztás helyett. Ez a megtakarítási hajlam kölcsönhatásra lép a tőke nettó termelékenységével, és együttesen meghatározzák a kamatlábakat, a tőke hozamrátáját, valamint a tőkeállományt. A tőke vásárlásához szükséges forrásokat vagy pénzügyi eszközöket azok a háztartások szolgáltatják, amelyek hajlandóak folyó fogyasztásukat feladni a holnapi nagyobb fogyasztásért. A tőkekeresletet a vállalatok támasztják; ők sokféle kerülő utas beruházási tervvel állnak elő. A hosszú távú egyensúlyi kamatlábat így a tőke nettó termelékenységének és a háztartások készségének kölcsönhatása alakítja ki, hogy a holnapi fogyasztás kedvéért feláldozzák a jelenbeli fogyasztást.
- A profit a bevételek és a költségek különbsége. Emlékeztetünk rá, hogy a gazdasági profit különbözik a számviteli kimutatásokban megjelelő profittól. Közgazdaságilag háromféle profit között teszünk különbséget. a) A nyereség számottevő része implicit hozam. A munkán kívüli termelési tényezők (tőke, természeti erőforrások, szabadalmak) jelentős része a vállalatok tulajdonában van. A saját tulajdonban levő inputok implicit hozama része a nyereségnek. b) A profit további forrása a kockázati prémium, amelyik a nem biztosított vagy nem biztosítható kockázatokkal kapcsolatos, különös tekintettel a konjunktúraciklusok kockázataira. c) Végül pedig az innovációs profitot olyan vállalkozók arathatják le, akik új termékeket vagy termelési eljárásokat vezetnek be.
Tartalomjegyzék
- Közgazdaságtan
- Impresszum
- A szerzőkről
- Középutas kiáltvány
- Előszó
- Diákoknak: a közgazdaságtan és az internet
- I. rész: Alapfogalmak
- 1. fejezet: A közgazdaságtan alapfogalmai
- 1. Függelék: Hogyan értelmezzük a grafikonokat?
- 2. fejezet: A modern vegyes gazdaság
- 3. fejezet: A kínálat és kereslet alapelemei
- II. rész: Mikroökonómia: kínálat, kereslet és a termékpiacok
- 4. fejezet: Kínálat és kereslet: a rugalmasság és alkalmazásai
- 5. fejezet: Kereslet és fogyasztói magatartás
- Választás és hasznossági elmélet
- A keresleti görbék levezetése
- Egy alternatív megközelítés: a helyettesítési és jövedelmi hatás
- Az egyéni kereslettől a piaci keresletig
- A szenvedélybetegségek gazdaságtana
- Értékparadoxon
- Fogyasztói többlet
- Összefoglalás
- Áttekintendő fogalmak
- További olvasmányok és internetes honlapok
- Vitakérdések
- 5. Függelék: A fogyasztói egyensúly geometriai elemzése
- 6. fejezet: Termelés és az üzleti szervezet
- 7. fejezet: A költségek elemzése
- A) A költségek gazdasági elemzése
- B) Gazdasági költségek és az üzleti számvitel
- C) Alternatív költség
- Összefoglalás
- Áttekintendő fogalmak
- További olvasmányok és internetes honlapok
- Vitakérdések
- 7. Függelék: Termelés, költségelmélet és vállalati döntések
- 8. fejezet: A tökéletesen versenyző piacok elemzése
- 9. fejezet: Tökéletlen verseny és monopólium
- 10. fejezet: Verseny néhány szereplővel
- A) Vállalati magatartás tökéletlen versenyben
- B) Játékelmélet
- C) Állami eszközök a piaci hatalom visszaszorítására
- Összefoglalás
- Áttekintendő fogalmak
- További olvasmányok és internetes honlapok
- Vitakérdések
- 11. fejezet: A bizonytalanság gazdaságtana
- III. rész: Tényezőpiacok: munka, föld és tőke
- 12. fejezet: Hogyan határozzák meg a piacok a jövedelmeket?
- A) Jövedelem és vagyon
- B) A tényezők határtermék szerinti árazása
- Összefoglalás
- Áttekintendő fogalmak
- További olvasmányok és internetes honlapok
- Vitakérdések
- 13. fejezet: A munkapiac
- A) A béreket meghatározó fő tényezők
- B) Munkapiaci ügyek és szabályozási kérdések
- Összefoglalás
- Áttekintendő fogalmak
- További olvasmányok és internetes honlapok
- Vitakérdések
- 14. fejezet: Föld, természeti erőforrások és a környezet
- A) A természeti erőforrások gazdaságtana
- B) Környezet-gazdaságtan
- Összefoglalás
- Áttekintendő fogalmak
- További olvasmányok és internetes honlapok
- Vitakérdések
- 15. fejezet: Tőke, kamat és profit
- A) A tőke és a kamat alapfogalmai
- B) Tőke-, profit- és kamatelmélet
- Összefoglalás
- Áttekintendő fogalmak
- További olvasmányok és internetes honlapok
- Vitakérdések
- 12. fejezet: Hogyan határozzák meg a piacok a jövedelmeket?
- IV. rész: A közgazdasági elvek alkalmazása
- 16. fejezet: Állami adóztatás és közkiadások
- A) Az állami gazdaságszabályozás
- B) Kormányzati kiadások
- C) Az adóztatás közgazdasági vetületei
- Összefoglalás
- Áttekintendő fogalmak
- További olvasmányok és internetes honlapok
- Vitakérdések
- 17. fejezet: Hatékonyság vagy egyenlőség: a nagy választás
- A) Az egyenlőtlenség forrásai
- B) Szegénységellenes politika
- Összefoglalás
- Áttekintendő fogalmak
- További olvasmányok és internetes honlapok
- Vitakérdések
- 18. fejezet: Nemzetközi kereskedelem
- A) A nemzetközi kereskedelem természete
- B) Komparatív előnyök nemzetközi szinten
- C) Protekcionizmus
- Összefoglalás
- Áttekintendő fogalmak
- További olvasmányok és internetes honlapok
- Vitakérdések
- 16. fejezet: Állami adóztatás és közkiadások
- V. rész: Makroökonómia: gazdasági növekedés és üzleti ciklusok
- 19. fejezet: A makroökonómia áttekintése
- 19. Függelék: Az egyesült államok makroökonómiai adatai
- 20. fejezet: A gazdasági tevékenység mérése
- Bruttó hazai termék: a gazdasági teljesítmény mércéje
- A nemzeti számlák részletei
- Nominális és reál GDP: a GDP „deflálása” az árindexszel
- Fogyasztás
- Beruházás és tőkefelhalmozás
- Kormányzati vásárlások
- Nettó export
- Bruttó hazai termék, nettó hazai termék és bruttó nemzeti termék
- GDP és NDP: egy pillantás a számokra
- A GDP-től a rendelkezésre álló jövedelemig
- Megtakarítás és beruházás
- Nominális és reál GDP: a GDP „deflálása” az árindexszel
- Túl a nemzeti számlákon
- Árindexek és az infláció
- A számbavétel értékelése
- Összefoglalás
- Áttekintendő fogalmak
- További olvasmányok és internetes honlapok
- Vitakérdések
- 21. fejezet: Fogyasztás és beruházás
- 22. fejezet: Konjunktúraciklusok és az aggregált kereslet
- 23. fejezet: Pénz és pénzügyi rendszer
- 24. fejezet: Monetáris politika és a gazdaság
- A) A központi bankok szerepe és a szövetségi bankrendszer
- B) A monetáris transzmissziós mechanizmus
- C) A monetáris gazdaságtan alkalmazásai
- Összefoglalás
- Áttekintendő fogalmak
- További olvasmányok és internetes honlapok
- Vitakérdések
- VI. rész: Növekedés, fejlődés és a globális gazdaság
- 25. fejezet: Gazdasági növekedés
- 26. fejezet: A gazdasági fejlődés kihívása
- A) Népességnövekedés és fejlődés
- B) Gazdasági növekedés a szegény országokban
- C) A fejlődés különféle modelljei
- Összefoglalás
- Áttekintendő fogalmak
- TOVÁBBI OLVASMÁNYOK ÉS INTERNETES HONLAPOK
- Vitakérdések
- 27. fejezet: Valutaárfolyamok és a nemzetközi pénzügyi rendszer
- A külkereskedelem tendenciái
- A) A nemzetközi fizetési mérleg
- B) A valutaárfolyamok meghatározó tényezői
- C) A nemzetközi pénzügyi rendszer
- Összefoglalás
- Áttekintendő fogalmak
- További olvasmányok és internetes honlapok
- Vitakérdések
- A külkereskedelem tendenciái
- 28. fejezet: A nyitott gazdaság makroökonómiája
- A) Külkereskedelem és a gazdasági tevékenység
- B) Kölcsönös függőség a világgazdaságban
- C) Nemzetközi gazdasági kérdések
- Összefoglalás
- Áttekintendő fogalmak
- További olvasmányok és internetes honlapok
- Vitakérdések
- VII. rész: Munkanélküliség, infláció és gazdaságpolitika
- 29. fejezet: A munkanélküliség és az aggregált kínálat alapjai
- 30. fejezet: Infláció
- 31. fejezet: A makroökonómia határain
- A) Az államadósság gazdasági következményei
- B) Új irányzatok a modern makroökonómiában
- C) A gazdaság stabilizálása
- D) Gazdasági növekedés és az emberi jólét
- Összefoglalás
- Áttekintendő fogalmak
- További olvasmányok és internetes honlapok
- Vitakérdések
- Kislexikon
Kiadó: Akadémiai Kiadó
Online megjelenés éve: 2016
ISBN: 978 963 059 781 4
Paul Samuelson Közgazdaságtana immár több mint hatvan éve alapmű a bevezető közgazdaságtan oktatásában szerte a világon. Első kiadása 1948-ban látott napvilágot, s azóta háromévente jelennek meg frissített és aktualizált újabb kiadásai az Amerikai Egyesült Államokban. A könyvet 17 nyelvre fordították le, így vált minden idők egyik legnagyobb példányszámú, népszerű tudományos munkájává. Samuelson professzor 1985-ben vonta be a munkába William Nordhaust szerzőtársként. Kötetünk a Közgazdaságtan tizenkilencedik kiadásának magyar fordítása. Samuelson professzor e könyv befejezése után 2009. december 13-án hunyt el. A szerzők a vegyes gazdaság előnyeit emelik ki művükben, mert középutas alapállásuk szerint ennek segítségével lehet elkerülni a szélsőséges libertarianizmus és a bürokratikus állami gazdálkodás túlzásait. A vegyes gazdaság ötvözi a piaci verseny ösztönző erejét az állami szabályozással és újraelosztással, s ezáltal a mikro- és makroszintű piaci kudarcokat hivatott korrigálni. Ebben a kiadásban is szerepelnek természetesen a közgazdaságtan időtálló elméleti megállapításai, de mégis itt végezték el a szerzők - saját megítélésük szerint - a legjelentősebb átdolgozást a mű eddigi története során. Erre leginkább a 2007-ben kezdődő pénzügyi válság inspirálta őket, mely utóbb általános gazdasági válsággá terebélyesedett. A korszerűség és az aktuális kérdések vizsgálata mellett a kötet megtartja Samuelson-Nordhaus Közgazdaságtanának immár hagyományossá vált erényeit. Ezek közé tartozik a közérthetőség, amely befogadhatóvá teszi a közgazdaságtan megállapításait a szakirányú tanulmányokat végzők és a szélesebb olvasóközönség számára is. Ki kell emelni továbbá a mű átfogó jellegét, mert ez teszi lehetővé, hogy szinte közgazdasági lexikonként használhassák az érdeklődők. Végül erényei közé sorolható az egyes kérdések lényegre törő és praktikus megközelítése, amely a gyakorlatban is hasznos olvasmánnyá teszi a Közgazdaságtant.
Hivatkozás: https://mersz.hu/samuelson-nordhaus-kozgazdasagtan//
BibTeXEndNoteMendeleyZotero