Marczal Gabriella

Mérgező növények, növényi mérgezések


3.1.2. ALIFÁS SAVLAKTONOK

A növényekben előforduló mérgező hatású lakton-származékok közül a protoanemonin, tulipalinok és a para-szorbinsav a jelentősebbek.
A protoanemonin (4-hidroxi-pentadiénsav-lakton) (1. képlet) a boglárkafélék (Ranunculaceae) családra jellemző. Előfordul a réti boglárkában (Ranunculus acris L.) és a mocsári gólyahírben (Caltha palustris L.). Ezenkívül megtalálható a hunyor (Helleborus) és iszalag (Clematis) fajokban.
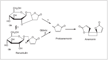
A protoanemonin szúrós szagú, savanyú, bőr- és nyálkahártyaingerlő folyadék, mely a növény sebzésekor, letépésekor enzim hatásra keletkezik elővegyületéből, a ranunkulinból (1. képlet). A vegyület könnyen átalakul hatástalan dimér anemoninná. A szárított növények már nem tartalmazzák. A protoanemonin baktericid és fungicid hatású is. A vegyület fehérjék SH-csoportjaihoz kötődik. A mérgezési tünetek külsőleg bőrpírban, duzzanatban, hólyagképződésben nyilvánulnak meg, szájon át bejutva a torok, garat, hörgők nyálkahártyáját ingerli, köhögtet, nagyobb mennyiségben hánytat, gyomor- és bélgyulladást okoz, vesegyulladás, sőt fehérje-, ill. vérvizelés is előfordulhat. Felszívódva a központi idegrendszer izgalma, majd bénulása következik be, a halál oka légzésbénulás, mely 1-2 napon belül áll be. Halál azonban ritka LD50 → 20 mg/kg per os.
 
1. képlet: Ranunkulin átalakulása protoanemoninná és anemoninná
 
Réti boglárka – Ranunculus acris L. [2. fotó]
A protoanemonint 1,7%-ban tartalmazza. A növény egyéves, nálunk is honos, tenyeresen osztott levelekkel, sárga felálló virágokkal. Elsősorban az állatokra nézve veszélyes, ha frissen legelik le a növényt, de gyermekeknél is leírtak mérgezéseket, mikor a növény egyes részeit kóstolgatták. Az állatok legtöbbje azonban csípős íze miatt elkerüli a növényt.
Elsősegély: a gyomor- és bélgyulladás esetén mucilaginozumokat adnak, továbbá aktív szén szuszpenziót a méreganyag gyomorban történő megkötésére. Egyesek a gyomortartalom hígítására bő vízivást javasolnak, továbbá hashajtókat a méreganyag eltávolítására. Külsőleg permanganátos lemosásokat javasolnak.
 
Mocsári gólyahír – Caltha palustris L.
Évelő gyomnövény, szív, illetve vese alakú, fénylő zöld tőlevelekkel. Virágja aranysárga csészelevelekből áll. Leveleit salátaként, bimbóit kapriként fogyasztják. A virágokat vajfestésre használták.
A növény mérgező anyagai még nem teljesen ismertek. A gyökér triterpén szaponinokat, hederagenin-glikozidokat, triterpén-laktonokat tartalmaz, továbbá egyes aporfin-alkaloidokat, így korituberint (0,001%), továbbá 0,01% magnoflorint és protopint. A friss növény protoanemonin-tartalma csekély, anemonintartalma minimális. A virágokból karotinokat és flavonglikozidokat izoláltak. A protoanemonin-koncentráció nagyon csekély. Az aporfinalkaloidok és a triterpenoid vegyületek sem jönnek toxicitás szempontjából szóba.
Tény viszont, hogy leírtak olyan eseteket, mikor a bimbók és levelek fogyasztása után mérgezési tüneteket észleltek. Hányingert, hányást, szédülést, fejfájást, fájdalmas égető érzést a húgycsőben, véres vizeletet. Az arc felpuffadt és puffadást tapasztaltak az egész testen. Apró hólyagok is megjelentek a bőrön, vörös, viszkető udvarral.
Az állatok, ha lehet elkerülik, de ha lelegelik, a hátsó lábon erős fájdalmak jelentkeztek és gyakori vizelési ingert észleltek.
 

Mérgező növények, növényi mérgezések

Tartalomjegyzék


Kiadó: Semmelweis Kiadó

Online megjelenés éve: 2026

ISBN: 978 963 331 714 3

A közelmúltban felmérés történt Budapest egyes kerületeiben az óvodák és iskolák környékére ültetett növényekről. Megállapítást nyert pl., hogy az egyik óvodakert homokozója környékére ricinust ültettek, melyről köztudott, hogy 1-2 magja is halálos mérgezést okozhat. Ez azt bizonyítja, hogy az óvodai szakemberek egy része sincs tisztában az egyes növények veszélyes voltával. A Semmelweis Egyetem Farmakognózia Intézetét rendszeresen keresik fel személyesen, illetve telefonon növényi mérgezésekkel kapcsolatban. Leggyakrabban aranyeső, seprőzanót, hóbogyó és kutyatejfélék szerepelnek a megkeresések között, hogy csak néhányat említsünk.

A könyv igyekszik tájékoztatást adni a mérgező magasabbrendű növényekről, növényi hatóanyagokról, növényi mérgezésekről, és segít az elsősegélynyújtásban. A könyv felhívja a figyelmet a növényeknek veszélyes voltára. Különösen fontos a figyelemfelkeltés kisgyermekek szülei részére, és mindazoknak, akik kisgyerekekkel foglalkoznak. A gyermekek ugyanis a legfogékonyabbak arra, hogy 1-1 szép virágot letépjenek, vagy megkóstoljanak egy-egy csábitóan szép termést. A könyv ezért minden esetben kitér a legsürgősebb elsősegélynyújtási feladatokra. Az esetlegesen előforduló mérgezéseknél természetesen azonnal hívni kell az orvost is. Egyetlen esetben sem nélkülözhető az orvosi ellátás!

A növények szép külsejükkel díszei lehetnek a kertnek, lakásnak, nem irtani kell azokat, hanem fontos a megismerésük és másokat is (baráti társaság, ismerősök) figyelmeztetni kell a mérgezés lehetőségére.

Az (haszon, házi) állatok is mérgeződhetnek, elhulásuk, lesoványodásuk, betegségük okozója lehet, ráadásul húsuk, tejük fogyasztása másodlagos mérgezéseket okozhat.

A könyv javasolható gyógyszerészeknek, toxikológusoknak, alapellátás orvosainak, állatorvosoknak, mezőgazdaságban, kertészetben dolgozóknak, állatápolóknak, óvodáknak, iskoláknak, növény-gyógynövény kereskedőknek, természetgyógyászoknak, s természetesen mindazoknak, akik érdekeltek e témában.

Hivatkozás: https://mersz.hu/marczal-mergezo-novenyek-novenyi-mergezesek//

BibTeXEndNoteMendeleyZotero

Kivonat
fullscreenclose
printsave