Monos Emil

Hemodinamika

A vérkeringés biomechanikája


5.2. Nyomás által indukált myogen válaszok

Artériás myogen válasz: a véráramlás-autoreguláció intrinsic élettani mechanizmusa
Elsőként, 1902-ben, William M. Bayliss (1860–1924) írta le, hogy az artériafal lokális kontrakcióval válaszol a belső nyomás emelkedésére (Bayliss-jelenség). Ma már egyértelműen elfogadott, hogy ez a nyomás által indukált válasz myogen, és közvetlen kiváltója az érfali simaizomsejtek passzív megnyújtása az ér körfogatának növelése révén. Az orsó alakú, hosszúkás simaizomsejtek, ugyanis, körkörösen helyezkednek el az érfal tunica mediajában. A nyomásindukált kezdeti „passzív” érfali nyújtással együtt jár e sejtek hosszirányú megnyúlása, ami a sejtmembránban, mechanosensitiv aktiváció útján egy Ca2+-csatorna-populáció megnyílását eredményezi. Ez az aktiváció Ca2+-áramlást eredményez az extracellularis térből az intracellularis térbe, ahol a calmodulin regulátor proteinhez kötődve triggereli a myosin könnyűlánc kináz kalciumfüggő aktivációját, ez pedig actomyosin alapú simaizomsejt-kontrakciót eredményez (35. ábra).
 
35. ábra. E tömbvázlat azt a szignalizációs utat mutatja, mely alapját képezheti a nyomásindukált passzív nyújtás vasoconstrictióba történő conversiójának
 
Újabb kísérletes vizsgálatok szerint a Ca2+-szenzitivitás modulációja a sejten belül fontos komponense az erekre jellemző fenntartott myogen válasznak. A szakirodalomban mind világosabban bontakozik ki a szignalizációs kaszkádoknak az a magas komplexitású hálózata, amely szabályozza a simaizomsejt kontrakciós masinériáját.
Az arteriolák és kisartériák esetében a myogen tónusnövekedés az ér átmérőjét helyileg jóval a kiindulási érték alá képes csökkenteni, miközben az intraluminalis nyomás nő, tehát jelentős áramlási ellenállás növekedést eredményez (36. ábra). Ez a jelenség az alapmechanizmusa az intrinsic lokális véráram autoregulációnak. Emellett, újabb bizonyítékok mutatják e nyomásindukált myogen válasz funkcióját, egyben klinikai jelentőségét is, a vese (esetleg más szervek, pl. agy) mikroereinek védelmében gyors artériás vérnyomás emelkedés károsító hatásaival szemben.
 
36. ábra. Macskából izolált mesenterialis arteriola állandósult állapotú kontrakciós válasza növekvő transmuralis nyomásraAz aktív kontrakciót passzív tágulás (nyújtás) előzi meg. Ez az alapmechanizmusa a lokális véráram autoregulációnak (Bayliss-jelenség). Johnson és Greatbach (1966) után.
 
Az a viszonylag régi kérdés, hogy miként képesek a vascularis simaizomsejtek érezni és biológiai jellé átalakítani a mechanikai nyújtást, még nem lezárt. Újabban egy – az extracellularis mátrixot, a cytoskeletont, ioncsatorna proteineket és integrineket magában foglaló – heteromultimer mechanosensoros molekuláris komplexet publikáltak a nyomásindukált érfalmegnyújtás sejtmembrán szintű érzékelőjének modellezésére (37. ábra). A törzsfejlődés folyamán konzerválódott proteinféleségek, a degenerinek (DEG/ENaC és/vagy ASIC) – melyek expressálódnak mind a fonalférgekben (!), mind az emlősök vascularis simaizom-sejtjeiben – képezhetik a Ca-iont vezető pórusokat e mechanotransducer komplexben.
 
37. ábra. A vascularis simaizomsejt nyújtásérzékelőjének lehetséges molekuláris felépítéseDEG/ENaC/ASIC: proteinek, amelyek a simaizom sejtmembrán mechanotransducerének ionátvezető „szívét” alkothatják. Drummond és társai (2008) után.
 
Emellett a TRP (Tranziens Receptor Potenciál) ioncsatorna membránprotein szuperfamíliának néhány olyan, egyéb nyomás és nyújtás által aktiválódó (mechanosensitiv) alcsoportját is sikerült identifikálni, amelyek szintén szerepet játszhatnak a vascularis myogen válasz indításának mechanizmusában (pl. TRPC1,6; TRPM4,7; TRPV2,4; TRPP1,2). (Azt is kimutatták, hogy ezek az isoformok modulálhatók pl. diacilglicerollal és proteinkináz C-vel.)
 
Vénás myogen válasz: a vascularis kapacitás-autoreguláció intrinsic élettani mechanizmusa
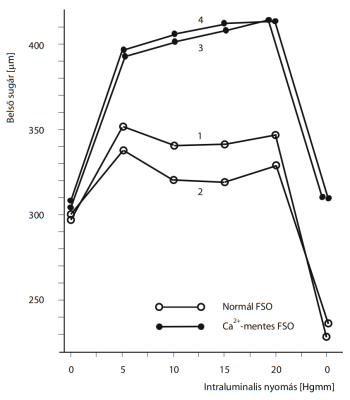
Végtagi vénás ereken végzett biomechanikai és elektro-fiziológiai kísérletes vizsgálatok eredményei mutatják, hogy hasonlóan az artériákhoz, a vénák és venulák is képesek reagálni emelkedő intraluminalis nyomásra jelentős intrinsic aktív tónusnöveléssel mind kísérleti állatokban (Monos és társai 1989, 1995, 2010, 2016) (38. ábra), mind emberben (Bérczi és társai 1992).
 
38. ábra. Kísérleti patkányból izolált vena saphena szegmentum myogen válasza növekvő intraluminalis nyomásra in vitro
FSO: fiziológiás sóoldat. Monos és társai (1989, 1995, 2010) után.
 
Látható az ábrán, hogy az ér sugara, következésképpen luminalis térfogata is (~ r2π, állandó érhossz esetén), kismértékű kezdeti növekedés után, jól megtartott növekvő belső nyomással szemben, ismételhetően, ha Ca2+-ot tartalmaz a szervfürdő fiziológiás oldata (38. ábra: 1 és 2 görbe). Azonban, a sugár nem csökken a kiindulási értéke alá, mint az arteriolák és kisartériák esetében (36. ábra). Nyilvánvaló, hogy ily módon a vascularis kapacitás (térfogat), s nem az áramlási ellenállás autoregulált. Az aktív myogen tónus generálását tükrözi a lényegesen kisebb sugár, miután a nyomás vissza lett állítva a kezdeti 0 Hgmm-es értékére (ez rövid ideig tartó tranziens jelenség). Myogen tónus nem észlelhető, ha Ca2+-ot nem tartalmaz a szervfürdő (38. ábra: 3 és 4 görbe).
E belső nyomás által indukált Ca2+-függő myogen tónusgenerálással együtt jár a simaizom sejtmembrán egyidejű, fenntartott depolarizációja. A tónus nagyságát endothelium eredetű és sympathicus idegi hatások egyaránt befolyásolhatják akut módon. Krónikus (1-2 hetes) orthostaticus jellegű gravitációs terhelés viszont adaptív módon erősíti, a terhelésmentesítés pedig gyengíti az akut nyomásindukált vénás myogen tónust. Figyelemre méltó, hogy humán vena saphena ágak esetében, ahol e myogen válasz kiemelkedően nagy, K+-csatornák ellenregulálják. Ilyen ioncsatornák azonban nem aktiválhatók sem a humán vena brachiocephalicában (ahol fiziológiás körülmények között a vérnyomás alacsony és kiegyensúlyozott a szív autoregulációs tevékenysége révén), sem a kutya vena saphenában. A vénás myogen tónus gyorsan indukálható, és több percen át fennmarad emelkedő nyomással szemben. Mindezek alapján e jelenség úgy tekinthető, mint a vénás kapacitást kontrolláló folyamatok egyik jelentős, intrinsic volumen autoregulációs mechanizmusa. Szerepe lehet e myogen válasznak a szív irányú vénás visszaáramlás támogatásában, s ez által hozzájárulhat az orthostaticus tolerancia fenntartásához is. (Az erek hosszanti nyújtása nem vált ki myogen tónusválaszt!)

Hemodinamika

Tartalomjegyzék


Kiadó: Semmelweis Kiadó

Online megjelenés éve: 2026

ISBN: 978 963 331 719 8

Monos Emil professzor „Hemodinamika – A vérkeringés biomechanikája” című kismonográfiájának 4. kiadására került sor a Semmelweis Kiadó gondozásában. A keringési rendszer működésének fontossága aligha vonható kétségbe. A szív-keringési rendszer élen áll a halálozási statisztikákban. A felnőtt lakosság jelentős hányada, az idősebb korosztály képviselőinek több mint fele áll kezelés alatt keringési betegségek következtében. A keringési rendszernek óriási szerepe van a fizikai terheléshez való alkalmazkodásban is. A működő izmok oxigénellátása, vérellátása alapvetően határozza meg az állóképességi teljesítményt. A terhelés alatt a vér redisztri búciója, a gazdaságos keringés feltétlenül szükséges a magas színvonalú sportteljesítményben, de szintén fontos a szabadidő, rekreációs sportban is, a mozgás szegény életmód káros hatásainak prevenciójában. Monos Emil kismonográfiájában egy hosszú életpálya tudományos tapasztalatai jelennek meg letisztult, egyszerű, közérthető formában. Az érrendszer működését, a véráramlás sajátosságait mindenki számára érthetően világítja meg az élettan, a fizika és a biomechanika törvényeivel. A monográfia tartal maz za a téma klasszikusainak (1960-as, 1970-es évek) észleléseit és a legújabb vizsgálati eredményeket, tartalmazza ermészetesen a jól ismert, klasszikus ábrákat, és vannak benne saját szerkesztésű, didaktikus ábrák is. A mű minden orvos részére kiemelten ajánlatos, de hasznos és fontos információkat nyújt más egészségügyi szakembernek, gyógytornásznak, masszőrnek, fizioterápeutának és sportszakembernek, edzőnek, testnevelőnek egyaránt.

Hivatkozás: https://mersz.hu/monos-hemodinamika-a-verkeringes-biomechanikaja//

BibTeXEndNoteMendeleyZotero

Kivonat
fullscreenclose
printsave