A fizika kultúrtörténete a kezdetektől a huszadik század végéig
4.2.7. A mechanika mint poézis
JOSEPH-LOUIS LAGRANGE (1736–1813) Torinóban született, ott is nevelkedett. 19 éves korában a torinói tüzériskolában a matematika tanára lett. Az általa alapított Torinói Királyi Akadémia kiadványában jelentek meg első jelentős matematikai és fizikai munkái (az izoperimetrikus probléma megoldása, rezgő húrok elmélete, hang terjedése). Euler utódaként (Euler Pétervárra ment) Lagrange húsz évig Berlinben dolgozott. 1787-től Párizsban él. 1795-től az École Normale és az École Polytechnique előadója. Kiváló pedagógusként, személyén és könyvein keresztül hatva, tudós nemzedékek tisztelték szellemi atyjukként. Legnagyobb hatású munkája a Mécanique analytique (1788, Párizs) és a Théorie des functions analytiques (1797). A XX. század fizikája számára is megmaradt a Lagrange-függvény és Lagrange másodfajú egyenleteinek fontossága. |
WILLIAM ROWAN HAMILTON (1805–1865)Dublinban született, ott tanult, majd tanított és kutatott mint az asztronómia professzora és mint „ír királyi asztronómus”. Csodagyerek volt: ötéves korában latin, görög és héber nyelvből fordított, 16 éves korára feldolgozta Newton Principiáját és Laplace Égi mechanikáját. 22 éves korában, egyetemi tanulmányai befejezése előtt kapta meg professzori kinevezését. Életének késői szakára túlzott alkoholfogyasztása vet árnyékot. A XX. század fizikája szempontjából legfontosabb a Theory of Systems of Rays (1827), ill. az On a General Method in Dynamics (1835) című munkája. Hamilton nevét a klasszikus mechanikában a Hamilton-elv és a Hamilton-féle kanonikus egyenletek, valamint a Hamilton-hatásfüggvény őrzik. |
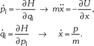
A q1, q2, …, qf; p1, p2, …, pf koordinátatengelyek által kifeszített 2f dimenziójú teret fázistérnek hívják (4.5.11 fejezet). A rendszer állapotát ebben a térben egyetlen pont teljesen meghatározza. A pont megadásával ugyanis megadtuk a kezdeti feltételek teljes rendszerét: a rendszer helyét és a mozgásállapotát jellemző sebességértékeket. Így a pont mozgása, tehát a pálya is adott. Ha az erőhatást jellemző potenciál az időben állandó, akkor a rendszert jellemző pont egy az E = állandó egyenlettel meghatározott 2f–1 dimenziójú „szuperfelületen” mozog. |
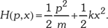
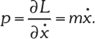
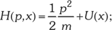
Mindezen kijelentések jól szemléltethetők egy egyszerű, de annál fontosabb rendszernél, a lineáris oszcillátornál; a viszonyok itt számszerűen is követhetők. Mozogjon az m tömegű test súrlódás nélkül az x tengely mentén az F = –kx rugalmas erő hatására. A kinetikus energia (1/2) mv2 = (1/2)p2/m, a potenciális energia (1/2)kx2, így a Hamilton-függvény: A mozgásegyenlet: A rendszer frekvenciája: A fázispont a (p, x) fázissíkban az egyenlet által meghatározott ellipszisen mozog. Ez a későbbiek számára fontos tény: Az ellipszis által körülzárt terület nagysága A kvantumelméletben egy lineáris oszcillátor energiája csak a hn energiakvantum egész számú többszöröse lehet: E = nhn; így vagyis az ellipszis területe kvantált. Ez a gondolatmenet vezetett az egyszerű Bohr-elmélet Bohr– Sommerfeld-féle általánosításához (5.3.5 fejezet). Ha az oszcillátor „disszipatív”, vagyis energiát fogyaszt, akkor a sebességtől lineárisan függő csillapítás esetén exponenciálisan lecsengő mozgást kapunk. Állandó amplitúdójú rezgést ilyenkor csak egy (külső) gerjesztés segítségével kaphatunk. Nem lineáris, disszipatív, külső gerjesztésű rendszereknél meglepő, új jelenségekkel találkozunk: a rendszer végállapota igen érzékeny a kezdeti feltételekre. Ez a végállapot lehet a nulla pont (a rendszer leállása), egy ciklikus pálya vagy a fázistér végtelen távoli pontja. De előállhatnak igen bonyolult, grafikusan pályagörbével nem is ábrázolható mozgási rendszerek: folyamatos görbe helyett sztochasztikusnak ható ponthalmazokat kapunk. Az ilyen rendszerek vizsgálata az utolsó évtizedekben az érdeklődés előterébe került és egy új tudományág, a káoszelmélet született. |
Tartalomjegyzék
- A FIZIKA KULTÚRTÖRTÉNETE a kezdetektől a huszadik század végéig
- Impresszum
- Szerkesztői előszó
- Bevezetés
- Első rész
- Második rész
- Az örökség sáfárai
- 2.1. Ezer év mérlege
- 2.2. Az antik örökség átmentése
- 2.3. Hinduk és arabok
- 2.4. Nyugat magára talál
- 2.4.1. Fibonacci: a számolás művésze
- 2.4.2. Jordanus Nemorarius, a statikus
- 2.4.3. A leíró mozgástan: Nicole d’Oresme és a Merton College
- 2.4.4. A megreformált peripatetikus dinamika
- 2.4.5. Buridan impetuselmélete
- 2.4.6. Fizika az asztronómiában
- 2.4.7. Eredmények
- 2.4.8. Nicole d’Oresme érvei a Föld mozgása mellett
- 2.4.1. Fibonacci: a számolás művésze
- 2.5. Természetfilozófia a középkorban
- 2.6. A reneszánsz és a fizika
- Az örökség sáfárai
- Harmadik rész
- Rombolás és alapozás
- Negyedik rész
- A klasszikus fizika kiteljesedése
- 4.1. A XVIII. század induló tőkéje
- 4.2. Méltó utódok: d’Alembert–Euler–Lagrange
- 4.3. A fény százada
- 4.4. Az effluviumtól az elektromágneses térig
- 4.4.1. Petrus Peregrinus és Gilbert
- 4.4.2. A haladás menetrendje
- 4.4.3. Kvalitatív elektrosztatika
- 4.4.4. A mérő elektrosztatika
- 4.4.5. Az elektromos töltések áramlása
- 4.4.6. Az áram mágneses tere. A természetfilozófia termékenyítő hatása
- 4.4.7. Az áramok kölcsönhatása: a newtoni gondolat kiterjesztése
- 4.4.8. Faraday: a legnagyobb kísérletező
- 4.4.9. Maxwell: az elektromágneses tér
- 4.4.10. Az elektromágneses fényelmélet
- 4.4.11. Lorentz elektronelmélete
- 4.4.1. Petrus Peregrinus és Gilbert
- 4.5. Hő és energia
- 4.5.1. A hőmérő
- 4.5.2. A caloricum mint előremutató elmélet: Joseph Black
- 4.5.3. És mégis mozgás a hő: Rumford
- 4.5.4. Fourier elmélete a hővezetésről
- 4.5.5. A caloricum és állapotegyenlet
- 4.5.6. A Carnot-ciklus
- 4.5.7. A hő kinetikus elmélete: az első lépések
- 4.5.8. Az energiamegmaradás tétele
- 4.5.9. A kinetikus gázelmélet
- 4.5.10. A termodinamika második főtétele
- 4.5.11. Entrópia és valószínűség
- 4.5.1. A hőmérő
- 4.6. Anyagszerkezet és elektromosság: a klasszikus atom
- A klasszikus fizika kiteljesedése
- Ötödik rész
- A XX. század fizikája
- 5.1. „Felhők a XIX. századi fizika egén”
- 5.2. A relativitáselmélet
- 5.2.1. Az előzmények: az abszolút sebesség mérésének meghiúsulása
- 5.2.2. Beillesztési kísérletek
- 5.2.3. A főszereplők: Lorentz, Einstein, Poincaré
- 5.2.4. Távolság- és időmérés
- 5.2.5. A tömeg–energia-ekvivalencia
- 5.2.6. Az anyag mint a tér geometriájának meghatározója
- 5.2.7. Einstein a téridőről
- 5.2.8. Newton, Einstein és a gravitáció
- 5.2.1. Az előzmények: az abszolút sebesség mérésének meghiúsulása
- 5.3. A kvantumelmélet
- 5.3.1. A feketesugárzás a klasszikus fizikában
- 5.3.2. Planck: a megoldáshoz az entrópián keresztül vezet az út
- 5.3.3. Az energiakvantum megjelenik
- 5.3.4. Einstein: a fény is kvantált
- 5.3.5. Bohr: az atom „klasszikus” kvantumelmélete
- 5.3.6. A sugárzási formula statisztikus levezetése: előjáték a kvantumelektronikához
- 5.3.7. A mátrixmechanika: Heisenberg
- 5.3.8. Einstein és Heisenberg
- 5.3.9. A hullámmechanika: Schrödinger
- 5.3.10. Heisenberg: a koppenhágai értelmezés
- 5.3.11. Operátorok. Kvantum-elektrodinamika
- 5.3.12. A kauzalitás problémája
- 5.3.13. Neumann János a kauzalitásról és a rejtett paraméterekről
- 5.3.14. Munkaeszköz és filozófia
- 5.3.15. Mi maradt a klasszikus fizikából?
- 5.3.1. A feketesugárzás a klasszikus fizikában
- 5.4. Magszerkezet. Magenergia
- 5.4.1. Visszatekintés az első három évtizedre
- 5.4.2. Az atommagra vonatkozó ismeretek főbb állomásai
- 5.4.3. Miért fluoreszkál az uránsó: Becquerel
- 5.4.4. A hősi kor főszereplői: a Curie házaspár és Rutherford
- 5.4.5. A Rutherford–Bohr-modell kialakul
- 5.4.6. Az első mesterséges magátalakítás
- 5.4.7. A kvantummechanika a magjelenségekre is alkalmazható
- 5.4.8. Rutherford sejtése, Chadwick mérése: a neutron
- 5.4.9. A mag felépítése: magmodellek
- 5.4.10. A maghasadás: kísérleti evidencia, elméleti kétely
- 5.4.11. A láncreakció: az atomenergia nagybani felszabadítása valósággá válik
- 5.4.12. Fúziós energiatermelés: a csillagok fűtőanyaga az ember kezében
- 5.4.13. A fizikus felelőssége
- 5.4.1. Visszatekintés az első három évtizedre
- 5.5. Törvény és szimmetria
- 5.5.1. A történész szerepe a ma fizikájának leírásában
- 5.5.2. Az elemi részek megjelenési sorrendje
- 5.5.3. Néhány szó a kozmikus sugárzásról
- 5.5.4. Gyorsítók. Detektorok
- 5.5.5. Az alapvető kölcsönhatások
- 5.5.6. Megmaradási törvények
- 5.5.7. Szimmetria–invariancia–megmaradás
- 5.5.8. Jobb–bal szimmetria?
- 5.5.9. „A kis aszimmetria növeli az esztétikumot”
- 5.5.10. Vissza az apeironhoz?
- 5.5.11. Energia az elemi részek segítségével?
- 5.5.12. A harmadik évezred küszöbén
- 5.5.1. A történész szerepe a ma fizikájának leírásában
- 5.6. Az ember és a kozmosz
- 5.7. Összegzés és kitekintés
- A XX. század fizikája
- Mellékletek
- I. SZÍNES TÁBLA
- II. SZÍNES TÁBLA
- III. SZÍNES TÁBLA
- IV. SZÍNES TÁBLA
- V. SZÍNES TÁBLA
- VI. SZÍNES TÁBLA
- VII. SZÍNES TÁBLA
- VIII. SZÍNES TÁBLA
- IX. SZÍNES TÁBLA
- X. SZÍNES TÁBLA
- XI. SZÍNES TÁBLA
- XII. SZÍNES TÁBLA
- XIII. SZÍNES TÁBLA
- XIV. SZÍNES TÁBLA
- XV. SZÍNES TÁBLA
- XVI. SZÍNES TÁBLA
- XVII. SZÍNES TÁBLA
- XVIII. SZÍNES TÁBLA
- XIX. SZÍNES TÁBLA
- XX. SZÍNES TÁBLA
- XXI. SZÍNES TÁBLA
- XXII. SZÍNES TÁBLA
- XXIII. SZÍNES TÁBLA
- XXIV. SZÍNES TÁBLA
- XXV. SZÍNES TÁBLA
- XXVI. SZÍNES TÁBLA
- XXVII. SZÍNES TÁBLA
- XXVIII. SZÍNES TÁBLA
- XXIX. SZÍNES TÁBLA
- XXX. SZÍNES TÁBLA
- XXXI. SZÍNES TÁBLA
- XXXII. SZÍNES TÁBLA
- I. SZÍNES TÁBLA
- Irodalom
- Az elemek periódusos rendszere
- Az elemek és részecskék neveinek eredete – És a fizika alapállandói
Kiadó: Akadémiai Kiadó
Online megjelenés éve: 2020
ISBN: 978 963 454 490 6
A magyar természettudományos könyvkiadás talán legjelentősebb műve most először jelenik meg a legendás szerző által megalkotott teljességében. A 2001-ben elhunyt Simonyi Károly legutoljára egy német kiadás számára dolgozott könyvén, s az ekkor keletkezett szakaszok, amelyek a XX. század utolsó évtizedét is átfogják, csak most jutnak el a hazai olvasókhoz.
A fizika kultúrtörténete az emberi gondolkodással egyidős tudományág fejlődését mutatja be a kezdetektől napjainkig. Az izgalmas történetet a fontos mérföldköveket jelentő kísérletek, elméletek és bizonyítások könnyen érthető leírásán túl a fizikával sokszor szorosan összefonódva kibontakozó egyetemes bölcselet és művészet alkotásaiból választott szemelvények illusztrálják.
A könyv tanúsága szerint egy-egy jelentős természettudományos felismerés ugyanakkora teljesítmény és a civilizáció ugyanolyan ünnepe, mint a kultúra vagy művészet bármely közismert, nevezetes alkotása. Mindkettő egy tőről, az emberi zsenialitásból fakad. A mű népszerűségét éppen az adja, hogy befogadásához nem kell túlzottan sok fizikai ismeret, így mindenki, aki a kultúra értékei iránt fogékony, értékes olvasmányként forgathatja.
Hivatkozás: https://mersz.hu/simonyi-a-fizika-kulturtortenete//
BibTeXEndNoteMendeleyZotero


































![Komplex hullámfüggvény matematikai képlete Matematikai képlet komplex hullámfüggvény leírására, φ(x, y, z, t) = A e^{j[-2πνt + S(x, y, z)]}](/object/komplex_hullamfuggveny_keplet.png/)


![Matematikai egyenlet derivált és parciális derivált kapcsolatával Matematikai egyenlet: dF/dt = ∂F/∂t + [H,F], derivált és parciális derivált kapcsolat.](/object/matematikai_egyenlet_derivalt_parciális_kommutator.png/)