Darvas Zsuzsa, László Valéria

Sejtbiológia


A kompartmentek közötti kapcsolat, a sejten belüli transzport

Az egyes kompartmentek, sejtorganellumok egyediségét a bennük lévő specifikus fehérjék és lipidek biztosítják, ugyanakkor ezeket a molekulákat nem minden sejtalkotó tudja elkészíteni. A fehérjék a citoplazmában szabadon lévő, illetve membránhoz kötött riboszómák felszínén, a foszfolipidek pedig az endoplazmás hálózaton szintetizálódnak. Éppen ezért, manapság igen sokat foglalkoznak azzal a kérdéssel, hogy az újonnan szintetizált fehérjék és lipidek hogyan jutnak el a végső helyükre, másképpen megfogalmazva, milyen módon állnak egymással kapcsolatban a különböző kompartmentek.
Az egyes sejtorganellumok közötti fehérje transzport alapvetően három különböző módon történhet:
A citoszol, ami a citoplazma sejtalkotókon kívüli állománya, és a sejtmag gyakorlatilag egy teret alkot, köztük a magpórusok kaput képeznek, bár ezek a kapuk nem járhatók át teljesen szabadon. A sejtmag és a citoplazma közötti szállítást kapu transzportnak nevezik. A membránokon keresztüli transzporthoz ugyanakkor egy transzlokátorra, speciális protein áthelyezőre van szükség, tehát egy olyan komponensre, amely a membrán egyik oldaláról a másikra áthelyezi a fehérjét. Ilyen transzlokátort találunk, pl. az endoplazmás retikulum, a mitokondrium és a peroxiszóma membránjában. A membránokkal borított organellumok között vezikuláris transzport (membráncsomagokban való szállítás) is lehetséges. Az egyik organellumról leváló vezikulumok (hólyagok), a felszínükön lévő jelzések segítségével juttatják el tartalmukat a másik organellumba. A vezikulumok membránja fúzionál a cél organellum membránjával, és így a tartalma annak belsejébe kerül. Ilyen kapcsolat van, pl. az endoplazmás retikulum és a Golgi között. Mind a sejtmag pórusain keresztüli, mind a protein transzlokátorokkal, mind pedig a vezikulumok segítségével történő transzport szelektivitását a szállított fehérjéken lévő jel (szignál) határozza meg a következő módon. Néhány mitokondriális proteinen kívül, amelyek a mitokondrium belsejében szintetizálódnak, minden fehérje szintézise a citoszolban, a szabad riboszómák felszínén kezdődik el. A citoszolban maradók nem, de az összes többi tartalmaz valamilyen jelzést, ami meghatározza a sejten belüli helyét. Ez a jelzés alapvetően kétféle lehet. Az egyik, 15–60 aminosavból áll és a fehérjelánc elején található. Ez a szignál szekvencia, és ha nem is minden esetben, de többnyire levágódik a kész fehérjéről. A másik viszont, a térszerkezetét már felvevő fehérjén érzékelhető csak, mivel több, általában nem egymás mellett lévő szekvencia részek alakítják ki. Ezt szignál foltnak nevezik.
 
I.1. ábra. Eukarióta állati sejt sémás képe a sejtalkotókkal és egyéb sejtkomponensekkel
 
A kompartmentek közötti kapcsolattartó mechanizmusok, transzportok – amelyek részleteiről a sejtalkotók tárgyalásánál még lesz szó – nagyon fontosak, mert lehetővé teszik, hogy a kompartmentalizáció ellenére a sejt egységes rendszerként tudjon működni.
Az I.1. ábra egy eukarióta, állati sejt legjellemzőbb sejtalkotóit és egyéb fő komponenseit mutatja be, amelyekkel a jegyzet további fejezeteiben részletesebben is megismerkedünk.
A következő néhány oldalon a legfontosabb biológiai makromolekulák építőelemeit (monomerjeit) mutatjuk be tájékoztatás céljából.
 
AMINOSAVAK (három-, illetve egybetűs jelek)
 
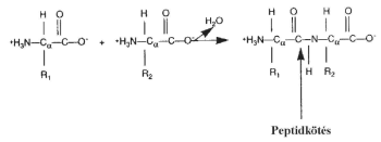
A PEPTIDKÖTÉS KIALAKULÁSA
 
A DNS NUKLEOTIDJAI
DNS POLINUKLEOTID LÁNC RÉSZLETE
 
H-HIDAK A DNS BÁZISAI KÖZÖTT
 
AZ RNS NUKLEOTIDJAI
 
A LEGFONTOSABB MONOSZACHARIDOK
 
A LEGFONTOSABB FOSZFOLPIDEK
 
NÉHÁNY FONTOS MEMBRÁN LIPID
 

Sejtbiológia

Tartalomjegyzék


Kiadó: Semmelweis Kiadó

Online megjelenés éve: 2026

ISBN: 978 963 331 704 4

Reméljük, hogy a hallgatóknak nemcsak egy olyan jegyzetet készítettünk, amelyet meg kell tanulniuk, de sikerült belevinnünk azt az érzést is, amely a jegyzet megírásakor és átírásakor eltöltött minket. Ez az érzés a csodálat. Milyen csodálatos kis egység a sejt, milyen tökéletesen és logikusan szervezett! Mi sem, és így a hallgató sem menekülhet meg a molekuláris szemlélettől, amely manapság a biológia és az orvostudomány minden területén uralkodóvá vált. Igyekeztünk csak annyi molekulát és molekuláris mechanizmust megemlíteni, amelyet feltétlenül szükségesnek tartottunk a sejtben zajló folyamatok megismeréséhez és megértéséhez. Kívánjuk, hogy a leírtak segítsék a hallgatókat más tárgyak anyagának megértésében és elsajátításában is. A jegyzet immáron negyedik, javított kiadását tartják a kezükben és persze ez is több, mint az előző. Mentségünkre legyen mondva a többlet nemcsak több szöveget, de több képanyagot és ábrát is jelent. Reméljük ez segít jobban megérteni a sejtekben zajló, néha bizony komplikált eseményeket. (a szerzők)

Hivatkozás: https://mersz.hu/darvas-laszlo-sejtbiologia//

BibTeXEndNoteMendeleyZotero

Kivonat
fullscreenclose
printsave