Mandl József (szerk.)

Biokémia

Aminosavak, peptidek, szénhidrátok, lipidek, nukleotidok, nukleinsavak, vitaminok és koenzimek


5.4.2. B2 -vitamin (Riboflavin), FMN, FAD

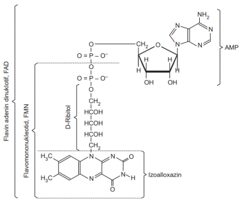
A vízoldékony B2-vitamin vagyis a riboflavin a flavin-adenin-mononukleotidnak (FMN) és a flavin-adenin-dinukleotidnak (FAD) az előanyaga. A riboflavin elnevezés arra utal, hogy ez a vegyület flavint és ribitolt tartalmaz. A különböző flavovegyületek alapja egy izoalloxazin gyűrű, amelyhez egy öt szénatomos cukoralkohol, a ribitol kapcsolódik (5.4. ábra). A ribitol azonban nem aldopentóz, így az izoalloxazin gyűrűhöz nem glikozidos kötéssel kapcsodik, tehát az FMN és a FAD koenzimek elnevezése valójában helytelen, de konvencionálisan mégis ezt az elnevezést használjuk.
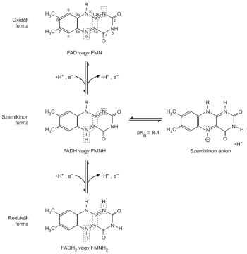
Az 5.5. ábrán az izoalloxazin gyűrű redox állapotai láthatók. Szemben a nikotinsavamid gyűrűvel az izoalloxazin gyűrű egy vagy két hidrogénatomot képes felvenni, illetve leadni. A felvétel és a leadás két lépésben történhet, ez megteremti az egy elektron átvitelének lehetőségét. Egy hidrogén atom felvétellel az izoalloxin-gyűrű szemikinon formája alakul ki, amely egy újabb hidrogén felvételével tovább redukálódik. A koenzim oxidált formájának a színe sárga, a redukálté színtelen, a szemikinon fomáé pedig kék vagy piros.
 
 
 
A flavin koenzimek szorosan (kovalens kötéssel) kötődnek az enzim fehérjékhez, tehát prosztetikus csoportok, a disszociációs konstansuk 10-8 és 10-11 M között van. Ennek köszönhetően a sejtben a szabad flavokoenzim koncentráció elenyésző.
  • Flavoproteinek az alábbi reakciótípusokat katalizálják:
  • Dehidrogenálás (pl. szukcinát dehidrogenáz, acil-KoA dehidrogenáz)
  • Oxidatív dezaminálás (pl. L-aminosav oxidázok)
  • Aldehid savvá oxidálása (pl. xantin oxidáz)
  • Transzhidrogenálás (pl. dihidrolipoil dehidrogenáz)
 
Általában elmondhatjuk, hogy a FAD prosztetikus csoporttal rendelkező dehidrogenázok katalizálta reakció folyamán a kettős kötés szén-szén között alakul ki, míg a NAD koenzimmel működő dehidrogenázok esetén szén-oxigén közötti kettős kötés jön létre. A FAD prosztetikus csoporttal rendelkező dehidrogenázok a mitokondriális elektron transzportlánchoz csatlakoznak (pl. szukcinát dehidrogenáz, acil-KoA dehidrogenáz). A FAD illetve FMN prosztetikus csoporttal működő oxidázok közvetlenül a molekuláris oxigénhez továbbítják a hidrogéneket (pl. xantin-oxidáz, aminosav-oxidázok).
A riboflavin (B2-vitamin) napi szükséglete: csecsemőknek 0,4-0,6 mg, gyermekeknek 0,8–1,4 mg, felnőtteknek 1,2–1,7 mg. Előfordulása: tej, hús, máj, tej, tojás, gabona félék, bélflóra baktériumai is termelik Hiánytünetek: bőr, szemlencse elváltozások, dermatitis (bőrgyulladás).

Biokémia

Tartalomjegyzék


Kiadó: Semmelweis Kiadó

Online megjelenés éve: 2026

ISBN: 978 963 331 712 9

Hivatkozás: https://mersz.hu/mandl-biokemia//

BibTeXEndNoteMendeleyZotero

Kivonat
fullscreenclose
printsave