Mandl József (szerk.)

Biokémia

Aminosavak, peptidek, szénhidrátok, lipidek, nukleotidok, nukleinsavak, vitaminok és koenzimek


5.4.4. B6-vitamin (piridoxin), piridoxál foszfát

A B6-vitamin (piridoxin) a szervezetben aktív formává a piridoxál-5-foszfáttá (PLP) alakul, amely koenzim fiziológiás viszonyok között két formában fordul elő (5.7. ábra).
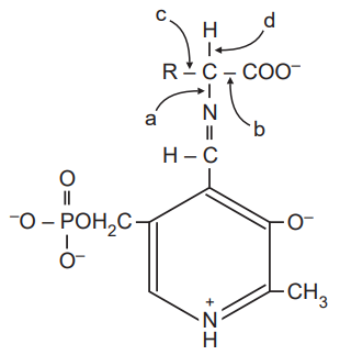
A PLP számos enzimreakcióban szerepel mint prosztetikus csoport. Az aminosavak katabolizmusában koenzime a transzaminázoknak, az a és b dekarboxilázoknak, résztvesz a β és γ eliminációban és racemizációban valamint aldol reakcióban (5.8. ábra).
 
5.7. ábra. A piridoxin, piridoxál, piridoxamin és a piridoxálfoszfát képletei
 
5.8. ábra. A piridoxálfoszfát (PLF) koenzim szerepe a különbözõ reakciókban
 
Az, hogy ez a koenzim ilyen sokféle reakcióban szerepel, arra a sajátságára vezethető vissza, hogy a piridoxál foszfát aldehid csoportja stabil Schiff bázist képez az aminosavak α-amino csoportjával. A piridoxál foszfát protonált formája elektron szívó hatásával stabilizálni képes a negatív töltésű reakció intermediereket. Minden PLP prosztetikus csoporttal működő enzimre igaz, hogy szubsztrát hiányában a PLP Schiff bázist képez az enzim egyik lizil oldalláncának ε-amino csoportjával. A PLP szubsztráthoz kapcsolódása tehát egy transzaldiminizációs reakció. Szintén közös vonás mindegyik PLP koenzimmel működő enzimreakcióban, hogy a PLP-vel való kapcsolódás befolyásolja a szubsztrát α-szénatomjának elektronkon-figurációját, amely lehetővé teszi, hogy a β-szénatom szubsztituensei megváltozzanak.
A legrészletesebben a transzaminálási folyamatban tanulmányozták a PLP szerepét. Ebben a reakcióban a koenzim oszcillál a keto és az aminforma között. A reakció kezdetén az aminosav reagál a keto formájú piridoxál foszfáttal, kialakul a Schiff bázis intermedier, ez az u.n. aldimin forma. Az aminosavból elektronpár mozdul el a pozitív töltésű piridingyűrű felé, majd tautomerizáció útján a kettős kötés áthelyeződik az aminosav a szénatomja és a nitrogén közé (ketimin forma), víz belépéssel a kettős kötés felhasad. Az enzimről az alfaketosav távozik, az amino csoport a koenzimen marad piridoxamin (amin forma) alakban. Majd a koenzim reagál egy „idegen” ketosavval. A ketosav-aminosav átalakulás az első reakciórész megfordítottja. A reakció második szakaszában azonban az elektronok a piridoxaminból az akceptor ketosav felé vándorolnak. Így a koenzim nemcsak aminocsoport hordozó, hanem elektronhordozó is, oxidálja a donor aminosav alfa szénatomját és redukálja az akceptor ketosavét.
A B6 vitamin (piridoxin) napi adagja: csecsemőknek és gyermekeknek 0,3–1,6 mg, felnőtteknek 1,8–2,2 mg. Előfordulása: élesztő, buza, kukorica, máj. Hiánya: fokozott ingerlékenységet és görcskészség fokozodását okozza.

Biokémia

Tartalomjegyzék


Kiadó: Semmelweis Kiadó

Online megjelenés éve: 2026

ISBN: 978 963 331 712 9

Hivatkozás: https://mersz.hu/mandl-biokemia//

BibTeXEndNoteMendeleyZotero

Kivonat
fullscreenclose
printsave