Biokémia
Aminosavak, peptidek, szénhidrátok, lipidek, nukleotidok, nukleinsavak, vitaminok és koenzimek
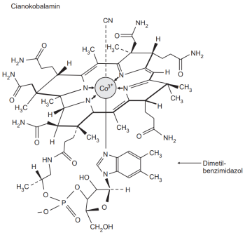
5.4.6. B12-vitamin (kobalamin)
Tartalomjegyzék
- BIOKÉMIA
- Impresszum
- Előszó
- 1. AMINOSAVAK, PEPTIDEK
- Az aminosavak és peptidek biológiai jelentősége
- 1.1. Aminosavak
- 1.2. Peptidek. A peptidek szerkezeti felépítésének alapelvei
- 1.2.1. A peptidek fogalma
- 1.2.2. A peptidkötés legfontosabb tulajdonságai
- 1.2.3. A peptidek fizikai-kémiai tulajdonságai
- 1.2.4. A peptidek elsődleges szerkezete és annak meghatározása
- 1.2.5. A peptidek kémiai szintézise
- 1.2.6. Biológiai szempontból fontosabb peptidek
- 1.2.7. Egyéb, biológiailag jelentős peptidek
- 1.2.8. A peptidek és fehérjék térszerkezetének néhány érdekessége
- 1.2.9. A fehérjeszerkezet néhány törvényszerűsége
- 1.2.10. A térszerkezet kialakulásának termodinamikai viszonyai
- 1.2.11. A peptidek és fehérjék szerkezetének kialakulása in vitro
- 1.2.12. Az in vitro és in vivo fehérjeszerkezet kialakulás különbségei
- 1.2.1. A peptidek fogalma
- Az aminosavak és peptidek biológiai jelentősége
- 2. SZÉNHIDRÁTOK
- 3. LIPIDEK
- 3.1. Általános tulajdonságok
- 3.2. Zsírsavak
- 3.3. Zsírok és olajok
- 3.4. Foszfatidsavszármazékok
- 3.5. Plazmánsav és plazménsav származékok
- 3.6. Szfingolipidek
- 3.7. A biológiai membránok, a foszfo- és glikolipidek előfordulása
- 3.8. Viaszok
- 3.9. Szterinek
- 3.10. Terpének és terpénszármazékok
- 3.11. Epesavak
- 3.12. Szteroid hormonok
- 3.13. Eikozanoidok
- 3.1. Általános tulajdonságok
- 4. NUKLEOTIDOK – NUKLEINSAVAK
- 5. VITAMINOK ÉS KOENZIMEK
- 5.1. Vitaminok fogalma
- 5.2. Koenzimek fogalma
- 5.3. Koenzimeket igénylő reakciótípusok
- 5.4. Vízoldékony vitaminok és koenzimek
- 5.4.1. Niacin vitamin, NAD+ és NADP+ koenzimek
- 5.4.2. B2 -vitamin (Riboflavin), FMN, FAD
- 5.4.3. C-vitamin, aszkorbinsav
- 5.4.4. B6-vitamin (piridoxin), piridoxál foszfát
- 5.4.5. Folsav vitamin – tetrahidrofolsav
- 5.4.6. B12-vitamin (kobalamin)
- 5.4.7. H-vitamin (biotin)
- 5.4.8. B1-vitamin (tiamin) -tiamin pirofoszfát
- 5.4.9. B3 -vitamin (pantoténsav), Koenzim A
- 5.4.1. Niacin vitamin, NAD+ és NADP+ koenzimek
- 5.5. Nem vitamin jellegű koenzimek
- 5.6. Zsíroldékony vitaminok
- 5.1. Vitaminok fogalma
Kiadó: Semmelweis Kiadó
Online megjelenés éve: 2026
ISBN: 978 963 331 712 9
Hivatkozás: https://mersz.hu/mandl-biokemia//
BibTeXEndNoteMendeleyZotero