Mandl József (szerk.)

Biokémia

Aminosavak, peptidek, szénhidrátok, lipidek, nukleotidok, nukleinsavak, vitaminok és koenzimek


1.2.4. A peptidek elsődleges szerkezete és annak meghatározása

A peptidek és fehérjék elsődleges szerkezetén azok aminosav-sorrendjét (szekvenciáját) értjük. Az elsődleges szerkezet különleges fontosságú, mert tulajdonképpen minden információt tartalmaz, amely a peptid vagy fehérje natív térszerkezetének kialakulásához szükséges. Ezért különösen fontos a primer szerkezet meghatározása, amelynek eredményei alapján sokszor a fehérje evolúciós fejlődésére is következtetni lehet. A primer szerkezet tervszerű megváltoztatása pedig lehetővé teszi fiziológiailag aktív peptidek hatásmechanizmusának vizsgálatát, valamint az eredetinél hatékonyabb peptidek tervezését az aminosav-szekvencia előre megtervezett módosításával.
 
A peptidek szerkezetvizsgálata a peptid izolálásával és tisztításával indul. Ezután meg kell határozni az aminosav-összetételt (l. 1.1.5. pont), továbbá a peptid molekulatömegét. A fehérjék esetében analitikai ultracentrifugálással vagy SDS-gélelektroforézissel lehet ezt elvégezni, a kisebb méretű peptideknél ezek a metodikák nem elég pontosak, ezért itt tömegspektrométerrel határozzák meg a pontos molekulatömeget. Ennek ismeretében az aminosav-összetétel teljesen biztosan meghatározható (az analízis ugyanis közvetlenül csak az aminosavak egymáshoz viszonyított arányát adja meg).
Az izolált peptidekben a diszulfidhidakat a primer szerkezet vizsgálata előtt célszerű eltüntetni. Ezt erélyes oxidációval lehet elérni (perhangyasavval, HCOOOH), amelynek eredményeképpen cisztein-szulfonsav (ciszteinsav, 1.10. ábra) keletkezik belőlük. Ha a peptid nagyobb, célszerű kisebb darabokra hasítani, ez részben kémiai részben specifikus enzimatikus hasítási módszerekkel történhet. Utóbbiaknál azt használjuk ki, hogy az endopeptidázok többé-kevésbé specifikusan képesek adott aminosavak mellett hasítani (tripszin a Lys és Arg oldalláncok karboxil-oldalán, kimotripszin az aromás aminosavak karboxil-oldalán), ilyenkor általában a keletkezett peptidek C-terminális aminosava ismert. Nagyobb peptideknél, fehérjéknél a végső szekvencia összerakása érdekében legalább két, de inkább több különböző helyen hasító módszert kell kombinálni, mert a végső sorrend csak az így kapott mozaikok összerakásával állapítható meg. A kémiai hasítások közül leggyakrabban a brómciános módszert használják, amely metionin mellett hasít, ezzel ugyanis nagyobb darabok kaphatók, mivel a fehérjékben a metionin aránylag ritkábban fordul elő. Számos esetben a peptidek, fehérjék N és C-terminális aminosavának meghatározása elegendő. Erre a célra több módszer ismeretes. Az N-terminális aminosav dinitrofluorbenzollal meghatározható (l. 1.6. ábra), ennél érzékenyebb a danzilkloridos módszer. Az 1-dimetilamino-naftalin-5-szulfonil-klorid a fehérjék, peptidek N-terminális aminocsoportjával az alábbi ábra szerint reagál és a danzilált végcsoport savas hidrolízissel lehasítható, kromatográfiásan elválasztható, azonosítható és ultraibolya fényben fluoreszkáló sajátsága alapján érzékenyen detektálható (1.20. ábra).
A C-terminális aminosav legegyszerűbben hidrazinolízissel hatrározható meg. A hidrazin (H2N-NH2) lebontja a peptidet és a peptidkötésben levő aminosavakkal hidrazidokat ad. Csak a C-terminális aminosav szabad karboxilja nem képez hidrazidot, ennek alapján azonosítható.
Mindkét terminálist meg lehet határozni exopeptidáz enzimekkel is. Ezek az N-terminális (aminopeptidázok) vagy a C-terminális (karboxipeptidázok) felől sorban hasítják le az aminosavakat, ezért a hidrolizátumban legelőször megjelenő aminosav a terminális helyzetű. Néhány tagú peptidek esetén akár a szekvenciát is meg lehet így határozni a lehasadási sorrend alapján. Hosszabb peptideknél az aminoacil-kötések eltérő hasítási sebessége miatt a sorrend már összekeveredhet.
 
1.20. ábra. A danzilkloridos végcsoport-meghatározás reakciója A danzilált N-terminális aminosav savas hidrolízissel lehasítható és azonosítható.
 
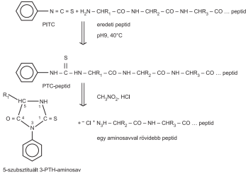
A kisebb peptid-darabok aminosav-sorrendjét Edman-módszerrel határozzák meg. Az Edman-módszer előnye, hogy a szekvenálás automatizálható, mert az N-terminális felől az aminosavak sorban alakíthatók át származékká, a műveletek sorrendje és ideje programozható. Az erre a célra szerkesztett szekvenátorok ma már rutinszerűen végzik el a peptidek aminosav-sorrend analízisét.
Az Edman-reakció során fenil-izotiocianátot használunk (PITC, 1.21. ábra), amely az N-terminális aminocsoportokkal reagál és így feniltiokarbamoil (PTC)-peptidek keletkeznek. Ezekről az N-terminális feniltiohidantoin (PTH)-aminosav megfelelő kezeléssel könnyen lehasítható és a második aminosav szabad aminocsoportja készen áll az újabb reakcióra. Így az N-terminális vég felől az aminosavak PTH-származékai sorban lehasadnak és kromatográfiás módszerrel azonosíthatók, a peptid szekvenciája meghatározható. Problémát jelent, hogy a feniltiohidantoin-származék nem szeparálható kvantitatíve, ezért az Edman-módszert gyakran a danzilezéssel kombinálják. Ez azt jelenti, hogy a peptid egy aliquotjából danzil-módszerrel meghatározzák az N-terminálist, a másik aliquotból pedig Edman-lebontást végeznek és ott a maradék peptidnek az N-terminálisát határozzák meg danzil-módszerrel. Így, ha mindig meghatározzuk a maradék peptid N-terminálisát az Edman-lebontás lépései után, a teljes szekvencia meghatározható.
Egy másik lehetőség, hogy az egyik aliquotból mindig aminosav-analízist végeznek, a másikkal pedig Edman-lebontást, így a lebontási lépések után mindig egy aminosav hiányzik az előző lépéshez képest, ennek alapján a sorrend is meghatározható.
 
A szekvencia meghatározásának legkorszerűbb módszere a nukleinsav-sorrendből visszafelé történő meghatározás. Mivel ma már a nukleinsavak sorrendjének meghatározása nem jelent különösebb technikai problémát, a fehérje szekvenciájáért felelős messenger RNS-nek megfelelő DNS szakaszt kell szekvenálni és a nukleotid-sorrendből a genetikai kód segítségével a fehérje aminosav-sorrendje könnyen meghatározható. Ez a közvetett módszer sokszor megkönnyíti a fehérjék szekvencia-meghatározását, mert technikailag kevesebb problémával jár és a nehezen izolálható, instabil, rosszul oldódó fehérjék esetén is alkalmazható, ahol a direkt aminosav-szekvenálás nem sikeres.
 
1.21. ábra. Az Edman-lebontás menete PITC = fenilizotiocianát, PTC = feniltio-karbamoil-csoport, PTH = feniltiohidantoil-csoport.

Biokémia

Tartalomjegyzék


Kiadó: Semmelweis Kiadó

Online megjelenés éve: 2026

ISBN: 978 963 331 712 9

Hivatkozás: https://mersz.hu/mandl-biokemia//

BibTeXEndNoteMendeleyZotero

Kivonat
fullscreenclose
printsave