Mandl József (szerk.)

Biokémia

Aminosavak, peptidek, szénhidrátok, lipidek, nukleotidok, nukleinsavak, vitaminok és koenzimek


2.5. A mutarotáció, a monoszacharidok szerkezete vizes oldatban

A mutarotációt a D-glukóz esetében már régebben észlelték (Dobrunfaut, 1845, Tollens 1870). A kétféle glukóz anomer optikai forgatóképessége eltérő, az egyik anomer, az [α] =+112,2 o -t, a másik [α] = 18,7o-ot forgat. Ha a két anomert külön-külön vízben feloldjuk, akkor mindkét oldat forgatóképessége az időben változik mindaddig, amíg a rendszer egy egyensúlyi állapotot el nem ér. Az egyensúlyi elegyben mért forgatóképesség [α] = 52,7o volt (a forgatóképességet azonos körülmények között mérték, a Na D-vonalának hullámhosszára és 20 °C hőmérsékletre adták meg). A jelenséget azzal magyarázhatjuk, hogy a mutarotáció során az egyik anomer a másik anomerbe átalakuhat.
 
A szőlőcukor vizes oldata valójában egy egyensúlyi elegy. Az oldószer (víz) molekulákon kívül az oldatban elvileg háromféle szerkezetű szőlőcukor molekula, az α-D glukóz, a β-D-glukóz és a nyíltláncú glukóz van. A valóságban a nyílt láncú formából elenyészően kevés, szinte csak nyomnyi mennyiségű van az elegyben, amely a két gyűrűs forma átalakulása közben átmenetileg képződik.
A szőlőcukor vizes oldata az egyensúly beállása után két izomert, a β-D-glukózt (63%-ban ) és az α-D-glukózt (37%-ban) tartalmazza (természetesen függetlenül attól, hogy melyik kristályos izomért oldottuk fel eredetileg). Kristályos állapotban minden pentóz és hexóz gyűrűs szerkezetű.
A mutarotáció jelenségét természetesen nemcsak egy aldohexóz, pl. a szőlőcukor oldata mutatja. Az pentózok és hexózok (ezen belül mind az aldózok mind a ketózok) képesek az intaramolekuláris félacetál/félketál képzésre, azaz a gyűrű zárására. Így a legismertebb ketohexóznak, a fruktóznak gyűrűs formában szintén kétféle anomerje létezik.
Az előző félévben tanultuk, hogy az oxo vegyületek (pl. az aldehidek) nukleofil addíciós reakciókban acetálokat képeznek:
 
Az aldopentózok, vagy a hexózok oxo csoportja a molekula egy alkoholos hidroxil csoportjával (intramolekuláris) reagálva félacetállá alakulhat át. Ebben a reakcióban az intramolekuláris (gyűrűs) félacetál képződik, a 4., vagy az 5. szénatomon levő hidroxil csoport a karbonil pozitívan polározott szénatomjára támadó nukleofil ágens.
 
2.6. ábra. A glukóz gyűrűs szerkezeteinek ábrázolása
 
A kialakuló ciklofélacetál gyűrű 5 tagú (furanóz), vagy 6 tagú (piranóz ) lehet (hiszen ezen tagszámú gyűrűk a legstabilisabbak). A ciklofélacetálos szerkezetet más néven laktolgyűrűnek, vagy Tollens hídnak is nevezik. A laktolgyűrű kialakulásával a az aldózoknál a C(1) szénatom, vagy a ketózoknál a C(2) szénatom is kiralitás-centrummá válik, azaz a gyűrűs monoszacharidokban a nyílt láncú formával jellemzetthez képest eggyel több kiralitáscentrum lesz. A királissá váló szénatom kétféle konfigurációjú lehet, hiszen az sp2-es hibridállapotú oxocsoportot hordozó szénatomot az AN reakcióban a hidroxil kétfelől támadhatja. Ennek megfelelően két különböző gyűrűs szerkezet alakulhat ki, amelyek csupán a glikozidos szénatom körüli konfigurációban különböznek egymástól (α és β anomer).
A két különböző gyűrűs szerkezetet α- és β-formának nevezték el. A két szerkezetet, amely csak az anomer centrum körüli konfigurációjában különbözik egymástól anomereknek nevezzük. (Az anomerek spontán átalakulhatnak egymásba, míg az epimerek nem. A szabályos projekcióval lerajzolt monoszacharidok esetében az a-anomernek a glikozidos hidroxilcsoportját jobbra, a β anomerét pedig balra találjuk.
 
2.7. ábra. A glukóz és fruktóz különböző formáinak átalakulása
 
Mindkét anomerből – a gyűrű esetleges felnyitásával – ugyanazon nyílt láncú D-glukóz keletkezhet. Korábban láttuk, hogy az α és a β-D glukóz diasztereomer viszonyban van egymással, mert a C (1)-es szénatomjuk körül ellentétes a konfiguráció, míg a többin azonos, tehát részleges tükörképi viszony, diasztereoméria áll fenn a két anomer között. A kétféle gyűrűs szerkezet magyarázatot ad a kétféle kristályos szőlőcukor létezésére.
A szénhidrátok vizes oldatában kialakuló egyensúlyt tovább bonyolítja az is, hogy az egyes monoszacharidok nem kizárólag az egyik fajta -ötös, vagy hatos- gyűrűt hozhatják létre, hanem többféle szerkezet is keletkezhet -a körülményektől függően. A helyzet egyszerűsítésére mi általában csak a stabilisabb, az egyensúlyi elegyben túlnyomó formát említjük meg a továbbiakban.
 
Glikozidos hidroxil
Az aldózokban a C(1) szénatomon, a ketózokban a C(2) szénatomon a mutarotáció során megjelenő (félacetálos) hidroxil csoport tulajdonságaiban részben eltér a többi szénatom alkoholos hidroxil csoportjainak kémiai tulajdonságaitól. Ez a glikozidos hidroxilcsoport nem egy „egyszerű” alkoholos hidroxil, hanem a félacetálrészlet hidroxilcsoportja.
 
Monoszacharidok nomenklaturája
A cukrokban a laktol (félacetál) gyűrű viszonylag labilis. Egy és ugyanazon cukornál is változhat a gyűrű tagszáma, azaz az adott cukor különféle származékaiban hol ötös, hol hatos gyűrű lehet, vagy éppenséggel ez a gyűrű fel is szakadhat. Ez szükségessé teszi a gyűrű tagszámát és az oxoalak jelenlétét is jelző elnevezés bevezetését.
Mivel az ötös és hatos tagszámú egy oxigént tartalmazó heterociklusos vegyület neve furán ill. pirán, így ennek a hasonlóságnak (Haworth, 1926) javaslatára az öttagú laktolgyűrűs cukorszármazékokat furanóz, a hattagú laktolgyűrűseket pedig piranóz típusnévvel jelölték1.
 
Szokás a gyűrűk tagszámát úgy is megjelölni, hogy a cukor neve után <> zárójelben feltüntetjük annak a két szénatomnak a számát, amelyekhez a gyűrűben levő oxigénatom kapcsolódik
 
A piranóz és a furanóz gyűrűk konformációja
Egy molekula térszerkezetét csak akkor tekinthetjük ismertnek, ha a konstitúcióján túl a konformációját is ismerjük. A projektív képletek helyesen fejezik ki a kiralitáscentrumok konfigurációját, de főként a laktol gyűrűs (ciklofélacetálos) szerkezeteknél nem szemléltetik a valódi téralkatot (térszerkezetet, konformációt).
A szénhidrátok (Haworth–Böeseken-féle) gyűrűs szerkezetével a molekula teljes térszerkezete is jól ábrázolható. Az öttagú gyűrűk esetében ez az ábrázolás egyszerű. A hattagú gyűrűk viszont biztosan nem planárisak, így ezek térszerkezetét a ciklohexánnál tanultak analógiájára kell megszerkesztenünk.
A glukóz piranóz és furanóz formái:
 
2.8. ábra. A glukóz öt- és hattagú ciklofélacetálos formái
 
A piranóz gyűrűben sp3-as hibridállapotú szénatomok vannak, amelyek kötő elektronpárjai tetraéderes orientáltságúak. Tekintettel a biorganikus kémiában tanultakra, tudjuk, hogy a hatos, piranóz gyűrű atomjai nem egy síkban helyezkednek el, hanem a piranóz gyűrű szék és kád konformációt vehet fel. Az egyes szubsztituensek kétféle térállásúak lehetnek: ekvatoriálisak (gyűrű síkjával párhuzamosak) és axiálisak (gyűrű síkjára merőlegesek).
 
Ha a gyűrűs D-glukóz molekulát jobban szemügyre vesszük, akkor megállapíthatjuk azt, hogy a molekulában levő 5 kiralitáscentrum miatt 25, azaz 32 féle térizomert tudunk elvileg elképzelni. A természetben előforduló D- glukóz molekula azonban csak az α és a β -D glükóz két anomerjével jellemezhető.
 
A bioorganikus kémiában már megtanultuk, hogy az ekvatoriális szubsztituensek energetikailag sokkal kedvezőbbek, mint az axiálisak, így a lehető legstabilabb glukózgyűrű az lesz, ahol a 2,3,4,5 hidroxil, 6 -CH2-OH csoportok egyöntetűen ekvatoriális és a kisméretű H atomok axiális térállásúak. Ha megvizsgáljuk a természetes β-D-glukóz térszerkezetét rájövünk arra, hogy ennek a térszerkezete a legstabilisabbnak tartott, a fentiekben vázolt térszerkezettel azonos. Az a-izomerben pedig az ekvatoriális hidroxilok mellett egy hidroxil csoport (a C(1) szénatomhoz kapcsolódó glikozidos hidroxil) axiális térállású. Természetesen a β-D-glukóz enantiomerje, a b-L-glukóz is pont olyan stabilis, mint a β-D-glukóz (hiszen ebben is minden hidroxil csoport ekvatoriális), csak ez az L -glukóz a természetben ritkán fordul elő, így ez a vegyület számunkra nem is olyan fontos.
 
 
Tehát a szőlőcukor konformációja a rá jellemző összes lehetséges térszerkezet közül a legstabilisabb szerkezet.
 
 
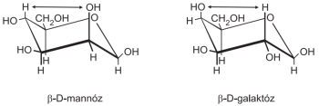
Az élő természet királis, tehát az élőlényekben (rendszerint) csak az egyik enantiomer fordul elő és ez az enantiomer alakul át többnyire egy sztereospecifikus reakcióval egy másik molekulává. Ha glukózon túl a többi monoszacharid stabilitását is megvizsgáljuk, azt tapasztaljuk, hogy a glukóz után, ugyan a glukóznál kisebb mértékben, a β-D-mannóz és a β-D-galaktóz a legstabilisabb. Ezek már tartalmaznak egy-egy axiális hidroxil csoportot. Ugyanakkor a glukóz után a legelterjedtebb, legnagyobb mennyiségben előforduló monoszacharidok a mannóz és a galaktóz, azaz a természetben a stabilis szerkezetű cukrok sokkal nagyobb mennyiségben fordulnak elő, mint a kevésbé stabilisak.
 
2.11. ábra. β-D-mannóz és β-D-galaktóz képlete
 
A ribóz esetében a furanóz nem teljesen planáris, a négy planáris atom mellett az ötödik kiemelkedik abból a síkból, boríték formájú a molekula térszerkezete. Az élő szervezetben előforduló ribózban a koplanáris gyűrű síkjából a C(2)-es, vagy a C(3)-as atomok emelkedhetnek ki. Ezeket C'2-endo és C'3-endo konformációknak nevezik, amelyek viszonylag könnyen átalakulhatnak egymásba. Az RNS-ben a ribóz a C'3-endo, a DNS-ben pedig a dezoxiribóz C'2 endo formában van.
 
2.12. ábra. A ribóz C’3-endo konformációja
1 A héttagú laktolgyűrűs monoszacharidok a szeptanóz nevet kapták

Biokémia

Tartalomjegyzék


Kiadó: Semmelweis Kiadó

Online megjelenés éve: 2026

ISBN: 978 963 331 712 9

Hivatkozás: https://mersz.hu/mandl-biokemia//

BibTeXEndNoteMendeleyZotero

Kivonat
fullscreenclose
printsave