Mandl József (szerk.)

Biokémia

Aminosavak, peptidek, szénhidrátok, lipidek, nukleotidok, nukleinsavak, vitaminok és koenzimek


3.4.1.2. Glicerofoszfatidok osztályozása

A foszfatidsavak tekinthetők a legegyszerűbb glicerofoszfolipideknek. Az egyes foszfatidsavak zsírsavkomponenseikben különböznek egymástól. Bennük ugyanazok a zsírsavak fordulhatnak elő, mint a trigliceridekben. Emlőssejtekben csak igen kevés foszfatidsav található, de fontos köztiterméke a trigliceridek és egyes glicerofoszfatidok bioszintézisének. Minden egyes foszfatidsav neutrális oldatban 1, illetve a molekulák kb. fele 2 negatív töltést hordoz, tehát ún. savanyú foszfolipid (foszfatidát anion). A foszfatidsavból levezethető glicerofoszfatidokat a foszfatidsavat észteresítő, alkoholos hidroxilcsoportot tartalmazó vegyületek minősége alapján osztályozhatjuk. A foszfatidilcsoportot tartalmazó fontosabb glicerofoszfatidok és a bennük található különböző alkoholok a következők:
 
foszfatidil-kolin (lecitin)
kolin
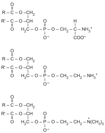
foszfatidil-etanolamin (kefalin)
etanolamin
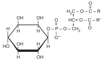
foszfatidil-inozitol
inozitol
foszfatidil-szerin
szerin
foszfatidil-glicerin
glicerin
difoszfatidil-glicerin (kardiolipin)
foszfatidil-glicerin
 
3.6. ábra. Bal oldalon: etanolamin, jobb oldalon: szerin szerkezeti képlete
 
3.7. ábra. Bal oldalon: kolin, jobb oldalon: mio-inozitol szerkezeti képlete
 
Valamennyi vegyület tulajdonképpen vegyületcsoport, melynek tagjai egymástól zsírsavaikban különböznek. A glicerofoszfatidokban a 2. helyzetben mindig telítetlen, 1. helyzetben pedig telített zsírsavat lehet találni. A telítetlen zsírsav gyakran arahidonsav, az eikozanoidok prekurzor zsírsava.
A foszfatidilcsoportot tartalmazó glicerofoszfatidok a sejtmembránokban találhatók, azoknak fontos építőkövei. Poláros lipidek, azaz elkülönült poláros „feji” (foszforsavrész és a felsorolt alkoholok) és apoláros „láb” (zsírsavoldallánc) részekkel rendelkeznek. Ennek következtében amfipatikus jellegűek, vizes oldatban micellákat képezve oldódnak, könnyen képeznek kettősréteget, felületaktivak.
 
Kolinfoszfatidok
A kolinfoszfatidok (lecitinek) a sejtmembránok foszfolipidjeinek 40–50%-át teszik ki, ennek változóan nagy része foszfatidil-kolin, másik része éterlipid (lásd később). „Fej” részük neutrálishoz közeli pH-nál 1 pozitív és 1 negatív töltést tartalmaz (nettó töltésszám: nulla). A tüdő-alveolusok normális kitágulásához szükséges „szörfaktáns” (surfactant) anyag nagyrészt dipalmitoil-foszfatidil-kolin-ból áll. Ennek hiánya koraszülöttekben légzési nehézséget okoz („respirációs distress” szindróma).
 
Etanolaminfoszfatidok
Az etanolaminfoszfatidok (kefalinok) a sejtmembránok foszfolipidjeinek 20–25%-át teszik ki, ennek jelentős része éterlipid lehet (lásd később), másik része foszfatidil-etanolamin. „Fej” részük neutrálishoz közeli pH-nál 1 pozitív és 1 negatív töltést tartalmaz (nettó töltésszám: nulla).
 
Foszfatidil-inozitok, inozitoltriszfoszfát
A foszfatidil-inozitok (vagy újabban foszfatidil-inozitolok) a sejtmembránok foszfolipidjeinek 5–10%-át teszik ki. „Fej” részük neutrálishoz közeli pH-nál 1 negatív töltést tartalmaz („savanyú” foszfolipid). Mintegy 20%-uk a plazmamembránban foszforilált formában fordul elő: foszfatidil-inozitol-4-foszfát és foszfatidil-inozitol-4,5-biszfoszfát. Utóbbiból szabadul fel egyes hormonok hatására az inozitol-1,4,5-triszfoszfát (IP3), ami az endoplazmatikus retikulum „zsákok”-ból Ca2+-t képes mobilizálni, ezért „második messenger”-nek nevezik. Az IP3 a citoplazmában további foszforilezési és defoszforilezési reakciók szubsztrátja, ami további különböző inozitolfoszfátok képződéséhez vezet.
 
3.8. ábra. Felül: foszfatidil-szerinek, középen: foszfatidil-etanolaminok (kefalinok), alul: foszfatidil-kolinok (lecitinek) általános szerkezeti képlete
 
Foszfatidil-szerin
A foszfatidil-szerinek a sejtmembránok foszfolipidjeinek 2–5%-át teszik ki. „Fej” részük neutrálishoz közeli pH-nál 2 negatív és 1 pozitív töltést hordoz (nettó töltésszám: 1 negatív), tehát ez is „savanyú” foszfolipid.
 
3.9. ábra. Foszfatidil-inozitolok általános szerkezeti képlete
 
Kardiolipin
A difoszfatidil-glicerinek (kardiolipinek) majdnem kizárólag a mitokondriumok belső membránjában találhatók, ahol az összfoszfolipidek 15–20%-át teszik ki és elősegítik az elektron-transzportlánc működését. Némi difoszfatidil-glicerint a mitokondriumok külső membránja is tartalmaz (3-4%), más celluláris membránban ez a foszfolipid nem fordul elő. Érthetően egy szövet difoszfatidil-glicerin tartalma attól függ, hogy mennyire gazdag mitokondriumokban. A szívizom mitokondriumokból és difoszfatidil-glicerinből is egységnyi súlyra számítva az átlagosnál jóval többet tartalmaz, borjúszív a difoszfatidil-glicerin gazdag forrása, innen e foszfolipid triviális neve: kardiolipin.
A kardiolipin baktériumok sejtmembránjának is alkotórésze, ami összhangban van azzal az elképzeléssel, hogy az eukarióta sejtek kifejlődése során a mitokondriumok a sejttel szimbiózisban élő baktériumokból alakultak ki. A lues kórokozójának sejtmembránja gazdag kardiolipinben, ezért a kardiolipin lues-szel fertőzöttek vérszérumának antitesteivel csapadékot ad, ami a lues-szel történt fertőzöttség szűrővizsgálatára szolgáló immunreakció elvi alapja.
 
3.10. ábra. Kardiolipinek (difoszfatidil-glicerinek) általános szerkezeti képlete

Biokémia

Tartalomjegyzék


Kiadó: Semmelweis Kiadó

Online megjelenés éve: 2026

ISBN: 978 963 331 712 9

Hivatkozás: https://mersz.hu/mandl-biokemia//

BibTeXEndNoteMendeleyZotero

Kivonat
fullscreenclose
printsave