Mandl József (szerk.)

Biokémia

Aminosavak, peptidek, szénhidrátok, lipidek, nukleotidok, nukleinsavak, vitaminok és koenzimek


4.1.3. A nukleotidok

A nukleotidok a nukleozidok foszforsavval alkotott észterei, a nukleinsavak építőkövei, de szabad formában is jelentős mennyiségben megtalálhatók a sejtekben. A foszforsav észterkötéssel kapcsolódik a cukor komponens bármely –OH csoportjához, neutrális pH-nál a foszfát két negatív töltéssel rendelkezik. A molekulában két planáris gyűrű található, az egyik a ribofuranóz, a másik a bázis gyűrűje. A két gyűrű az egyik lehetséges konformációban a ribofuranóz-gyűrű 2'-hidrogén vagy hidroxil csoportja közel kerül a purin 3-as N atomjához, illetve a pirimidinek 2-es O atomjához. Ezt nevezik „syn” konformációnak, az ettől 180 oC-al elfordított állapotot pedig „anti” konformációnak (4.6. ábra). Az utóbbi esetben a bázis és a cukor az N-glikozidos kötés ellentétes oldalán van, egymástól távol. Ez a konformációs lehetőség jelentősen befolyásolja a polinukleotid másodlagos szerkezetét. Ez azt is jelenti, hogy az N-glikozidos kötés mentén a két gyűrű viszonya megváltozhat nemcsak a nukleotidban, hanem a makromolekulában is, másszóval az N-glikozidos kötés mentén a két gyűrű elfordulhat.
A nukleotidok legfontosabb szerepe, hogy prekurzorai a DNS- és RNS-szintézisnek. A nukleinsav-szintézis során az NTP-k a molekula végén lévő pirofoszfát hidrolízise után monofoszfát egységenként polimerizálódnak makromolekulává. Valamennyi funkciójukban a nukleotidok β- és γ-foszfát-savanhidrid kötés kémiai energiája használódik fel új kovalens kötések kialakításához.
 
4.6. ábra. Az „anti” (leggyakoribb) és „syn” konformáció a nukleotidokban
 
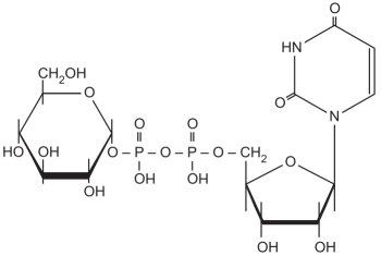
4.7. ábra. UDP-glukóz (uridin-difoszfát-glukóz)
 
4.8. ábra. CDP-DAG (citidin-difoszfát-diacil-glicerol)
 
A nukleotidok a sejtekben kis részben monofoszfátok, nagyobbrészt difoszfátok és trifoszfátok formájában fordulnak elő. Az általános képlet a 4.1. ábrán látható, rövidítésük pedig: NMP-dNMP; NDP-dNDP; NTP-dNTP. A pentóz gyűrű 5'-OH csoportjához, észterkötéssel kapcsolódó első foszfátot alfa, a savanhidrid kötéssel kapcsolódó másodikat béta, a harmadikat gamma-foszfátnak nevezzük. A nukleotid di- és trifoszfátok kétértékű kationokkal komplexeket képeznek, a sejtekben Mg2+ komplexek formájában fordulnak elő. A NTP-k és NDP-k koncentráció meghatározásának legegyszerűbb módja a nukleotidkeverék hidrolízise 1,0 N HCl jelenlétében 100°C-on, ilyen körülmények között csak a gamma és a béta foszfát hidrolizál a nukleotidról, amit foszfát-ion meghatározással mérhetünk.
A sejtben szabadon előforduló nukleotidok különböző funkcióval rendelkeznek. Az ATP a kémiai energia tárolásának és transzportjának fontos anyaga. A sejtlégzés során ADP-ből ATP keletkezik, és ebben a formában tárolódik a tápanyagok elégetése során keletkezett energia. A nukleotidoknak egy másik fontos szerepe, hogy egyes anyagcsere-folyamatokban „aktiválnak”, magasabb energiájú formába juttatnak molekulákat. Az uridin-trifoszfát (UTP) a poliszaharidok bioszintézisében tölt be ilyen szerepet, az UDP-glukóz (4.7. ábra) a szintézis kiindulási anyaga.
Hasonló szerepet tölt be a citidin-trifoszfát (CTP) a membránok foszfolipid bioszintézisében. Egyik ilyen intermedier a citidin-difoszfát-kolin (CDP-kolin) és a citidin-difoszfát-diacil-glicerol (CDP-DAG) (4.8. ábra).
A nukleotidok, így az ADP számos koenzimnek is alkotórésze (NAD, FAD), amelyekről külön fejezetben szólunk.
Az anyagcsere-folyamatok szabályozásában is résztvesznek nukleotidszármazékok, amelyek rendkívül kis koncentrációban fordulnak elő a sejtekben. Számos hormon úgy fejti ki a hatását, hogy kötődve a célsejthez, kiváltja a ciklikus-adenozin monofoszfát (cAMP) szintézisét ATP-ből. A cAMP további szabályozási folyamatsort indít el a sejtekben, fokozva egyes fehérjefoszfoliláló enzimek működését. Másik két a szabályozásban kitüntetett nukleotid a guanozin-3', 5'-ciklikus monofoszfát (cGMP) és a guanozin-tetrafoszfát (4.9. ábra, 4.10. ábra). Az előbbi számos extracelluláris hatást, az utóbbi a baktériumok géntranszkripcióját szabályozza.
 
4.9. ábra. cGMP (guanozin 3’,5’-ciklikus foszfát)
 
4.10. ábra. ppGpp (guanozin 5’-difoszfát 3’-difoszfát, guanozin tetrafoszfát)
 
4.11. ábra. Nukleotid anyagcsere közti és végtermékei
 
 
Anyagcserefolyamatokban is számos nukleotid fordul elő. A purin- és pirimidinnukleotidokat minden sejt képes maga előállítani a szénhidrát és aminosav anyagcsere köztitermékeiből, ezeket az anyagcserefolyamatokat „de novo” bioszintetikus útnak nevezzük. A purin bioszintézis egyik fontos köztiterméke az inozin (4.11. ábra), illetve az inozin-monofoszfát (IMP). A purinnukleotidok szintézisének és lebontásának köztitermékei a hipoxantin (6-hidroxi-purin), és a xantin (2,6,-dihidroxi-purin) valamint a húgysav (2,6,8-trihidroxi-purin) szintén purin származék (4.11. ábra).
Növényekből izolálható számos olyan anyag (alkaloid), amelyik élettani hatását annak köszönheti, hogy purinszármazék. A legismertebbek a kakaóból származó teobromin (3,7-dimetil-xantin), a tealevélból származó teofillin (1,3-dimetil-xantin) és a kávéban előforduló koffein (1,3,7 - trimetil-xantin) (4.12. ábra).

Biokémia

Tartalomjegyzék


Kiadó: Semmelweis Kiadó

Online megjelenés éve: 2026

ISBN: 978 963 331 712 9

Hivatkozás: https://mersz.hu/mandl-biokemia//

BibTeXEndNoteMendeleyZotero

Kivonat
fullscreenclose
printsave